Suplemento 1 - Año
2021
RESÚMENES
31º Congreso Argentino e Internacional de Terapia Intensiva - eSATI
16 al 19 de noviembre de 2021
“Honrando a los profesionales de la salud que con solidaridad
reescriben la historia”
24º Congreso Argentino de Enfermería Intensiva
23º Congreso Argentino de Kinesiología de Terapia Intensiva
22º Congreso Argentino de Terapia Intensiva Pediátrica
17º Jornada Nacional de Bioquímicos en Terapia Intensiva
14º Jornada del Comité de Neonatología Critica
8º Jornada de Farmacéuticos en Terapia Intensiva
8º Jornada de Lics. en Nutrición en Terapia Intensiva
8º Jornada de Veterinaria en Terapia Intensiva
SOCIEDAD
ARGENTINA DE TERAPIA INTENSIVA
COMISIÓN DIRECTIVA (2019-2021)
Presidenta
Rosa Reina
Vicepresidente
Guillermo Chiappero
Secretaria
Cecilia Inés Loudet
Prosecretario
Héctor Canales
Tesorero
Jorge Méndez
Protesorera
Susana Bauque
Directora de Publicaciones
Analía Fernández
Directora de Departamento Docencia
Adelina Badolatti
Vocales Titulares
Silvina Carina Balasini
Daniela Olmos Kutscherauer
Luis Fernando Cabezas
Miguel Ángel Rodríguez
Juan Carlos Pendino
Marcelo Fabio Morales
Guillermo Grieve
Mónica Viviana Romero
Vocales Suplentes
Mariela Alejandra Velásquez
Graciela Aguilera
Karina Fernanda Tolosa
Enrique Víctor Agüero Villarreal
Cristian Fabián Vera
Luis Alberto Huespe Gardel
Gerardo Gustavo González
Gustavo Adolvo Benavent
Revisores de Cuentas Titulares
Silvia Laura Fernández
Natalia Llanos
Cristina Orlandi
Revisores de Cuentas Suplentes
Juan Videla
María del Carmen Iñíguez
Gustavo Plotnikow
EX-PRESIDENTES
1972-1973:
Aquiles Roncoroni
1973-1975:
Miguel Herrera
1975-1976:
Juan Carlos Figueroa Casas
1976-1977:
Ernesto Maña
1977-1979:
Héctor De Leone
1979-1980:
José Petrolito
1980-1982:
Roberto Apra
1982-1983:
Roberto Padrón
1983-1985:
Gustavo Marino Aguirre
1985-1987:
Antonio Gallesio
1987-1989:
Carlos Lovesio
1989-1991:
Juan Pacin
1991-1993:
Mario Santamarina
1993-1995:
Fernando Pálizas
1995-1997:
Roberto Bastianelli
1997-1999:
Jorge Neira
1999-2001:
José L. do Pico
2001-2003:
Daniel Ceraso
2003-2005:
Francisco José Criado
2005-2007:
Eduardo San Román
2008-2009:
Elisa Estenssoro
2009-2011:
Ignacio Previgliano
2011-2013:
Cayetano Guillermo Galletti
2013-2015:
Néstor Omar Raimondi
2015-2017:
Rolando Alfredo Gimbernat
2017-2019:
José Luis Golubicki
COMITÉS CIENTÍFICOS
Asuntos Laborales
Viviana Romero
Bioética
Lic. Analía Occhiuzzi
Certificación y Revalidación
Alejandro Siaba Serrate
CODEACOM
Richard Freddy Montano Buitrón
Ecografía en el Paciente Crítico
Juan Manuel Pina
Emergentología y Respuesta Rápida Intrahospitalaria
Anatilde Díaz
Enfermería en Cuidados Críticos
Lic. Monica Dailoff
Ética en Investigación
Monica Capalbo
FCCS
Pablo Pardo
Gestión, Control de Calidad y Escores
María del Pilar Arias López
Infectología Crítica
Eleonora Cunto
Nefrología Crítica
Nahuel Rubatto Birri
Neonatología Crítica
Liliana Roldán
Neumonología Crítica
Sergio Giannasi
Neurointensivismo
Leandro Tumino
Obstetricia Crítica
Natalia Llanos
Oncología Crítica
Viviana Reyes
Reanimación Pediátrica
Marcela Cuartas
Patología Crítica Cardiovascular
Mario Kenar
Patología Digestiva en Pacientes Críticos
Cecilia Loudet
Pediátrico de Neumonología Crítica
Santiago Esquivel
PFCCS
Silvio Torres
Reanimación y Recuperación Cardio Cerebral
Judith Sagardia
Recuperación Cardiovascular Pediátrica y Neonatal
Rafael Fraire
Sedación, Analgesia y Delirium
Federico Carini
Seguimiento y Rehabilitación
Lic. Carolina Foster
Shock Pediátrico
Adriana Bordogna
Shock y Sepsis
Luis Gatti
Soporte Nutricional y Metabolismo
Ezequiel Manrique
Soporte Vital Extracorpóreo
Sonia Villarroel Mendoza
Trasplante y Procuración de Órganos y Tejidos
Adrián Tarditti
Trauma
María Gabriela Vidal
Vía Aérea e Interfaces Respiratorias
Gustavo Benavent
31º Congreso
Argentino e Internacional de Terapia Intensiva - eSATI
AUTORIDADES
Presidente del Congreso
José Luis Golubicki
Presidente del Comité Científico
Sergio Giannasi
Presidente del Comité Ejecutivo
Pablo Rossini
Tesorera del Congreso
Claudia Kecskes
Coordinador Nacional del Congreso
Jorge Méndez
INVITADOS
EXTRANJEROS
Sean
Bagshaw (Canadá)
Matteo
Bassetti (Italia)
Abigail Beane (Reino Unido)
Robert Blokpoel (Países Bajos)
Daniel Brodie (Estados Unidos)
Yanny Rocío Cárdenas Bolívar (Colombia)
Leo Anthony Celi (Estados Unidos)
Adam
Cheng (Canadá)
Yves
D’Udekem D’Aco (Bélgica)
Rodrigo Días Gómez (Chile)
Franco Díaz (Chile)
Peter Dieckmann (Dinamarca)
Jaime Fernández Sarmiento (Colombia)
Bruno Ferreyro (Argentina)
Saúl Flores (Bolivia)
Humberto Fonseca Cordero (Costa Rica)
Adriana Friganovic (Croacia)
Volnei Garrafa (Brasil)
Dimitri Georgopoulos (Grecia)
Federico Gordo Vidal (España)
Karen Goset Poblete (Chile)
Giacomo Grasselli (Italia)
Claude Guérin (Francia)
Gabriel Heras La Calle (España)
Joop Jonckheer (Bélgica)
Peter Lachman (Irlanda)
Christos Lazaridis (Estados Unidos)
Giusepe Lippi (Italia)
Eduardo Lobatón (Perú)
Vicente Modesto (España)
Francisco Murillo Cabezas (España)
Jerry Nolan (Reino Unido)
Juan Sebastián Osorio Valencia (Colombia)
María del Rosario Péres Beltrán (España)
Michael Pinsky (Estados Unidos)
Brenda Truman Pun (Estados Unidos)
Flavia Ribero Machado (Brasil)
Chiara Robba (Italia)
Jason Roberts (Australia)
Alfredo Carlos Rodríguez (Cuba)
Alejandro Rodríguez (España)
Pascual David Rojas Flores (México)
Antoine Schneider (Suiza)
Pierre Singer (Israel)
Thomas Strom (Dinamarca)
Fabio Taccone (Bélgica)
Jean Louis Teboul (Francia)
Jean Francois Timsit (Francia)
Mauri Tommaso (Italia)
Chani Traube (Estados Unidos)
Katerina Vaporidi (Grecia)
José Luis Vázquez Martínez (España)
Nadkarni Vinay (Estados Unidos)
Kathleen Vollman (Estados Unidos)
Scott Weiss (Estados Unidos)
David Wessel (Estados Unidos)
Paul Wischmeyer (Estados Unidos)
Alvaro Castellanos Ortega (España)
DISCUSIÓN DE
POSTERS ELECTRÓNICOS
16/11/2021 - 13:00 a
13:55
DISCUSIÓN DE POSTERS ELECTRÓNICOS 01
Orales Sala 01
Sala 1
0046 DECANULACIÓN EN PACIENTES TRAQUEOSTOMIZADOS. ESTUDIO EXPLORATORIO
RETROSPECTIVO
M
Loustau, V Acevedo, F Bianchini, E Di Salvo, R Domínguez, JC Melero, M Celano,
M Del Bono, I Brozzi, G Plotnikow
E
Navarro, MA Escobar, D Villalba, A Matesa, A Brusco, V Morales, GG Morel
Vulliez, ES Rositi, L Prieto, MJ Bosso, A Cotero, J Nadur, M Santini, M Alonso,
F Larocca, V García, R Campodonico, G Musso, M Leingruber, AS Morales, A
Segura, ME Vallory, SDC Pieruzzi, PS Pascal, LE De Vito
0093 DESVINCULACIÓN DE LA VENTILACIÓN MECÁNICA INVASIVA EN PACIENTES
CON NEUMONÍA POR SARS-COV-2
G
García, L Gimenez, M Garello, G Avaca, V Barbaresi, J Delle Carpini, S Gigena,
P Gimenez, A Goldberg, E Steinberg, G Nahmias, M Ojeda, M Berté, A Santa María,
N Segura, D Noval, S Fredes, I Santiago
16/11/2021 - 13:00 a
13:55
DISCUSIÓN DE POSTERS ELECTRÓNICOS 02
Orales Sala 02
Sala 2
AN
Vides, A Sanchez, N Saragusti, M Cordero
LA
Dulcey Sarmiento, LM Martinez Martinez, GA Dominguez, DM Villamizar Olarte, R
Caltagirone, ER Espinoza Silva, JF Camacho
M
Albeverio, MF Guarriello, A Davancens, C Baigorri, CM Costilla, N Mantiñan, CJ
Estol
MM
Kaechele, M Kaechele, M Argüello, R Villalba, M Pohlemann, D Acosta, A Alarcon,
L Jose Santana, I Cruz, M Rodriguez, A Carrera, S Ribak, C Correia Da Silva, C
Farquarson, N Barreto
16/11/2021 - 13:00 a
13:55
DISCUSIÓN DE POSTERS ELECTRÓNICOS 03
Orales Sala 03
Sala 3
C
Balasini, L Tumino, P Canavessi
SL
Fernandez, CI Loudet, J Becerra Vilca
LE
Goiris, E Otto, C Blanco, J Abasto, L Dahmer, J Yesa, J Avalos, A Lucero Dos
Santos
JM
Ortega, E Taricura, V Dominguez, F Barrios, J Peña
16/11/2021 - 13:00 a
13:55
DISCUSIÓN DE POSTERS ELECTRÓNICOS 04
Orales Sala 04
Sala 4
M
Botto, R Dandres, C Franco, T Gallo, L Landa, M Manes, R Mosqueda, M Vargas
A
Martinez, P De La Iglesia, S Segura, S Villarroel, M Garbarini, M Caballero, M
Las Heras
0086 MORTALIDAD EN SEGUNDA OLA COVID 19: EXPERIENCIA DE UNA UNIDAD DE
TERAPIA INTENSIVA DE CABA
MA
Flores Montes, ME Ibarra, J Huarachi, M Noceto, T Jorge, C Cabassi, C Vargas, R
Fierro, Y Androszczuk, N Campanicci, D Placenti, L Mendez, J Fernandez, C
Dominguez, E Cunto
0122 INFECCIONES INTRAHOSPITALARIAS
(IIH) EN PACIENTES CON COVID 19 EN UNIDAD DE CUIDADOS INTENSIVOS
MF
Landaburu, C Torres, R Viceconte, V Duran, A Sengoku Cadima, M Ayllon Juanes,
MJ López Furst, C Plaza, T Puentes, G Fernandez
16/11/2021 - 13:00 a
13:55
DISCUSIÓN DE POSTERS ELECTRÓNICOS 05
Orales Sala 05
Sala 5
0007 ADHERENCIA AL PAQUETE DE MEDIDAS ABCDEF DURANTE LA PANDEMIA DE
COVID-19
D
ávila Poletti, I Carboni Bisso, I Huespe, D Villalba, D Olmos, M Las Heras, F
Carini
0030 ENCEFALOPATÍA SÉPTICA Y SU RELACIÓN CON LA HIPERAMONEMIA
M
Casanova, B Lattanzio, FJ Pálizas, BS Dorfman, CA Casabella García, FJ Pálizas,
IC Romero, G Palio, ND Falcon
0079 DELIRIO ASOCIADO A VENTILACIÓN MECÁNICA ASISTIDA EN UNA UNIDAD DE
CUIDADOS CRÍTICOS SANTAFESINA
HA
Armandola, NA Prazenica, MJ Salomon
J
Vilca, CI Loudet, MJ Meschini, M García Sarubbio, V Pazos, G Saenz, S Tal Benzecry,
A Barbieri, V Aramendi, C Trovatto, C Colavita, A Mazzoleni, C Paez, A Garroni
17/11/2021 - 13:00 a
13:55
DISCUSIÓN DE POSTERS ELECTRÓNICOS 06
Orales Sala 01
Sala 1
0019 EVIDENCIA CLÍNICA DE VILI VORTEX EN PACIENTES CON SARS-COV-2
N
Pistillo, P Castelluccio, R Ciano, E Palermo, S Lage, E Amundarain, O Fariña
E
Prado, I Huespe, MA Marco, I Carboni Bisso, P Coria, N Gemelli, M Las Heras, E
San Roman
J
Dorado, J , E Navarro, G Plotnikow, E Gogniat, N Tiribelli, R Gonzalez, R
Pratto, P Gaggino, G Cardoso, J Sagardia, E Steimberg, N Dargains, M Accoce
P Diaz, F Domichin, J
Bartoli
17/11/2021 - 13:00 a
13:55
DISCUSIÓN DE POSTERS ELECTRÓNICOS 07
Orales Sala 02
Sala 2
P
Taffarel, J Widmer, A Fiore, AP Rodriguez, H Ramirez, C Meregalli, F Jorro
Barón
P
Taffarel, AP Rodriguez, J Widmer, A Fiore, C Meregalli, F Jorro Barón
0048 VALIDACIÓN DEL SCORE PIM3 EN UNA POBLACIÓN DE INMUNOSUPRIMIDOS
PEDIÁTRICOS DE ARGENTINA
M
Herrera, MP Arias López, F Suarez, ML Flores Tonfi, ME Galván, D Buamscha, AL
Fernández, A Siaba Serrate, A Fernández, K Cinquegranni, C Meregalli, ME Ratto,
GDT Validarpim3 Pediátrico
S
Der Parsehian, M Ortiz De Zarate, R Nieto
17/11/2021 - 13:00 a
13:55
DISCUSIÓN DE POSTERS ELECTRÓNICOS 08
Orales Sala 03
Sala 3
0068 BURNOUT EN MÉDICOS DE TERAPIAS INTENSIVAS DE ARGENTINA DURANTE LA
PANDEMIA COVID-19
C
Balasini, L Tumino, P Canavessi
C
Loudet, F Jorro-barón, R Reina, MDP Arias López, S Alegría, C Barrios, R Buffa,
L Cabana, E Cunto, S Fernández-nievas, M García, L Gibbons, G Izzo, N Llanos,
JJ Mira, ME Ratto, M Rivet, A Tévez, L Uranga, G Zakalik, G Estudio 5c, V
Rodriguez, E García-elorrio
L
Tumino, P Canavessi, C Balasini
P
Canavessi, L Tumino, C Balasini
17/11/2021 - 13:00 a
13:55
DISCUSIÓN DE POSTERS ELECTRÓNICOS 09
Orales Sala 05
Sala 5
MF
Landaburu, C Torres, R Viceconte, V Duran, A Sengoku Cadima, M Ayllon Juanes, C
Plaza, MJ Lopez Furst, T Puentes, G Fernandez
0125 COVID-19: PRIMERA OLA VS. SEGUNDA OLA EN PACIENTES CRÍTICOS
VENTILADOS
A
Aller, JG Valido, CDV Barrios, P Falvo, A Feldman, F Rios, L Macchiavello, M
Calani, A Sirino, A Lugo, JM Morales, L Abedín, D Denis, F Luna, C Vanini, F
Hermida, V Lischetti, P Lago, C Lawdansky, F Costa, R Costabile, A Milla Lopez,
M Ragazzoli, P Moltrasio, G Smurra, W Argana Montan, G Figueroa, R Pereyra, MA
Bermeo Rodriguez, C Balasini
A
Feldman, D Quaranta, D Varela, J Aguirre, C Lopez, G Sibila, P Coronado, J
Yaloske, J Capella, R Alvarado, A Perazzi, S Tomez, M De Gaurdia, C Benay, N
Tiribelli, M Lompinzano, S Fredes, N Falcon, M Vazquez, S Racero, C Pozo, E
Arista, C Canessa, R Sanchez, C Pino, P Revel Chion, P Escalante, M Guaymas
AN
Pérez Murúa, MH Junco Cubillas, M Jaume, MF Piñeiro, L Pero, MP Cordero, AJ
Herrera, C Moreno, A Tristaíno, D Lafosse, J Romero, B Castro, G Llarrul, J
Ochoa, P Lucero, K Cisneros, E Porjolovsky, L Franconieri
18/11/2021 - 13:00 a
13:55
DISCUSIÓN DE POSTERS ELECTRÓNICOS 10
Orales Sala 01
Sala 1
R
Fernandez, C Solchaga, V Ordoñez, F Alvarez, M Azor, M Ferreti, M Segura
G
Cardoso, M Calvo Delfino, L Castro, J Pérez, J Dorado, D Gilgado, C Snaider, C
Papazian, D Halac, M Accoce
MC
Gonzalez, G Appendino, G Musso, M Martin, JM Dominguez, C Lovesio, E Estenssoro
L
Diaz Ballve, J Gomez, F Puzzo, C María Belén, V Janet, Y Romina
18/11/2021 - 13:00 a
13:55
DISCUSIÓN DE POSTERS ELECTRÓNICOS 11
Orales Sala 02
Sala 2
FM
Jerez, M D´urso, PD Juarez, MV Leguina, JC Pedraza Coronel, AS Rearte, NA Aybar
GE
Mora Mendoza, LI Delgadillo Vester, DN Núñez Arias, HJ Jiménez Rolón
0156 ENFERMEDAD POR SARS-COV-2 EN UNA UNIDAD DE CUIDADOS INTENSIVOS
PEDIÁTRICOS
G
Aparicio, D Bergna, AC Bordogna, P Castellani, SN Giacobino, ME Gutiérrez
Meyer, M Mendoza
S
Abalos, R Burgos Pratx
18/11/2021 - 13:00 a
13:55
DISCUSIÓN DE POSTERS ELECTRÓNICOS 12
Orales Sala 03
Sala 3
P
Canavessi, L Tumino, C Balasini
V
Mandich, D Chiacchiara, M Bravo, A Pilipec, S Grimaldi, J Cotez, V Paniouk, H
Arevalo, O Escobar, S Perez Flach, A Herbas Pozo, A Aimar, K Zañudo
L
Tumino, P Canavessi, C Balasini
0180 BURNOUT Y SUICIDIO EN PROFESIONALES DE UTI CON SINDROME DE BURNOUT
LUEGO DE LA SEGUNDA OLA
L
Tumino, P Canavessi, C Balasini
18/11/2021 - 13:00 a
13:55
DISCUSIÓN DE POSTERS ELECTRÓNICOS 13
Orales Sala 05
Sala 5
MG
Cornu, MC Leiva, M Tonellier, D Palacio, AN Martinuzzi
VG
Torres, JC Pendino, JI Ibarzabal, LR Bettini
0092 COMPORTAMIENTO DEL P50 EN LOS PACIENTES CRITICOS Y SU RELACION
CON LA MORTALIDAD
AB
Rojas, M Dextre Primo, M Andreotti, D Reynoso, JC Vergottini
HD
Acosta, M Arguello, R Villalba, M Pohlemann, M Kaechele, A Alarcon, L Santana,
I Cruz, M Rodruiguez, A Carrera, S Ribak, C Correia, C Farquarson, N Barreto
19/11/2021 - 13:00 a
13:55
DISCUSIÓN DE POSTERS ELECTRÓNICOS 14
Orales Sala 01
Sala 1
JP
Saullo, I Carboni Bisso, CE Lockhart, I Fernandez Ceballos, J Cantos, IA
Huespe, M Las Heras
C
Lockhart, F Palizas Jr, CA Casabella García, I Carboni Bisso, M Las Heras, D
Ivulich, A Matarrese, M Norese, LF Espinosa
C
Casaravilla, N Barone, M Menendez, N Deshpande, J Facal, R Suarez, M Baz, M Baz
G
Musso, C Gonzalez, MC Gomez, G Appoendino, L Clemente, A Abarca, L Friscione, G
Plotnikow, F Montagner, O Abbondanzieri, L Id Betan, F Braconi, A Bianco, P
Guerrero, Y Garrido, H Carranza, L Berloni, C Lovesio, M Manago
19/11/2021 - 13:00 a
13:55
DISCUSIÓN DE POSTERS ELECTRÓNICOS 15
Orales Sala 02
Sala 2
N
Contrera Rolon, CF Varela, A Ferraris, AM Rojano Crisson, I Carboni Bisso, G
Greloni, G Bratti, M Las Heras, JF Sinner, G Rosa Diez
M
Shida, M Queiroz
L
López, A Villaba, M Ghigo, C Peralta
0178 INJURIA RENAL AGUDA EN PACIENTES CON TRASTORNOS HIPERTENSIVOS DEL
EMBARAZO
R Giannoni, RO
Marañón, EAJ Abelleira, AM Anton, SDC Cantarutti, MG Arce, FF Giannoni
19/11/2021 - 13:00 a
13:55
DISCUSIÓN DE POSTERS ELECTRÓNICOS 16
Orales Sala 03
Sala 3
A
Das Neves, M Bracco, D Muñoz, P Saracco, M Ferrary, G Lamela, A Paz, M
Mosquera, L Kanterewicz, D Zanlungo, B Sabrina
A
Das Neves, D Muñoz, M Bracco, P Saracco, M Ferrary, G Lamela, M Mosquera, L
Kanterewicz, A Paz, D Zanlungo, S Balaña
0115 UTILIDAD DE BIOMARCADORES DE PREECLAMPSIA : UTOPIA O REALIDAD?
S
Der Parsehian, ME Bergman, S Sanchez Segovia, I Di Marco
EB
Barrozo, N Blint, J Cacciaguerra, C Walter, A Escoda, G Soria
19/11/2021 - 13:00 a
13:55
DISCUSIÓN DE POSTERS ELECTRÓNICOS 17
Orales Sala 04
Sala 4
Y Bellagamba, NS
Rocchetti, DH Bagilet, CJ Settecase
0055 IMPACTO DE LA OBESIDAD EN LA MORTALIDAD EN PACIENTES CRÍTICOS CON
COVID-19
ML
Di Sibio, FS Lucente, MV Caamaño, M Lauria, MC Villafañe, A Di Sibio
D
Moretti, MG Buncuga, NS Rochetti, S Gattino, M Re, R Gimenez, S Radimack, CJ
Settecase, DH Bagilet
J
Romero, M Kemnitz, V Lepe, C Campos
19/11/2021 - 13:00 a
13:55
DISCUSIÓN DE POSTERS ELECTRÓNICOS 18
Orales Sala 05
Sala 5
LA
Dulcey Sarmiento, JS Theran Leon, DM Villamizar Olarte, LM Martinez Martinez,
GA Dominguez, R Caltagirone
M
Elizagaray, A Pontoriero, E Baumeister, G Docena, G Gondolesi, C Raimondi, E
Correger, M Rumbo
JI
Ibarzabal, JC Pendino, VG Torres, LR Bettini
I
Cruz Muñoz, R Villalba, M Pholeman, M Arguello, D Acosta, A Alarcon, LJ
Santana, M Rodriguez, M Kaechele, AE Carrera, S Riback, C Correia Da Silva, C
Farquiarson, N Barreto
POSTERS
ELECTRÓNICOS SIN DISCUSIÓN
16/11/2021 - 13:00 a
20:00
POSTERS ELECTRÓNICOS SIN DISCUSIÓN 01
Posters sin discusión
A
Vitale
JS
Gassmann, A Valdez
0013 USO DE LA CÁNULA DE ALTO FLUJO EN LA INSUFICIENCIA RESPIRATORIA
POR SARS-COV2
J
Mancuso, F Vasile, M Vega, D Sittoni, N Luna
J
Carnero Echegaray, A Lazo, S Maldonado, F Curutchet, M Pellicioni, S Ossemani,
J Ossemani, P Maddonni
0018 COMPARACIÓN DEL TRABAJO RESPIRATORIO ANTES Y DESPUÉS DE LA
EXTUBACIÓN
EA
Distéfano, A Dalozzo, S Picon Fuster, C Destefanis, M Gaggioli, M Botto, G
Baez, S Bertozzi, M Forcillo, MN Antunes, GL Landa
0022 ALTO FLUJO DE OXÍGENO POR TRAQUEOSTOMÍA: VALORACIÓN ECOGRÁFICA DE
LA ACTIVIDAD DIAFRAGMÁTICA
I
Fernández Ceballos, BL Ferreyro, MS Venuti, R Famiglieti, I Carboni Bisso, AM
Rivera, JE Mendez, E San Román
F
Bianchini, M Celano, JC Melero, G Plotnikow
DA
Rodriguez, P Centeno, M Petre, L Sanabria, M Anchorena, X Benavente Mercado, E
Duarte, NB Leales, R Canelon, A Tarditti, N Martin, G Valdivieso, F Ceolin, D Valente,
J Angulo Alaguna
E
Prado, I Carboni Bisso, I Huespe, M Las Heras, M Garbarini, MS Lopez, L
Barrera, J Sinner, M Martinuzzo
NS
Llanes, RR Reinoso
0042 EXPERIENCIA COVID-19 EN EMBARAZO 2020-2021 EN LA TERAPIA INTENSIVA DEL SANATORIO
ANTÁRTIDA
K
Cisneros, L Franconieri, E Porjolowsky, A Tristaino, C Moreno, J Romero, P
Lucero, D Lafosse, B Castro, P Cordero, L Pero, M Junco, N Perez, J Herrera, G
Llarul, J Ochoa
0043 MOVILIZACIÓN TEMPRANA EN PACIENTES CON SOPORTE VENTILATORIO EN
TERAPIA INTENSIVA PEDIÁTRICA
J
Simonassi, MT Canzobre
F
Mihoff, M Coria, M Bernadó, G Báscolo, L Leguiza
0045 SARS-COV-2 OXIGENOTERAPIA DE ALTO FLUJO Y SU IMPACTO EN LOS
INGRESOS A UTI
LB
Polliotto, C Peñafort, C Ciallella, MDV Mejibar
0050 CARACTERÍSTICAS CLÍNICAS DE LOS PACIENTES CON COVID-19 EN LA
UNIDAD DE CUIDADOS INTENSIVOS
M
Hornos, MB Buscaglia, V Richter, I Huespe, I Carboni Bisso, M Las Heras
CM
Mareco Herrero
MC
Moreno, P Lucero, JM Romero Alvarez, E Porjolovsky, L Franconieri
B
Castro, L Franconieri, D Lafosse, J Herrera, L Pero, C Moreno, G Llarul, J
Ochoa, A Tristaino, K Cisneros, P Cordero, J Romero, M Junco, N Perez, V
Cariman, P Lucero, E Porjolosky
R
Silvia, A Perez, M Singh, S Videla, J Salvadores, B Olocco
ME
Catini, A Falduti, G Chiappero
RA
Pratto, RS Moracci, RS Gomez, NG Escalier, JD Nuñez, E Wilhelm, P D Annunzio, S
Pieroni, G Antonini, CE Quiroga, ME Pereira, GA Plotnikow, DN Vasquez, AV Ruiz,
ML Olave, AB Moreno, A Zurra, C Fachal, E Seery, FJF Bianchini, FV Gomez, CM
Quiroga
M
Deheza, S Molina, A Oholeguy, M Puga-tejada, M Kuttler
MC
Palacio, M Chamadoira, JC Medina
0081 PREDICTORES DE DESENLACES DIARIOS EN VENTILACION MECANICA EN
PACIENTES CRITICOS COVID-19
M
Baz, J Pietropinto, M Rodriguez, P De Los Santos, M Chiarella, G Perez, N Di Trapani,
J Facal
0084 EPIDEMIOLOGÍA DE LOS PACIENTES
EN PANDEMIA COVID EN LA TERAPIA INTENSIVA DEL HOSPITAL PIROVANO
C
Balasini, JG Valido, CDV Barrios, A Feldman, A Sirino, A Lugo, F Rios, L
Macchiavello, JM Morales, L Abedin, D Denis, F Luna, C Vanini, F Hermida, V
Lischetti, P Moltrasio, P Lago, P Falvo, R Pereyra, C Lawdansky, A Agustin, F
Costa, R Costabile, A Milla Lopez, M Ragazzoli, G Smurra, W Argana Montan, G
Figueroa, H Cesario, A Edinger
S Pereira, P Carnelli,
S Pereira, G Li, F Grunberg, M Baz
M
Baz, C Casaravilla, F Silveira, N Deshpande, J Facal, G Gonzalez Sapienza, M
Baz
V
Mandich, D Chiacchiara, M Bravo, A Pilipec, S Grimaldi, J Cotez, V Paniouk, H
Arevalo, O Escobar, A Herbas Pozo, S Perez Flach, A Aimar
TE
Lujan, AS Piga, CS Senger
M
Lopez, ML Cazzola, MS Ocampo Botana, MV Benito, M Mijalski
V
Mandich, D Chiacchiara, M Bravo, A Pilipec, S Grimaldi, J Cotez, V Paniouk, H
Arevalo, O Escobar, S Perez Flach, A Herbas Pozo, A Aimar, K Zañudo
V
Mandich, D Chiacchiara, M Bravo, A Pilipec, S G, J Cotez, V Paniouk, H Arevalo,
O Escobar, S Perez Flach, A Herbas Pozo, A Aimar, K Zañudo, M Minghetti
0100 NEUMOTORAX ESPONTANEO EN COVID 19 FACTORES DE RIESGO ASOCIADOS EN
UNA UCI DE IV NIVEL
LA
Dulcey Sarmiento, R Caltagirone, DM Villamizar Olarte, JS Theran Leon, LM
Martinez Martinez, ER Espinoza Silva
0101 MARCADORES PRONÓSTICOS GENÉTICOS Y PLASMÁTICOS DE LAS FORMAS MÁS
SEVERAS DE COVID-19
F
Aranda, M Peralta, S Perés, V Chediack, A Bocassi, E Cunto, M Moiana, M
Fernández, A Lucero, J Chamorro, V Lara, G De Larrañaga
N
Funes Nelson, C Cervantes
0103 DECÚBITO PRONO EN COVID-19
MD
Ugarte Lopez, AJ Herrera, S Cosenza, P Pratesi
0104 HOSPITAL DE CAMPAÑA COVID19. ESTUDIO DE COHORTE RETROSPECTIVO
COMPARATIVO
MD
Ugarte Lopez, AJ Herrera, S Cosenza, J Alvarez, P Pratesi
AJ
Herrera, MD Ugarte Lopez, S Cosenza, J Alvarez, P Pratesi
D
Romero, M Wilches, J Morales, G Rodríguez, B Fernandez, T Huanca, L Barra
Montes De Oca, W Videtta, S Quintana, D Barrientos, O González, H Collazos, A
Tamayo
0118 EVALUACIÓN DE LOS EFECTOS ADVERSOS GRAVES POR TRANSFUSIÓN DE
SUERO HIPERINMUNE COVID-19
D
Barrientos, A Barra Montes De Oca, T Huanca, C Claros, R Garnica, J Morales, B
Fernandez, M Wilches, W Videtta, G Rodriguez, O Flores, O Gonzalez, H Collazos,
W Veliz, S Carabajal, D Romero, S Quintana, A Tamayo
F
Cisneros
MV
Vila, C Torres, M Lynch, M Tisi Baña
M
Rubio, JI Lisazú, N Cristiani, M Pirovani, M Neira, N Davidjan, A Duttweiler, J
Gurrisi, V Martin, A Aisenberg, S Tedesco, K Pérez, P Pisano, MC Pogliani, J
Grinberg, G Inga Salazar, MS Maggini, A Gómez, K Díaz, G Muntaabski, M
Previgliano, M Rodríguez Ruíz
BN
Garcia Rosolen, BF Capecce, LMC Rodriguez, LG Ballarino, TD Lopez, BC Zuanich
0132 TRABAJO OBSERVACIONAL DE HELMET COMO HERRAMIENTA TERAPÉUTICA EN
NEUMONÍA POR COVID-19
JP Arduino, D
Cattalini, S Pulcinelli, D Sanchez, D Souto, C Suarez
V
Chediack, E Cunto, L De Vedia, P Saul, N Chacon, A Rodriguez, N Lista, C
Dominguez, R Gregori Sabelli, J Fernandez, M Flores, I Prieto, Y Lamberto, L
Nicolosi, P Velazquez, M Sanchez Cunto, M Bertelli, K Schiavino
S
Camisassa, ML Coluccini, V Castro, A Martini, N Salazar, ML Visentini
0146 ASOCIACIÓN ENTRE LA FECHA DE INICIO DE SÍNTOMAS (FIS) Y LA
SOBREVIDA EN PACIENTES CON COVID-19
ML
Quiles, X Gambetta
0149 COMPLICACIONES NEUROLÓGICAS EN UNA SALA DE REHABILITACIÓN POST
COVID. ESTUDIO RETROSPECTIVO
A
Gómez, C Balasini, A Aller, N Davidjan, E Fulgenzi, V Martín, G Muntaabski, P
Paula, M Rodríguez Ruiz
ADV
Velez
E
Fulgenzi, C Balasini, A Aller, G Andrea, S Huespi, V Martín, G Muntaabski, M
Rodríguez Ruiz
C
Torancio, N Dargains
D
Canale, R Moracci, H Tolay
MC
Pohlemann Tarnovski, A Carrera, S Ribak, M Arguello, RA Villalba, A Alarcón, M
Kaechelle, L Santana, I Cruz Muñoz, M Rodríguez, C Correia, C Farquharson, N
Barreto
D
Gelabert, D Garcia Davi
RA
Villalba, M Pohlemann, MD Arguello, D Acosta, A Alarcon, LJ Santana, I Cruz, M
Rodriguez, M Kaechele, A Carrera, S Ribak, C Correia Da Silva, C Farquharson, N
Barreto
0169 EPIDEMIOLOGÍA DE PACIENTES CON COVID 19 EN ASISTENCIA
RESPIRATORIA MECÁNICA EN UTI
C
Torancio, J Mereles, N Dargains, C Orellano, A Manti
PG
Insaurralde, F Gonzales, J Leiria, I Garcia, B Conca, C Ardilez, O Aspitia, T
Nuria
PREMIOS
17/11/2021 - 13:00 a
13:55
Premio 01
Sala 4
I
Huespe, I Carboni Bisso, E San Roman, E Prado, N Gemelli, J Sinner, M Las
Heras, MR Risk
0061 BURNOUT EN PROFESIONALES DE TERAPIAS INTENSIVAS DE ARGENTINA
DURANTE LA PANDEMIA COVID-19
C
Balasini, L Tumino, P Canavessi
0136 CREACION DE UN PROGRAMA DE CUIDADOS POSTERIORES AL COVID 19 EN
UNA UCI DE IV NIVEL
LA
Dulcey Sarmiento, DM Villamizar Olarte, JF Castillo Blanco, LM Martinez
Martinez, EA Villarreal Rojas, R Caltagirone, GP Salamanca Coy
17/11/2021 - 14:00 a
14:55
Premio 02
Sala 4
MJ
Bosso, L Prieto, F Larocca, AS Morales, D Villalba, A Matesa, A Brusco, V
Morales, E Navarro, MV Gastón Germán, S De Paoli, J Nadur, M Santini, M Alonso,
C Duarte, R Campodónico, G Musso, M Leingruber, A Segura, ME Vallory, SDC
Peiruzzi, P Pascal, EL De Vito
J
Vilca, C Loudet, P Tapia, A Patterer, M Lares, T Juhasz, A Piñas, C Logio, V
Cossio, M Gutierrez, M Gardeazabal, I Parodi, F Morales, M Cordoba, A Cucci, C
Garcia, L Tumino
C
Peralta, M Ghigo, A Villalba, M Castro, L López
18/11/2021 - 13:00 a
13:55
Premio 03
Sala 4
M
Esperatti, M Busico, NA Fuentes, A Gallardo, J Osatnik, A Vitali, EG Wasinger,
M Olmos, J Quintana, SN Saavedra, AI Ana Inés Lagazio, FJ Andrada, H Kakisu, NE
Romano, A Matarrese, MA Mogaadouro, G Mast, CN Moreno, GD Rebaza Niquin, V
Barbaresi, BL Ferreyro, A Torres
0047 PACIENTES OBSTÉTRICAS CRÍTICAS CON COVID-19, COHORTE PROSPECTIVA
OBSERVACIONAL
M
Montenegro, S Galcerán, P Okurzaty
J
Dorado, D Gilgado, G Cardoso, N Vergottini, A Rivera, E Navarro, M Accoce
18/11/2021 - 14:00 a
14:55
Premio 04
Sala 4
R
Hernandez, J Fernández Sarmiento, R Hernández Sarmiento, MA Wilches Cuadros, H
Mulett, L Acevedo, K Moreno, J Palomar, C Salinas, J Rivera
E
Raemdonck Van Megrode, C Cura, C La Giglia, P Pahnke
J
Cantos, C Musso, J Sinner, I Huespe
RESÚMENES
0001 Índice de Perfusión Periférica en Neumonía severa por COVID-19, una aproximación fisiopatológica a la Falla Multiorgánica.
MG Cornu(1), MC Leiva(2), M Tonellier(3), D Palacio(3), AN Martinuzzi(4)
(1) Cemic. (2) Ernesto Accame. (3) Cemico. (4) Independiente.
Introducción: De los pacientes hospitalizados con COVID-19 un tercio desarrolla Síndrome de Distrés Respiratorio Agudo, de estos un 26% requirieron Cuidados Intensivos con una mortalidad del 40 al 60%. Se adjudicó a la alta mortalidad reportada el desarrollo de falla multiorgánica. Los mediadores inflamatorios serían los responsables de las alteraciones microcirculatorias que juegan un rol central en los estados de shock séptico y falla multiorgánica (FOM) ocasionando trastornos en la perfusión e hipoxia tisular. En algunas publicaciones el concepto de tormenta de citoquinas es cuestionado; asociado a hallazgos microcirculatorios contradictorios.
Pregunta de Investigación: Hipotetizamos que la disfunción multiorganica asociado a la neumonía grave por COVID-19 se debe a daño viral directo asociado a distribución de receptores ACE2 con activación endotelial en diferentes lechos vasculares y no a trastornos microcirculatorios sistémicos.
El objetivo fue evaluar el comportamiento microcirculatorio periférico utilizando Índice de Perfusión (IP) como indicador no invasivo de perfusión en pacientes COVID-19.
Método y Metodologìa: Estudio prospectivo, observacional realizado en dos instituciones de salud, con el objetivo de evaluar el comportamiento del IP de pacientes con neumonía Grave por SARS-CoV-2. El IP fue evaluado utilizando curva plestimográfica del sensor de pulsioximetria. Se evaluó presencia de disfunciòn multiorganica.
Resultados: El monitoreo de perfusión mostró valores de IP 4.3+/-1.49 en pacientes COVID-19. Cuando se compararon los datos de IP en pacientes Covid-19 críticos con voluntarios sanos presentaron valores de 4,3+/-1,49 vs 3,69+/-2,08 sin mostrar diferencia estadísticamente significativa (p=0.32). Cuando se comparó perfusión entre vivos y muerto, los valores de IP fueron 5,01+/-1,63 vs 3,74+/-1,16 p=0.07; sin mostrar diferencias en incidencia de falla renal, hemodinámica y dosis de vasoactivos.
Conclusiones: Los pacientes con neumonía grave por COVID-19 presentaron elevados valores de IP lo que correspondería a un patrón de reclutamiento capilar (hiperemia) no pudiendo explicar por este fenómeno la lesión de órgano asociada.

0002 Ventilatory ratio y su utilidad como predictor de mortalidad en pacientes con síndrome de dificultad respiratoria aguda en la UCI. Un análisis retrospectivo
M Botto(1), R Dandres(1), C Franco(1), T Gallo(1), L Landa(1), M Manes(1), R Mosqueda(1), M Vargas(1)
(1) Higa Vicente López y Planes
Introducción: El espacio muerto del sistema respiratorio, (VD/VT) es un predictor independiente de mortalidad en el síndrome de dificultad respiratoria aguda (SDRA). En el año 2019 se validó la relación entre el VD/VT y el Ventilatory ratio (VR) definido como: [VM (ml/min) X PaCO2 (mmHg)]/ (VM pred (ml/min) X 100) X 37.5 mmhg), resultando este último un predictor de mortalidad en SDRA.
Objetivos: Determinar si existe relación entre el VR medido en las primeras 24 hs de evolución del SDRA y la mortalidad en pacientes con requerimiento de asistencia respiratoria mecánica (ARM). Objetivo secundario; observar si existe relación entre el VR y las variables; driving pressure (DP), PaO2/FiO2 y PEEP aplicada.
Materiales y método: Estudio observacional descriptivo, retrospectivo y transversal. La recolección de datos fue realizada entre Julio de 2020 y Mayo de 2021. Población seleccionada; pacientes internados en terapia intensiva del HIGA Vicente López y Planes de General Rodríguez, mayores de 18 años con requerimiento de ARM y diagnóstico de SDRA al ingreso.
Resultados: La mediana de VR fue de 1.9 (RIQ 1.65-2.1). 1.7 (RIQ1.5-2.0) en los sobrevivientes y 2 (RIQ 1.8-2.2) en los fallecidos, (p<0.01). La mediana de PEEP utilizada fue 10 (RIQ 8-12) cmH2O. Siendo 10 (RIQ 9-14) en los sobrevivientes y 10 (RIQ 8-12) cmH2o en los fallecidos (p=0.15). La mediana de DP fue 12.5 (RIQ 11-14) cmH2O, siendo 12 (RIQ 11-14) en los sobrevivientes y de 13 (RIQ 11-14) cmH2O en los que murieron, (p=0.50). La mediana de PaO2/FiO2 fue 173 (RIQ 125-213) siendo 190 (RIQ 106-213) en los sobrevivientes y 163 (RIQ 134-240) en los fallecidos, (p=0.79).
Conclusión: El VR podría ser un predictor independiente de mortalidad en SDRA en las primeras 24 horas. No se halló relación con la PEEP aplicada ni con la DP. Tampoco con la PaO2/Fio2.
0003 VALORACION ECOGRAFICA DE EXCURSION DIAFRAGMÁTICA EN PACIENTES EN PLAN DE DESCONEXIÓN DE LA VENTILACIÓN MECÁNICA. ESTUDIO PROSPECTIVO OBSERVACIONAL TRANSVERSAL.
A Vitale(1)
(1) Iturrraspe
Introduccion: La evaluación diafragmatica para el intento de desconexión de la ventilación mecánica es considerada de importancia; Sin embargo, la misma, todavía no es monitorizada rutinariamente en las unidades de cuidados intensivos. La ecografía diafragmática se ha propuesto para inferir la contractilidad diafragmática de forma simple, no invasiva y en la cabecera del paciente. La excursión anteroposterior de la cúpula diafragmática en personas sanas evaluadas en una respiración tranquila es de 1.34 cm ± 0.1cm. El presente trabajo se realizó con el objetivo de valorar y definir la exactitud diagnostica de la excursión diafragmática con ecografía como predictor de éxito en el proceso de desconexión de la ventilación mecánica
Métodos: Se realizó estudio prospectivo, observacional con corte transversal en el servicio de terapia intensiva del hospital JB Iturraspe, y se observó el desplazamiento craneocaudal durante inspiración y espiración del diafragma mediante ecografía, utilizando el modo M, medido sobre el eje vertical del trazado desde la base hasta el punto de máxima altura de la inspiración.
Resultados: Se analizaron los datos de una muestra de 24 pacientes, de un total de 50, se obtuvo una mediana de la excursión diafragmatica de 1.33cm±0.9cm; Con un intervalo de confianza del 95% de 0.42 a 2.72cm.
Cuando la excursión fue ≥1.33, la probabilidad de éxito en el destete aumenta al 86%, por el contrario, si la excursión diafragmática es < 1.33, la misma disminuye al 60%, con un riesgo relativo de 1.41, una sensibilidad del 67%, una especificidad del 67% un Valor predictivo positivo del 86% y Valor predictivo negativo 40%.(p=0.15)
Conclusión: La excursión diafragmática puede ser una forma, no invasiva de predecir el éxito y fallo de la desconexión de la ventilación mecánica dentro de las 48 horas posteriores a la extubación. Sin embargo, los resultados obtenidos no han sido estadísticamente significativos.


0004 Deuda calórica y proteica en pacientes COVID-19 en unidad de cuidados Intensivos: Hospital Rawson, Córdoba, Argentina
JS Gassmann(1), Córdoba, A Valdez(1), Córdoba
(1) Hospital Rawson. (2) Córdoba
Introducción: La Organización Mundial de la Salud declaró la
enfermedad COVID-19 como pandemia el 11 de marzo de 2020. Los supervivientes
permanecen en UCI durante largos períodos de tiempo y aunque la enfermedad es
principalmente respiratoria, la evidencia muestra que puede afectar el sistema
digestivo, (1) lo cual se asocia con un mayor porcentaje de deuda
calórica/proteica (2). Las consecuencias del balance energético negativo se
correlacionan con complicaciones que pueden conducir a desnutrición severa y
perjudicar la recuperación, incrementando el riesgo de infecciones,
prolongación de ventilación mecánica, días de estancia en UCI y mortalidad (3,
4). Es así que evitar una elevada deuda calórica/proteica debe formar parte de
la estrategia terapéutica general en UCI.
Métodos: Estudio observacional, retrospectivo, de corte transversal. Pacientes críticos con estadía en UCI superior a 10 días que recibieron soporte nutricional desde marzo a octubre de 2020. Las variables fueron síntomas gastrointestinales (SGI), deuda calórica, deuda proteica (porcentaje promedio de déficit calórico/proteico en relación a objetivos planteados durante los primeros 10 días) y mortalidad.
Resultados: Cohorte 51 pacientes. Los SGI fueron: constipación (31,09 %), residuo gástrico elevado/ vómito (2,52 %), diarrea (1,68 %), hemorragia digestiva (1,68 %). El promedio de deuda calórica al décimo día fue 34% (5360 kcal) y de deuda proteica 41% (512 g pr).
Se encontró asociación entre mortalidad y deuda calórica (t= 3,55); en el mismo sentido, con la deuda proteica (t=2,68).
Los SGI se asociaron con mayor deuda calórica (t=2,45) como así también la deuda proteica fue significativamente más alta (t=3,25).
Conclusión: Los SGI se asociaron con la deuda calórica-proteica, y ésta a su vez con la mortalidad. Estos hallazgos evidencian la importancia de una estrategia nutricional adecuada, que permita optimizar el aporte calórico-proteico en pacientes COVID-19 en estado crítico.
0005 Validación multicéntrica de sistemas de alerta temprana para la detección precoz de deterioro clínico en pacientes hospitalizados por COVID-19
I Huespe(1), I Carboni Bisso(1), E San Roman(1), E Prado(1), N Gemelli(1), J Sinner(1), M Las Heras(1), MR Risk(1)
(1) Hospital Italiano de Buenos Aires
Introducción: Los sistemas de alerta temprana (SAT) ayudan a los médicos a clasificar a los pacientes hospitalizados. La complejidad de la enfermedad por coronavirus (COVID-19) expuso la necesidad de un SAT específico, como COVID-19 Severity Index. El objetivo de este estudio fue investigar el valor predictivo 3 SAT (NEWS-2, NEWS-C y COVID-19 Severity Index) para predecir la transferencia de urgencia a la unidad de cuidados intensivos (UCI).
Métodos: Estudio retrospectivo realizado en dos hospitales de tercer nivel en Argentina. Se calcularon los 3 SAT para cada día de hospitalización en pacientes adultos con COVID-19, ingresados en salas generales, excluyendo pacientes con órdenes de no intubar. Se dividió a los pacientes entre los que ingresaron en la UCI y los que no ingresaron. Evaluamos la discriminación y calibración de los 3 SAT para predecir el traslado de urgencia a UCI en las 24 previas al pase a UCI, y al ingreso hospitalario.
Resultados: Evaluamos 13,768 días de hospitalización en internación general de 1318 pacientes, de los cuales 126 (9,5%) fueron trasladados a UCI. El AUROC del NEWS2 fue de 0,73 (IC 95% 0,68-0,78) 24 horas antes del ingreso a UCI y de 0,52 (IC95% 0,47-0,57) al ingreso hospitalario. El AUROC de NEWS-C fue de 0,73 (95%CI 0,68-0,78) y 0,52 (95%CI 0,47-0,57) respectivamente, y el AUROC del COVID-19 Severity Index fue 0,80 (95%CI 0,77-0,84) y 0,61 (95%CI 0,58-0,66) respectivamente. A su vez el COVID-19 Severity Index fue el que presentó la mejor calibración.
Conclusiones: El SAT COVID-19 Severity Index presento una mejor discriminación y calibración que NEWS2 y NEWS-C para predecir la transferencia de la UCI durante la hospitalización.


0007 Adherencia al paquete de medidas ABCDEF durante la pandemia de COVID-19
D ávila Poletti(1), I Carboni Bisso(1), I Huespe(1), D Villalba(2), D Olmos(3), M Las Heras(1), F Carini(1)
(1) Hospital Italiano de Buenos Aires. (2) Clínica Basilea. (3) Hospital Municipal Príncipe de Asturias
Introducción: El paquete de medidas ABCDEF ha propuesto reducir el dolor, la sedación excesiva, el desarrollo de delirium, la inmovilidad prolongada y el aislamiento social, así como prevenir el desarrollo de debilidad muscular, deterioro cognitivo y síndrome post UCI. La aplicación completa del paquete de medidas ABCDEF mostró mejoras clínicamente significativas en la supervivencia y los días libres de ventilación mecánica invasiva.
Pregunta de investigación: Cuál es el conocimiento y uso del paquete de medidas ABCDEF en las unidades de cuidados intensivos de adultos de la República Argentina durante la pandemia por SARS-CoV-2
Métodos: Se realizó un estudio observacional, cuantitativo, de corte transversal, a través de una encuesta.
Resultados: Se recibieron 396 cuestionarios completos de profesionales de 21 provincias argentinas y la Ciudad Autónoma de Buenos Aires. El 66% de los participantes contestó que conoce el paquete y lo aplica con diferentes grados de implementación. El 42,9% informó que usa al menos una herramienta validada para evaluar el dolor. Más de la mitad de los encuestados afirman realizar vacaciones de sedación y pruebas de ventilación espontánea diariamente. Las escalas de sedación fueron utilizadas por el 66,6% de los participantes en forma rutinaria. El 62% utiliza herramientas validadas para la detección de delirium. Respecto de la movilización temprana y ejercicio de los pacientes, el 91,8% de los profesionales entrevistados comunicaron que realizan rehabilitación neuromuscular en su UCI. Finalmente, sólo el 6,8% informó que su unidad estaba abierta las 24 horas para las visitas.
Conclusión: El 66% de los participantes contestó que conoce el paquete y lo aplica en diferente medida. El aislamiento y la alta complejidad propia del paciente crítico con COVID-19, fue informada como una barrera que impide su implementación. El componente F del paquete, fue el que encontró menor adherencia entre los respondedores.
0009 Impacto de la posición prona sobre desenlaces clínicos relevantes en pacientes con insuficiencia respiratoria aguda por Covid-19 tratados con cánula nasal de alto flujo: estudio multicéntrico de cohorte prospectivo
M Esperatti(1), M Busico(2), NA Fuentes(3), Universidad Nacional De Mr Del Plata, A Gallardo(5), J Osatnik(6), A Vitali(7), EG Wasinger(8), M Olmos(1), J Quintana(2), SN Saavedra(6), AI Ana Inés Lagazio(7), FJ Andrada(8), H Kakisu(1), NE Romano(2), A Matarrese(6), MA Mogaadouro(7), G Mast(8), CN Moreno(1), GD Rebaza Niquin(6), V Barbaresi(1), BL Ferreyro
(1) Hospital Privado de la Comunidad. (2) Clínica Olivos. (3) Hospital Privado de Comunidad - Escuela de Medicina. (4) Universidad Nacional De Mr Del Plata. (5) Sanatorio Clínica Modelo De Morón. (6) Hospital Alemán. (7) Sanatorio De La Trinidad Palermo. (8) Hospital Universitario Austral. (9) Sinai Health System and University Health Network. (10) Hospital Clinic
Introducción: En pacientes con insuficiencia respiratoria aguda (IRA) secundaria a COVID-19, no son claros los efectos de la posición prona en ventilación espontánea (PP-VE) sobre desenlaces clínicos relevantes. Nosotros evaluamos el efecto de la PP-VE sobre la tasa de la intubación orotraqueal (IOT) y otros desenlaces clínicos en pacientes tratados inicialmente con cánula nasal de alto flujo (CNAF).
Métodos: En este estudio multicéntrico de cohorte prospectivo, incluimos de forma consecutiva a pacientes >18 años con confirmación de COVID-19 e insuficiencia respiratoria con requerimiento de CNAF desde junio 2020 a enero 2021. La variable de exposición fue PP-VE durante, al menos, 6 horas/día, comparado con pacientes que no realizaron PP-VE (grupo control). Se utilizó una ponderación de probabilidad inversa (IPW-propensity score) para ajustar la probabilidad condicional del tratamiento asignado. El desenlace primario fue IOT y el secundario mortalidad hospitalaria.
Resultados: Durante el período de estudio se evaluaron 580 pacientes, 335 fueron incluidos (figura 1); 187 (56%) toleraron PP-VE durante [mediana (p25-75)] 12(9-16) horas/día y 148 (44%) fueron analizados como controles. El análisis de propensión por IPW mostró diferencias estandarizadas <0,1 en todas las variables evaluadas cumpliendo con el supuesto de intercambiabilidad de las poblaciones. Luego del ajuste de otras variables (enfoque “doble robusto”), el odds ratio -OR- (IC95%) para IOT en el grupo expuesto a PP-VE fue 0,36 (0,2-0,7) obsevándose una reducción progresiva del riesgo con el aumento de tiempo de exposición a la posición prona (figura 2A). El OR (IC95%) ajustado para mortalidad hospitalaria en el grupo PP-VE fue 0,47 (0,19-0,31). La exposición a la posición prona >8 horas/día resultó en una mayor reducción del riesgo de muerte OR (IC95%) 0,37 (0,17-0,8) observándose una reducción progresiva del riesgo con el umento del tiempo de exposición a la posición prona (figura 2B).
Conclusiones: En la población estudiada, la posición prona vigil durante la ventilación espontánea durante un período ≥ 6 horas/día redujo el riesgo de intubación orotraqueal. El aumento del tiempo de exposición disminuyó de manera progresiva el riesgo, mostrando un efecto dosis respuesta. La exposición >8 horas/ día redujo el riesgo de mortalidad hospitalaria.


0011 Características clínicas de la injuria renal aguda en pacientes con COVID-19 en Terapia Intensiva
N Contrera Rolon(1), CF Varela(1), A Ferraris(1), AM Rojano Crisson(1), I Carboni Bisso(1), G Greloni(1), G Bratti(1), M Las Heras(1), JF Sinner(1), G Rosa Diez(1)
(1) Hospital Italiano de Buenos Aires
Introducción: La insuficiencia renal aguda (IRA) es una complicación frecuente en la COVID-19 y se encuentra asociada a alta morbimortalidad. Su fisiopatología aún no es completamente comprendida, aunque parece estar asociada a múltiples factores: el virus y la respuesta del huésped, interacciones pulmón-riñón, exposición a nefrotóxicos y complicaciones como la sepsis.
Materiales y métodos: En un estudio retrospectivo observacional evaluamos la incidencia de IRA, factores de riesgo y desenlaces clínicos de 162 pacientes ingresados en una Unidad de Cuidados Intensivos de tercer nivel en la Ciudad de Buenos Aires. Recolectamos datos sobre el momento de desarrollo de los eventos y, como un análisis exploratorio, clasificamos la IRA en temprana y tardía (antes y después de los 14 días de inicio de síntomas). Llevamos a cabo un análisis multivariado para ajustar por confundidores con el objetivo de identificar factores de riesgo de IRA.
Resutados: La incidencia de IRA fue de 40.69 %, con una mortalidad intrahospitalaria del 58.6 %. El 11.1 % requirió terapia de reemplazo renal (TRR). La IRA ocurrió con una mediana de 10 días desde el inicio de síntomas (IQR 5.5 - 17.5) y se encontró asociada temporalmente con el inicio de la VMI (mediana de 2 días; IQR 0-9). La IRA tardía estuvo más asociada a la sepsis y a la exposición a nefrotóxicos, mientras que la temprana se encontró más cercana al inicio de la VMI y fue del tipo transitorio. El antecedente de hipertensión arterial e insuficiencia cardíaca, el requerimiento de VMI y la edad fueron predictores independientes de IRA.
Conclusión: La IRA es frecuente en pacientes críticos con COVID-19 y está asociada a mayor mortalidad. La clasificación temporal de la IRA puede tener utilidad en el abordaje de los pacientes al individualizar los factores asociados, y así plantear intervenciones en la prevención y tratamiento.
0013 USO DE LA CÁNULA DE ALTO FLUJO EN LA INSUFICIENCIA RESPIRATORIA POR SARS-COV2
J Mancuso(1), F Vasile(1), M Vega(1), D Sittoni(1), N Luna(1)
(1) Domingo Funes
Introducción: La transmisibilidad del SARS-CoV-2 ocupó rápidamente las camas en la UTI, el uso de HFNC facilitaria el alta a sala de forma mas precoz.
Hipotesis: El uso de HFNC, guiada por el índice de rox disminuye el requerimiento de ventilación mecánica, días de internación en terapia intensiva y la mortalidad a los 21 dias.
Objetivos: Determinar el requerimiento de ARM a las 48 hs usando el índice de ROX en pacientes con HFNC al ingreso. Comparar el número de días de internación en la UTI en pacientes con HFNC que no requirieron y sí requirieron ARM. Determinar la mortalidad al día 21.
Material y métodos: Estudio observacional, prospectivo. Datos de 37 pacientes adultos, ingresados en UTI, con diagnóstico de insuficiencia respiratoria aguda secundaria a neumonía bilateral por SARS-CoV2, con distrés leve-moderado, todos recibieron HFNC al ingreso a la UTI con índice ROX como predictor. Se excluyeron pacientes con criterios de distrés severo y aquellos que recibieron HFNC post weaning.
Resultados: Se analizaron 37 pacientes, 81% fueron masculinos; edad promedio 53±10.72 años (r:19-70); las mujeres fueron de mayor edad (57,43 vs 51,97; p<0,0001). Requirieron ARM en las primeras 48 hs 17 pacientes (45,9%). El promedio del índice de ROX aumentó a las 24 hs (5.88; p<0,0001) y decayó a las 48 h (5.00; p=0,0031) respecto al inicio (5.27). El 84% tenían al menos una comorbilidad (obesidad 68%). El 59% tuvo éxito con HFNC, el 46% requirió ARM. La mortalidad a los 21 días fue del 30%.
Conclusiones: Nuestro resultado debería animar el un uso temprano y sistemático de la HFNC. Limitaciones: pequeño número de pacientes. El uso precoz y sistemático de esta técnica nos permitió aumentar el número de camas de UTI. Concluimos que la HFNC podría ser una estrategia eficaz de oxigenación para la insuficiencia respiratoria.


0016 Impacto del decúbito prono en pacientes con Covid-19 grave en un hospital de agudos de la Ciudad Autónoma de Buenos Aires
J Carnero Echegaray(1), A Lazo(1), S Maldonado(1), F Curutchet(1), M Pellicioni(1), S Ossemani(1), J Ossemani(1), P Maddonni(1)
(1) Hospital General de Agudos José María Penna.
Introducción: El decúbito prono (DP) es una maniobra utilizada para el tratamiento de la hipoxemia refractaria en pacientes con COVID-19. Nuestro objetivo fue describir la evolución de los pacientes que requirieron DP. Secundariamente evaluar factores explicativos de mortalidad.
Material y métodos: Estudio descriptivo retrospectivo observacional llevado a cabo en el Hospital General de Agudos J. M. Penna entre 15/05/2021 y 27/07/2021. Se incluyeron los pacientes con COVID-19 bajo asistencia ventilatoria mecánica (AVM) que requirieron DP. Se realizó el seguimiento durante 28 días y se describieron sus variables clínicas. Se comparó su evolución según mortalidad, utilizando los test de student, wilcoxon o exacto de Fisher. Se analizaron factores asociados a la mortalidad utilizando regresión de cox.
Resultados: Ingresaron 50 pacientes, 45 requirieron AVM y 28 DP. La edad promedio fue de 52.43 (9.54) años, con una mediana de Score de Charlson de 1 [0.00, 2.00]. La mediana de días de AVM fue de 17.00 [RIQ 13.00, 23.00] y un 28,6% logró ser extubado. El 14,8% fue traqueostomizado. La mediana de días en UTI fue de 19.50 [RIQ 14.00, 23.50] con una mortalidad del 53,6%. El 35,7% necesito 2 ciclos de DP con un intervalo de tiempo predominante en todos los ciclos de 24-36 hs. El 89,4% tuvo lesiones de úlceras por presión (UPP), con predominio fronto-orbicular (60,7%) y de rodilla (57,1). El 67,9% presentó edema facial. Los que fallecieron tuvieron menos días de UTI (16 vs 28; p=0,006) y solo uno de ellos había logrado ser extubado (1 vs 7, p= 0.011). No se encontraron factores asociados a la mortalidad en la regresión de cox.
Conclusión: La “segunda ola” afectó principalmente a una población más joven con una mortalidad cercana al 50% en los pacientes con DP. La pérdida de accesos venosos y/o extubación asociada al DP fue escasa. Se observó una elevada prevalecía de UPP.
0017 GRUPO SANGUINEO “O” Y MORTALIDAD EN PACIENTES CRÍTICOS CON HEMORRAGIA DIGESTIVA ALTA NO-VARICEAL
Y Bellagamba(1), NS
Rocchetti(1), DH Bagilet(1), CJ Settecase(1)
(1) Hospital Escuela Eva Perón
Introducción: La hemorragia digestiva alta no variceal (HDA-NV) constituye una causa frecuente de ingreso a las Unidades de Cuidados Intensivos (UCIs). Dentro de sus factores pronósticos, se incluye al grupo sanguíneo “O” (GSO). El sistema sanguíneo ABO es un riesgo potencial para diversas enfermedades (trastornos hemostáticos y hemorragia), probablemente influenciado por los menores niveles plasmáticos de factor de von Willebrand en el GSO.
Objetivo: Probar la hipótesis de que el GSO es un factor de riesgo independiente de mortalidad en los pacientes críticos con HDA-NV.
Métodos: Estudio retrospectivo, analítico, observacional,
de corte trasversal, en una UCI polivalente. Se incluyeron pacientes de ambos
sexos, ≥18 años ingresados a UCI con diagnóstico de HDA-NV y estancia mínima de
24 h. Se registraron edad, sexo, etiología y localización de la HDA-NV, grupo y
factor sanguíneo ABO, APACHE II, SAPS II, SOFA, número de transfusiones de
concentrados de eritrocitos, necesidad de ventilación mecánica (VM), días en la
UCI y sobrevida.
Resultados: 98 pacientes incluidos con HDA-NV. 85 (86,7%) varones, media de edad de 54,37 años (±14,14). 55 (56,1%) pacientes tenían GSO, 35 (35,7%) grupo sanguíneo “A”, 8 (8,2%) grupo sanguíneo “B” y ninguno grupo sanguíneo “AB”. 68 (69,4%) pacientes presentaron úlcera péptica, 24 (24,5%) gastropatía erosiva y 6 (6,1%) síndrome de Mallory-Weiss. 64 (65,3%) requirieron transfusiones sanguíneas y 16 (16,3%) VM. Las medias de APACHE II, SAPS II y SOFA fueron: 13,85 (±8,88), 34,46 (±15,94), y 3,73 (±3,41), respectivamente. Fallecieron en la UCI 18 (18,4%) pacientes. El GSO no presentó significación estadística en modelos de regresión logística binaria como predictor de muerte, ajustando por requerimiento de VM y gravedad según las escalas APACHE II, SAPS II y SOFA (p=0,820).
Conclusiones: El GSO no fue un factor de riesgo independiente de mortalidad en un grupo de pacientes críticos con HDA-NV en una UCI polivalente.
0018 COMPARACIÓN DEL TRABAJO RESPIRATORIO ANTES Y DESPUÉS DE LA EXTUBACIÓN
EA Distéfano(1), A Dalozzo(1), S Picon Fuster(1), C Destefanis(1), M Gaggioli(1), M Botto(1), G Baez(1), S Bertozzi(1), M Forcillo(1), MN Antunes(1), GL Landa(1)
(1) Italiano
Introducción: El trabajo respiratorio es el esfuerzo destinado a vencer componentes elásticos y resistivos del sistema respiratorio
No hemos encontrado trabajos publicados en Argentina sobre el uso del balon esofagico para medición de trabajo respiratorio en el periodo que va desde la prueba de tubo en t hasta el momento post extubación inmediato
Objetivo: Cuantificar el WOB en dos momentos : Previo y posterior a la extubación.
Materiales y métodos: Estudio observacional, tipo serie de casos. 10 pacientes internados en la unidad de terapia intensiva de adultos del Hospital Italiano Sede San Justo intubados, en condiciones de weaning
VARIABLES A MEDIR:
• PTP
• PTP.min
• PTP.min/vc
• Pes swing
Resultados: 10 pacientes, 7 hombres (70%) edad 73 años (RIQ 64.75-88.75), Saps II 63.50 (RIQ 58-65) Dias de ventilación mecánica invasiva 4 (RIQ 3.75-5.25).
Los 10 pacientes fueron extubados y tres presentaron fallo de extubación.
GRUPO REINTUBADOS:
PTP 1 17.61 [14.77, 30.79] vs PTP 2 15.18 [7.62, 17.80], PTP min1 213.13 [110.77, 309 vs PTP min2 156.50 [77,35, 181]; PTP min/vt1 0.3 [0.24, 0.98 vs PTP min/vt2 0.38 [0.1, 0.53]; Pes swing 1 16.53 [13.71, 22.47] vs Pes swing 2 14.66 [10.54, 15.20].
GRUPO NO REINTUBADOS:
PTP 1 11.20 [4.78, 17.78] vs PTP 2 12.47 [8.40, 19.45], PTP min1 84.75 [68.29,265.75] vs PTP min 138.56 [57,81,218]; PTP min/vt1 0.22 [0.1, 0.74) vs PTP min/vt2 0.38 [0.08, 0.62]; Pes swing 1 9.74 [3.33, 16.57] vs Pes swing2 9.67 [8.43, 13.16].
En el grupo que requirió reintubación, el WOB fue mayor durante la ventilación espontánea a través del TET comparándolo a la hora posterior a la extubación
El juicio clínico al momento de decidir la extubación puede no estimar objetivamente el aumento del trabajo respiratorio
El componente que tiene un papel más significativo en el aumento del trabajo respiratorio al finalizar la prueba de tubo en t es el componente resistivo comparado a la hora de extubados en los que presentaron fallo de extubación
Conclusión: La medición de trabajo respiratorio con balon esofagico logró objetivar valores elevados de trabajo resistivo comparado con la postextubación, en pacientes que presentaron fallo de extubación, a pesar de no observarse criterios de fallo en la prueba de tubo en t.


0019 EVIDENCIA CLÍNICA DE VILI VORTEX EN PACIENTES CON SARS-CoV-2
N Pistillo(1), P Castelluccio(1), R Ciano(1), E Palermo(1), S Lage(1), E Amundarain(1), O Fariña(1)
(1) Hospital de Alta Complejidad en Red El Cruce.
El concepto de VILI vortex en el SDRA, hace referencia al círculo vicioso que se establece entre la potencia mecánica, que aumenta severamente con respecto al pulmón ventilable que se “encoge”, producto del daño ocasionado, la progresión de la enfermedad de base o por procesos negativos sobreimpuestos (sepsis, shock, sobrecarga de fluidos, etc).
Objetivo: Categorizar clínicamente este fenómeno en pacientes con SARS-CoV-2.
Métodos: Los pacientes fueron ventilados con una estrategia protectora (VCV, Vt: 6 ±1 ml/kg/PBW y PPlat 7,20, respectivamente. La PEEP se tituló en función de la mejor CSR. Los datos se registraron durante 14 días. VILI vortex se definió como un aumento progresivo y sostenido de la presión de distensión (ΔP) en el contexto de Vt y PEEP constantes o decrecientes.
Resultados: Ingresaron 65 pacientes, el 23% (n: 15) progresó con VILI vortex. Este fenómeno comenzó luego de la primera semana (ΔP día 7: 15,6 ± 3,6 vs. ΔP día 14: 24,1 ± 7,8 cmH2O, p 0,0007). Aunque inicialmente la PaO2/FiO2 estuvo moderadamente preservada (día 7: 206 ±67 vs, día 14: 160 ±75 mm hg, p: NS), la mayoría de los pacientes murió por hipoxemia refractaria (14/15). Por cada cmH
2O de ΔP que aumentó en el lapso de 7 días, el riesgo relativo de muerte subió 1,3 veces (IC del 95%: 1,2 a 1,4, p <0,001).
Factores negativos como el retraso en la intubación [14 (11-15) vs. 7,5 (5-11) días, p = 0.0005], sobrecarga de fluidos [965 (501-1280) vs. 471 (206-.730), ml/día, p = 0,002], presencia de bacteriemia (60 vs. 20%, p 0,002), fiebre persistente (46,6 vs. 20%, p: 0,03) y necesidad de noradrenalina > 0,1 g/kg/min (80 vs. 34%, p = 0,001) predominaron en estos pacientes.
Conclusiones: VILI vortex es un fenómeno grave asociado con alta mortalidad por hipoxemia refractaria. Factores negativos como el retraso de intubación, la sobrecarga de fluidos, presencia de bacteriemia, fiebre persistente y requerimentos de noradrenalina para e el tratamiento del shock, favorecieron su desarrollo.


0020 Comportamiento del lactato sérico en niños en postoperatorio de trasplante hepático y su asociación con desenlaces inadecuados: experiencia de 10 años de un centro de referencia
R Hernandez(1), J Fernández Sarmiento(1), R Hernández Sarmiento(1), MA Wilches Cuadros(1), H Mulett(1), L Acevedo(1), K Moreno(1), J Palomar(1), C Salinas(1), J Rivera(1)
(1) Fundación Cardioinfantil
Introducción: El lactato sérico es un biomarcador de perfusión tisular útil en pacientes críticos. No conocemos estudios en niños que hayan evaluado el comportamiento del lactato sérico en pacientes postrasplante hepático de donante vivo o cadavérico. El objetivo de esta investigación fue evaluar el comportamiento del nivel de lactato sérico en el postoperatorio de trasplante hepático y su asociación con complicaciones quirúrgicas, médicas, necesidad de soporte vasopresor y mortalidad.
Métodos: Estudio observacional analítico prospectivo de niños en postrasplante hepático inmediato donante vivo o cadavérico entre noviembre 2009 y diciembre 2019 en la Fundación Cardioinfantil en Bogotá, Colombia, evaluando asociación entre lactato sérico en cuatro tiempos posoperatorios y la presencia de complicaciones quirúrgicas, disfunción del injerto, soporte vasopresor y mortalidad a los 90 días.
Resultados: Se incluyeron 145 pacientes con una mediana de edad de 14 meses (RIQ 8-60). La atresia de vía biliar fue el diagnostico principal en 56,5% de los casos. La mediana de líquidos administrados en cirugía fue de 43.4 mL/kg (RIQ 24.6–70.1). Un nivel de lactato sérico al ingreso a UCIP mayor a 3.0 mmol/L se asoció a la presencia de complicaciones biliares (AUC 0.73 IC 95% 0.54-0.93;p=0.07) y mortalidad (AUC 0.72 IC95% 0.63-0.81;p=0.01). Un valor de lactato luego de 6 horas de ingreso a UCIP mayor a 2 mmol/L, se asoció a mortalidad (AUC 0.70 IC 95% 0.54-0.83;p=0.02). Los valores más altos de lactato y su falta de aclaramiento se asociaron a la presencia de onda tardus et parvus (p=0.001), disfunción primaria (p<0.001), trombosis arterial (p<0.001) y complicaciones neurológicas (p=0.04). Se observó una correlación inversa del lactato al ingreso con la cantidad de líquidos administrados en cirugía (rho=0.36; p<0.001). Una duración total de tiempo quirúrgico mayor de 350 minutos junto con un score vasopresor mayor a 7 y lactato elevado se asoció a peores desenlaces (p<0.001).
Conclusión: En niños en postoperatorio de trasplante hepático, el nivel del lactato sérico y su aclaramiento se asocia a complicaciones quirúrgicas postoperatorias y mortalidad. Es un biomarcador útil para realizar seguimiento del curso clínico posoperatorio en estos pacientes. Cuando el acto quirúrgico es prolongado y se requieren alto soporte vasopresor, el nivel de lactato es mayor y se asocia con mayor frecuencia de complicaciones.


0021 Evolución de pacientes Covid 19 añosos asistidos en Sala
común vs Terapia Intensiva (UTI), durante la primera ola
R Fernandez(1), C
Solchaga(1), V Ordoñez(1), F Alvarez(1), M Azor(1), M Ferreti(1), M Segura(1)
(1) Español De Mendoza
Introducción: Los pacientes añosos con disminución de
reserva fisiológica y comorbilidades son vulnerables a enfermedades agudas,
esto aumenta el riesgo de muerte cuando son admitidos a UTI y potencialmente
mitiga los beneficios de los cuidados intensivos.
Objetivos: Comparar la evolución de pacientes añosos con
neumonía Covid 19 severa asistidos en sala de Clínica vs UTI.
Materiales y métodos: Estudio retrospectivo observacional con
análisis secundario de una base de datos prospectiva desde setiembre a
diciembre 2020. Se analizaron todos los pacientes ≥ 65 años con neumonía severa
por Covid 19 ingresados a UTI o asistidos en sala, con NEWS2 ≥ 7 durante su
evolución. Se registró, fecha de inicio de síntomas, APACHE II, S.O.F.A., score
tomográfico, PCR, dímero D y ferritina el día con NEWS ≥ 7 o al ingreso a UTI,
comorbilidades, evolución y uso de dispositivos.
Las variables cualitativas, frecuencias y
porcentajes se analizan utilizando test de chi2. Las variables cuantitativas,
medianas y percentilos 25 – 75, (Perc 25-75) mediante U de Mann-Whitney. Se
consideró significativa p ≤ 0,05.
Resultados: De setiembre a diciembre 2020, (pico de la
pandemia en nuestra provincia) fueron asistidos 58 pacientes en sala y 28 en
UTI con Covid 19 severo, > 65 años. Las características generales se
describen en la tabla 1. Los pacientes en sala muestran mayor edad y días hasta
inicio de síntomas, pero menor estadía. No pudo demostrarse diferencia en
APACHE II, S.O.F.A., score tomográfico, PaFiO
2, PCR y dímero D. Mortalidad en sala 46,6 %
vs 35,7% en UTI, p = NS
La comparación de pacientes fallecidos en
ambas localizaciones muestra resultados similares. Tabla 2.
Conclusión: Los resultados sugieren falta de beneficio en
la sobrevida, de pacientes añosos y muy añosos asistidos en UTI con neumonía
severa por Covid 19, replanteando la necesidad de buscar estrategias de mayor
eficiencia.


0022 ALTO FLUJO DE OXÍGENO POR TRAQUEOSTOMÍA:
VALORACIÓN ECOGRÁFICA DE LA ACTIVIDAD DIAFRAGMÁTICA
I Fernández
Ceballos(2), BL Ferreyro(1), MS Venuti(2), R Famiglieti(2), I Carboni Bisso(2),
AM Rivera(2), JE Mendez(3), E San Román(2)
(1) Universidad de Torono. (2) Hospital
Italiano de Buenos Aires. (3) Hospital Italiano de San Justo
Introducción: La debilidad diafragmática es frecuente en
las unidades de cuidados intensivos. Su presencia está relacionada a
dificultades en el destete, prolongación de la ventilación mecánica y aumento
de la mortalidad. La aplicación de alto flujo de oxígeno por cánula nasal ha
demostrado mejorar la oxigenación, aumentar la capacidad residual funcional y
disminuir el trabajo respiratorio. El uso de alto flujo de oxígeno por
traqueostomía (AFOT) podría disminuir el esfuerzo inspiratorio proporcionando
una adecuada actividad diafragmática. El objetivo principal del trabajo fue
evaluar el esfuerzo inspiratorio luego de la aplicación de alto flujo de
oxígeno por traqueostomía.
Pregunta de investigación: ¿La aplicación de AFOT disminuye el esfuerzo
inspiratorio en paciente traqueostomizados por weaning prolongado?
Método: Estudio fisiológico, randomizado, de tipo
cross over.
Metodología: Se evaluaron pacientes adultos que
requirieron traqueostomía por weaning prolongado, Se evaluó el grosor
diafragmático inspiratorio (Tdi), fracción de acortamiento (TFdi) y excursión
diafragmática (EXdi), Score de aireación pulmonar (LUS) y frecuencia
respiratoria (FR) en forma seriada (0, 30 y 60 minutos) durante dos periodos:
Ventilación espontánea a través de la traqueostomía (T-T) vs. aplicación de
alto flujo de oxígeno por traqueostomía (AFOT),
Resultado: La TFdi observado al final de la evaluación
del grupo AFOT fue de 0,29 vs 0,32 del grupo TT. Los cambios del TFdi (∆TFdi)
en el tiempo, demostraron una tendencia a disminuir en el grupo AFOT, en
comparación con el grupo TT, el cual tuvo una tendencia a aumentar. La FR, Exdi
y Score de LUS permanecieron sin cambios en ambos grupos.
Al evaluar los subgrupos Obesidad (IMC
>30) y debilidad muscular adquirida, se observó que la aplicación de AFOT es
más efectiva en disminuir el esfuerzo inspiratorio.
Conclusión: La aplicación de alto flujo de oxígeno por
traqueostomía presenta una tendencia a disminuir el esfuerzo inspiratorio,
sobre todo en pacientes con obesidad y debilidad muscular adquirida.
0026 Frecuencia de debilidad
adquirida en unidad de cuidados intensivos de un hospital privado de Buenos
Aires en pacientes sobrevivientes con ventilación mecánica invasiva por
SARS-COV-2
F Bianchini(1), M
Celano(1), JC Melero(1), G Plotnikow(1)
(1) Británico
Introducción: La infección por coronavirus (SARS-CoV-2)
conduce a un cuadro clínico, donde la respuesta inflamatoria tras la fase viral
puede afectar al pulmón, generando que miles de pacientes requieran períodos
prolongados de ventilación mecánica invasiva (VMI). Los sobrevivientes al
SARS-CoV-2 que requirieron VMI pueden cursar con debilidad adquirida en la
unidad de cuidados intensivos (DAUCI). El objetivo fue describir nuestra
población con requerimiento de VMI por SARS-CoV-2 que desarrollo DAUCI y su
evolución clínica.
Materiales y métodos: Caso y controles, con pacientes mayores de 18
años, con requerimiento de VMI por falla respiratoria aguda secundaria a
SARS-CoV-2 por más de 24 horas entre el 11 de diciembre del 2020 y el 31 de
marzo del 2021.
Se determino presencia de DAUCI evaluada por
la escala Medical Reserch Council (MRC). Se separaron en dos grupos (DAUCI vs
Sin DAUCI) evaluándose diferencias propias de cada grupo.
Quedamos eximidos del consentimiento
informado por el tipo de investigación retrospectiva. El estudio fue aprobado
por el comité de ética del Hospital Británico.
Resultados: Se analizaron 29 pacientes con una mediana de
edad de 64.5 años, 48.8% femenino, APACHE II de 14 y un Charlson de 3. De
estos, el 89.6% cursaron con DAUCI (Con un promedio de MRC de 32. Se
traqueostomizaron 17 pacientes, el 57.7% estaban dentro del grupo DAUCI y el
66.7% sin DAUCI, decanulandose el 73.3% y el 100% en dichos grupos. Las
derivaciones a Centros de Rehabilitación, fueron de 42.3% en el grupo DAUCI vs
0% en el grupo Sin DAUCI.
La disminución del MRC se asoció con el
tiempo de ventilación mecánica (p=0,0053) y de internación en UCI (p=0,0444).
Conclusión: Los pacientes con SARS-CoV-2 y VMI tuvieron
una mayor frecuencia de DAUCI, asociándose a un descenso de la puntuación de
MRC a medida que aumentan los días de ventilación mecánica.
0028 ULTRASONOGRAFÍA EN EL
DEPARTAMENTO DE EMERGENCIA Vs TOMOGRAFÍA COMPUTADA EN PACIENTES CON TRAUMA
TORACOABDOMINAL
E Raemdonck Van
Megrode(1), C Cura(1), C La Giglia(1), P Pahnke(1)
(1) Hospital Municipal de Urgencias
El manejo inicial del paciente traumatizado
es extremadamente difícil en los departamentos de emergencia, ya que requiere
decisiones rápidas en su valoración y tratamiento. El ultrasonido (US) es una
herramienta útil, oportuna y accesible para orientar el manejo del paciente con
trauma toraco-abdominal. Actualmente, el examen enfocado con ultrasonografía en
trauma extendido (eFAST) es fundamental en el cuidado de estos pacientes.
Objetivo: Determinar la precisión diagnóstica
(sensibilidad y especificidad) que poseen los residentes de Emergentología del
Hospital Municipal de Urgencias (HMU) en la realización de eFAST.
Diseño: Estudio prospectivo, descriptivo,
observacional.
Materiales y métodos: Incluyó a los pacientes ingresados al Shock
Room (SR) del HMU, periodo enero a marzo del 2021, a los cuales se realizó
protocolo eFAST y a posterior tomografía computada de tórax, abdomen y pelvis
con contraste endovenoso como estándar de referencia diagnóstica. Se analizo:
edad, sexo, mecanismo lesional, índice de gravedad de trauma (ISS), índice de
shock (IS), score de coma de Glasgow (GCS), presencia de: liquido libre
intraperitoneal (espacio hepatorrenal, espacio esplenorrenal y fondo saco de
Douglas); neumotórax; hemotórax; derrame pericárdico.
Las variables numéricas se expresan como
media +/- desviación estándar. Las variables categóricas se procesaron en Excel
2016 y analizadas con XLSTAT. El análisis estadístico se realizó con el método
porcentual, tabla de contingencia para cálculo de sensibilidad (S),
especificidad (E), valor predictivo positivo (VPP) y negativo (VPN),
significancia estadistica con test exacto de Fisher.
Resultados: Se realizaron 37 eFAST, se analizó el
conjunto de lesiones (neumotórax, hemotórax, derrame pericárdico y líquido
libre intraperitoneal) en el que se encontró una S 79%, E 89%, VPP 88%, VPN
80%, p <0,001. Analizando cada patología por separado: neumotórax S 77%, E
96%,VPP 91%, VPN 88%, p 0,0001; hemotórax, S63%, E97%, VPP 83%, VPN 90%, p
0,0007; liquido libre intraperitoneal S 75%, E 100%, VPP 100%, VPN del 97%, p
0,0005; derrame pericárdico pudimos estimar que el US tiene una alta E y VPN,
pero no realizar los cálculos por el bajo número de casos.
Conclusión: El uso de la
ultrasonografía en la evaluación de pacientes con traumatismos toracoabdominal
por médicos en formación que no son especialista en diagnostico por imagen,
dentro de un centro de trauma, es seguro y preciso. Se necesitan más estudios
para determinar la veracidad de estos resultados, aumentando el número de
pacientes evaluados y disminuyendo el riesgo de sesgo.

0029 UTILIZACIÓN DE OXIGENOTERAPIA
DE ALTO FLUJO EN PACIENTES CON NEUMONÍA GRAVE POR SARS-COV-2. ESTUDIO
OBSERVACIONAL
DA Rodriguez(1), P
Centeno(1), M Petre(1), L Sanabria(1), M Anchorena(1), X Benavente Mercado(1),
E Duarte(1), NB Leales(1), R Canelon(1), A Tarditti(1), N Martin(1), G
Valdivieso
(1) Hospital de Alta Complejidad del
Bicentenario de Esteban Echeverría.
Introducción: Los pacientes con neumonía por SARS-COV-2 que
requieren AVMi cursan con una elevada mortalidad. Al inicio de la pandemia
existían discrepancias sobre la utilización de estrategias no invasivas en esta
población. A pesar de ello, en numerosas instituciones se utilizó CNAF como
terapia de sostén ante IRAh.
Objetivo: Describir las características
clínico-demográficas, tasa de falla y mortalidad de pacientes con neumonía
grave por COVID-19 que utilizaron CNAF. Secundariamente comparar las variables
de resultado entre sobrevivientes y no sobrevivientes.
Materiales y Método: Estudio observacional y retrospectivo.
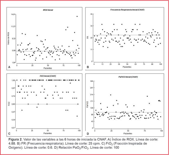
Resultados: Se incluyeron 100 pacientes cuyas
características clínico-demográficas se especifican en la tabla 1. La mediana
de días desde la FIS hasta el ingreso hospitalario fue de 10 (8-13) días. A las
6 horas de iniciada la CNAF el IROX fue de 4.85 (4.05-5.89), la frecuencia
respiratoria de 22 (19-26), la FiO2 de 0.95 (0.8-1) y la relación PaO2/FiO2 de
85 (72-100). El 38% de los pacientes no requirió AVMi, de estos el 53% tuvo un
IROX < 4.88. La mortalidad global fue del 51%. Se observaron diferencias
significativas en todas las variables secundarias entre los sobrevivientes que
tuvieron éxito con CNAF en comparación a los que requirieron AVMi.
Conclusión: Se describieron las características
clínico-demográficas de los pacientes. La tasa de falla fue del 62%. La
mortalidad global fue del 51%. Al comparar sobrevivientes versus no
sobrevivientes se encontró diferencia significativa en la edad y en todas las
variables de monitoreo de la CNAF hasta el día 7. El subanálisis de los
sobrevivientes arrojó diferencias significativas a favor de los que tuvieron
éxito con la CNAF en todas las variables secundarias: días de UTI, días de
internación, incidencia de DAUCI, incidencia de Delirium. Hasta nuestro
conocimiento es el primer estudio en describir la utilización de CNAF en
pacientes con COVID-19 severamente hipoxémicos.


0030 Encefalopatía séptica y su
relación con la hiperamonemia
M Casanova(1), B
Lattanzio(1), FJ Pálizas(1), BS Dorfman(1), CA Casabella García(1), FJ
Pálizas(1), IC Romero(2), G Palio(3), ND Falcon(1)
(1) Clínica Bazterrica. (2) Sanatorio Güemes.
(3) Clínica Santa Isabel
Introducción: La asociación entre hiperamonemia (HA) y
desarrollo de encefalopatía es conocida, sin embargo la HA de causa
extrahepática es infrecuente siendo la sepsis una posible causa. Nuestro
objetivo fue evaluar la incidencia y prevalencia de HA, encefalopatía séptica
(ES) y su relación en pacientes con sepsis de origen extraneurológico
internados en Terapia Intensiva (UTI).
Métodos: Estudio multicéntrico, prospectivo,
observacional de pacientes admitidos a UTI por sepsis y shock séptico
extraneurológico. Variables clínicas, demográficas y de laboratorio fueron
recolectadas al ingreso a UTI; se valoraron diariamente variables clínicas y de
laboratorio. El objetivo primario fue determinar la incidencia de HA en
pacientes con ES internados en UTI. Los pacientes completaron el seguimiento
hasta el alta de UTI o la muerte (lo que ocurriese antes). Los objetivos
secundarios fueron: prevalencia, incidencia y duración de HA en pacientes con ES
(con y sin HA), mortalidad en UTI e intrahospitalaria, asociación germen o foco
infeccioso con ES hiperamonémica.
Resultados:
entre el 01 de
junio de 2019 y el 31 de mayo de 2020 se incluyeron 49 pacientes de los cuales
se identificaron 9 (18,4%) casos con diagnóstico de HA. De estos últimos 3 (6%)
fueron al ingreso y 6 (13%) desarrollaron HA en su evolución. La mediana de
días desde la detección de la hiperamonemia hasta su normalización fue de 4
(RIQ 2 -6) días. Se identificaron 14 (28,6%) casos con ES; 13 (26,5%) pacientes
presentaron ES al ingreso. De los 36 restantes, un paciente desarrolló ES
durante la internación. La asociación entre ES y el foco infeccioso de sepsis
no resultó estadísticamente significativo (p=0.18).
Conclusión: Estos datos pueden ayudar a identificar en un
futuro elementos que contribuyan al desarrollo de HA y su vinculación con la ES
para mejorar el tratamiento y la evolución de los pacientes con sepsis.
0031 Evaluación del impacto
sobre los pacientes luego de la implementación de un protocolo de sedoanalgesia
en una unidad de cuidados intensivos pediátricos
P Taffarel(1), J
Widmer(1), A Fiore(1), AP Rodriguez(1), H Ramirez(1), C Meregalli(1), F Jorro
Barón(1)
(1) Pedro de Elizalde
Introducción: La adecuada sedación y analgesia es
fundamental en el manejo de pacientes que requieren asistencia ventilatoria
mecánica (AVM). Se recomienda la utilización de protocolos y su monitoreo,
siendo los resultados reportados sobre adhesión e impacto dispares.
Objetivos: Evaluar el impacto de la implementación de un
protocolo de sedoanalgesia sobre el uso de benzodiacepinas, opioides y
evolución en la unidad de cuidados intensivos pediátricos (UCIP) en pacientes
que requieren AVM mayor a 72 horas.
Método: Se realizó un estudio tipo antes-después, no
controlado, en la UCIP del Hospital General de Niños Pedro de Elizalde. Se
desarrolló en 2 etapas: preintervención (Abril-Septiembre 2019) de diagnóstico
situacional y postintervención (Octubre-2019 a Agosto-2021) de implementación
del protocolo de sedoanalgesia con educación sobre uso y monitorización.
Resultados: Se registraron 527 admisiones durante el
período estudiado, 52% requirió AVM. Se incluyeron 99 y 72 pacientes en las
etapas pre y postintervención respectivamente. El grupo postintervención
presentó menor edad, peso y gravedad (PIM III) al ingreso. Se evidenció una
disminución durante la etapa post-intervención en los días de AVM [6 (4; 8) vs
7 (5; 12); p=0,010], días de opioides en infusión continua [5 (3; 7) vs 5,5 (4;
10), p=0,012], días de benzodiazepinas en infusión continua [3 (0; 5) vs 5,5
(3; 10,5), p=0,001] y días totales de benzodiacepinas [5 (2; 6,5) vs 6,5 (3,5;
16,5), p=0,004]. Luego de ajustar por gravedad, edad y peso al ingreso,
persistieron las diferencias, agregando una menor estancia hospitalaria [16,5
(13-39,5) vs 18 (12-27), p=0,002].
Se observó una adherencia al protocolo del
94,4%. Se verificó síndrome de abstinencia en 12,5% de los pacientes en la
etapa postintervención.
Conclusión: La implementación de un protocolo de
sedoanalgesia permitió reducir el uso de fármacos en infusión continua y en su
duración total. Se observó una disminución en los días de AVM y estancia
hospitalaria.
0032 Mejora en la adherencia de
prácticas basadas en la evidencia luego de la implementación de una lista de
verificación electrónica en una unidad de cuidados intensivos pediátricos
P Taffarel(1), AP
Rodriguez(1), J Widmer(1), A Fiore(1), C Meregalli(1), F Jorro Barón(1)
(1) Pedro de Elizalde
Introducción: La adherencia a prácticas basadas en la
evidencia (PBE) permite una mejor gestión del proceso salud-enfermedad en
pacientes críticos, existiendo una estrecha relación entre su cumplimiento y la
calidad alcanzada.
Objetivos: Mejorar la adherencia a PBE y evaluar el impacto
sobre los indicadores de calidad de la atención, en pacientes internados en una
unidad de cuidados intensivos pediátricos (UCIP).
Métodos: Estudio tipo antes-después, no controlado,
desarrollado en la UCIP del Hospital General de Niños Pedro de Elizalde, que
involucró a todas las admisiones entre el 01/12/2019 al 31/08/2020. Se realizó
en 3 etapas: pre-intervención, evaluó la adherencia a las distintas PBE a ser
exploradas; intervención, se focalizó en educación, capacitación e
incorporación al pase diario de una lista de verificación (LV) de PBE en
formato electrónico; y post-intervención donde se observó la progresión de la
adherencia a las PBE y su impacto. La LV incluía 27 PBE, segmentadas en 10
áreas de mejoras. Se consideró adherencia si se cumplía el 80% de las PBE.
Resultados; Durante el período estudiado fueron admitidos
153 pacientes, no se encontraron diferencias en las características al ingreso
a UCIP entre los grupos pre-intervención y post-intervención.
Se observó un aumento del 23% (p<0,001) en
la adherencia a las PBE evaluadas en la etapa post-intervención. El mayor
descenso se verificó en la tasa de uso de asistencia ventilatoria mecánica
(AVM) (18%, p=0,033). En relación a los indicadores de calidad, se evidenció
una disminución de los episodios de neumonía asociada a AVM (p=0,002) e
infección asociada a sonda vesical (p=0,001). No hubo diferencias en la estadía
ni en la mortalidad en UCIP.
Conclusión: La implementación de una LV permitió aumentar
el cumplimiento de las PBE evaluadas; mostrando un descenso enla tasa de uso de
ARM y en la tasa de infección asociada a dispositivos.
0033 Nuevas perspectivas sobre
el momento oportuno para la realización de traqueostomía en pacientes con
COVID-19 críticamente enfermos: rol de la ventilación en presión soporte
JP Saullo(1), I
Carboni Bisso(1), CE Lockhart(1), I Fernandez Ceballos(1), J Cantos(1), IA
Huespe(1), M Las Heras(1)
(1) Hospital Italiano de Buenos Aires
Introducción: El momento óptimo para realizar una
traqueostomía (TQT) percutánea en pacientes con COVID -19 permanece en debate.
Nuestro objetivo es evaluar si realizar la traqueotomía en el momento que el
paciente inicia ventilación en modo presión de soporte (PSV) reduce los días de
ventilación mecánica.
Materiales y métodos: Estudio de cohorte retrospectivo, realizado
en la UCI del Hospital Italiano de Buenos Aires. Se incluyeron todos los
pacientes ventilados por COVID-19, a los cuales se les realizó TQT, entre el 21
de marzo de 2020 y el 6 de junio de 2021. El outcome principal fue días de
ventilación mecánica (VM). Se compararon los días de VM a través de un modelo
de regresión de Fine y Gray bivariado considerando la muerte como evento
competitivo. Se calcularon los Sub hazard Ratios (sHR) crudos y ajustados por
confundidores.
Resultados: En el periodo de estudio ingresaron 338
pacientes a UCI por COVID-19, 244 requirieron ventilación mecánica invasiva,
107 se sometieron a traqueotomía percutánea. Los pacientes que realizaron PSV
previo a la TQT tuvieron una mediana de 36 días de ventilación mecánica (IQR
30-46,8) y los pacientes que realizaron PSV posterior a la TQT 37 (IQR 30-46).
En el análisis Fine and Gray el sHR de pacientes que realizaron PSV posterior a
la TQT fue de 1.05 (95%CI 0.66-1.69) y ajustado por confundidores de 1.01(95%CI
0.43-2.36).
Conclusión: En pacientes con COVID-19 que requieren TQT,
hacer PSV antes de la misma, no modificó los días de VM.
0034 Cambios en el manejo
clínico y su impacto en pacientes no COVID internados en terapia intensiva
durante la pandemia
E Prado(1), I
Huespe(1), MA Marco(1), I Carboni Bisso(1), P Coria(1), N Gemelli(1), M Las
Heras(1), E San Roman(1)
(1) Hospital Italiano de Buenos Aires
Resumen: A raíz de la pandemia por COVID-19 y el
riesgo de contagio para el personal de salud se instauraron las siguientes
medidas: aislamiento geográfico, restricción de las visitas, restricción de las
medidas que produzcan aerosolización como utilización de cánula nasal de alto
flujo (CAF), ventilación no invasiva (VNI), lavado bronco (BAL).
Pregunta de investigación: ¿Los cambios en la atención médica por la
aplicación de los protocolos COVID-19 afectaron los resultados clínicos en
pacientes no COVID-19 durante la pandemia?
Materiales y métodos: Estudio observacional de cohorte
retrospectivo en la terapia intensiva de un centro de alta complejidad. Se
incluyeron pacientes con diagnóstico de insuficiencia respiratoria aguda
ingresados con hisopado negativo para COVID-19 desde marzo a abril del 2020 y
el mismo periodo del año 2019. Se compararon los resultados entre los 2 grupos.
Los outcomes a evaluar fueron mortalidad, soporte ventilatorio invasivo y no
invasivo, cantidad de tomografías, cantidad de lavados bronquioalveolares y
complicaciones en UCI.
Resultados: Observamos reducción en el uso de cánula
nasal de alto flujo 14 (42%) en 2019 comparado con 1 (3%) en 2020. Encontramos
un aumento significativo de pacientes intubados en el departamento de
emergencias (23 [69%] en 2020 y 11 [31%] en 2019). Sin embargo, el número de
pacientes con intubación orotraqueal después de 5 días en UCI fue similar en
ambos años (24 [69%] en 2019 y 26 [79%] en 2020).
Conclusiones: Los protocolos de la UCI para la pandemia han
producido un cambio en el manejo de los pacientes con insuficiencia
ventilatoria sin diagnóstico de COVID-19. Observamos una reducción en el uso de
CAF y un aumento en el número de intubaciones orotraqueales en el departamento
de emergencias al restringir el uso de métodos no invasivos. Sin embargo, no se
encontraron modificaciones en la proporción de pacientes intubados en UCI, ni
en días de ARM o estadía en UCI.
0035 Características clínicas y
resultados del soporte con membrana de circulación extracorpórea en pacientes
con COVID-19: Un estudio de cohorte nacional
C Lockhart(2), F
Palizas Jr(1), CA Casabella García(1), I Carboni Bisso(2), M Las Heras(2), D
Ivulich(3), A Matarrese(3), M Norese(1), LF Espinosa(4)
(1) Clínica Bazterrica. (2) Hospital Italiano
de Buenos Aires. (3) Hospital Aleman de Buenos Aires. (4) Clinica Pasteur
Introducción: Desde el comienzo de la pandemia de COVID-19,
el soporte de Oxigenación con Membrana de Circulación Extracorpórea (ECMO) se
ha propuesto como estrategia en el tratamiento del síndrome de dificultad respiratoria
aguda refractaria.
Objetivo: El objetivo de este proyecto observacional,
retrospectivo y multicéntrico fue evaluar las características de los pacientes
con soporte de ECMO y con COVID-19, como primer paso para la creación de un
Programa ECMO a nivel nacional.
Metodos: Se analizaron datos de pacientes adultos con
soporte de ECMO admitidos en los centros participantes. Se registró el tiempo
transcurrido desde el inicio de los síntomas hasta la colocación de ECMO, así
como también el tiempo desde la ventilación mecánica y la canulación, y las
características clínicas. Por último se evaluó la mortalidad, diferenciando a
los pacientes en sobrevivientes y no sobrevivientes.
Resultados: Se incluyeron 26 pacientes en el análisis. La
mortalidad durante ECMO fue del 42,3% (n = 11) y la hospitalaria global fue del
65,3% (n = 17). Se realizó ECMO móvil en 10 (38,5%) pacientes. El tiempo desde
el inicio de los síntomas hasta la colocación de ECMO fue de 14, 5 días (IQR
10, 7 - 21, 5); con diferencias estadísticamente significativas entre
sobrevivientes y no sobrevivientes (p = 0, 039). Los parámetros ventilatorios
también mostraron diferencias estadísticamente significativas al comparar los
dos grupos, antes del soporte con ECMO y en el día 3 post ECMO.
Conclusiones: En este estudio se proporcionó información
sobre pacientes que requirieron ECMO durante la primera ola de covid-19 en
Argentina.

0036 Epidemiología del proceso
de desvinculación de la ventilación mecánica invasiva en COVID-19. Estudio
observacional y multicéntrico
J Dorado(1), J
Dorado, E Navarro(2), G Plotnikow(3), E Gogniat(4), N Tiribelli(5), R
Gonzalez(6), R Pratto(7), P Gaggino(8), G Cardoso(1), J Sagardia(9), E
Steimberg(10), N Dargains(11), M Accoce(1)
(1) Sanatorio Anchorena San Martín. (2)
Centro del Parque. (3) Hospital Británico. (4) Sati. (5) Hospital Churruca Visca. (6) Hospital Fiorito. (7)
Sanatorio Anchorena Recoleta. (8) Sanatorio de los Arcos. (9) Hospital Nacional
Profesor Alejandro Posadas. (10) Sanatorio Colegiales. (11) Hospital San Juan
de Dios
Introducción: La pandemia por coronavirus (COVID-19) generó
un incremento en la demanda de ventilación mecánica (VM). Los pacientes con
síndrome de dificultad respiratoria grave por COVID-19 presentan
características distintivas (más días de VM y mayor mortalidad), sin embargo,
no existen reportes que describan los resultados en desvinculación de la VM.
Objetivo: Describir el proceso de desvinculación de la
VM y resultados clínicos de acuerdo a los tipos de weaning en pacientes con
COVID-19.
Materiales y métodos: Estudio multicéntrico, observacional,
analítico y prospectivo. Se incluyeron mayores de 18 años que requirieron VM
invasiva por COVID-19 del 1/4 al 30/8 de 2020. La desvinculación de la VM fue
clasificada por la definición de conferencia de consenso y por el estudio WIND.
En 8 UCIs de AMBA se incluyeron 326 sujetos.
El 47% no fueron expuestos a una prueba de despertar y el 52% no realizaron
pruebas de ventilación espontánea (PVE). Fueron extubados 128 pacientes, el 31%
fue reintubado y el 71% de estos no fue extubado nuevamente. El 65% no pudieron
ser clasificados por conferencia de consenso, mientras que la totalidad fue
estratificado por definición de WIND (Grupo 0=52%, grupo 1=28.5%, grupo 2=8% y
grupo 3=11.5%) (Tabla 1). Se hallaron diferencias significativas en la estadía
en VM (p<0.001) y UCI (p<0.001) entre grupos. La mortalidad se incrementa
conforme aumentan los días de VM luego de fallar una PVE (Figura 1).
Conclusión: La desvinculación de la VM se vio afectada
durante la pandemia, con un elevado número de pacientes que no realizaron una
PVE. Si bien variables temporales se vieron modificadas, los resultados
clínicos en cada grupo de destete fueron similares a lo reportado previamente.
Consideramos relevante jerarquizar el primer intento de desvinculación ya que a
partir de este la mortalidad se incrementa.


0037 Utilidad de la
tromboelastometria rotacional para la detección de hipercoagulabilidad en
pacientes internados en UCI por COVID-19
E Prado(1), I
Carboni Bisso(1), I Huespe(1), M Las Heras(1), M Garbarini(1), MS Lopez(1), L
Barrera(1), J Sinner(1), M Martinuzzo(1)
(1) Hospital Italiano de Buenos Aires.
Resumen: El estado de hipercoagulabilidad y consecuente
trombosis microvascular son algunos de los mecanismos fisiopatológicos que
generan hipoxemia severa en pacientes con diagnóstico de COVID-19. El uso de la
tromboelastometría rotacional (ROTEM) es una herramienta útil para evaluar
alteraciones de la coagulación.
Pregunta de investigación: ¿Puede la tromboelastometría rotacional
detectar estados de hipercoagulabilidad en pacientes con COVID-19 internados en
UCI?
Materiales y métodos: Se realizó un estudio de cohorte
observacional prospectivo desde agosto a noviembre del 2020. Se incluyeron
pacientes COVID-19 positivos. Se valoró el perfil de coagulación mediante
NaHEPTEM en los días 1 (T1), 5 (T5) y 10 (T10) de ingreso a UCI y se comparó
con voluntarios sanos (VS). También se evaluó el comportamiento del Dímero D y
los test habituales de coagulación.
Resultados: Se incluyeron 23 pacientes COVID-19 positivos
y 19 VS. El MCF fue significativamente mayor en pacientes COVID en T1 vs VS (64
[IQR 59-68] vs 56 [IQR 52-60], p<0.001) evidenciando un mayor aumento en T5
comparado con T1 (69 [IQR 64-70], p=0.011 compared to T1).
Los pacientes en ARM vs pacientes no
ventilados presentaron de forma significativa mayores niveles de fibrinógeno y
MaxV. Se evidencio a su vez que la presencia de un CFT< al percentil 25 o un
A5> al percentil 75 en T1 se asoció a requerimientos de ARM (75% en ARM vs
25% en no ARM [p=0.039]).
El tiempo de lisis fue significativamente
menor en T5 y T10 que en T1 pero de igual manera en pacientes en ARM que los no
ventilados.
Conclusión: El NaHEPTEM puede predecir estados de
hipercoagulabilidad en pacientes COVID-19 internados en UCI. Los parámetros de
coagulación se encuentran más alterados en pacientes con requerimiento de ARM.


0039 Toma de muestra
mínimamente invasiva postmortem en adultos hospitalizados con diagnóstico de
enfermedad por coronavirus (COVID-19)
A Martinez(1), P De
La Iglesia(1), S Segura(1), S Villarroel(1), M Garbarini(1), M Caballero(2), M
Las Heras(1)
(1) Italiano de Buenos Aires. (2) Fundación
Infant
Introducción: Comprender los posibles mecanismos de muerte
por COVID-19 es clave para planificar y diseñar estrategias terapéuticas.
La toma de muestra de tejidos mínimamente
invasiva (MITS), es una técnica validada que consiste en la toma de muestras
tisulares mediante punciones percutáneas postmortem para estudio
histopatológico y molecular. Esta técnica representa una alternativa poco
implementada en Argentina que permitiría evaluar el daño orgánico, y que puede
ser aplicada a cualquier patología.
Materiales y métodos: Estudio observacional, prospectivo en
pacientes fallecidos por SARS-CoV-2 en el Hospital Italiano de Buenos Aires
entre 02/09/2020 al 06/06/2021, con el objetivo de identificar daño en órgano
blanco, mediante la obtención de muestras a través de la técnica mínimamente
invasiva (MITS)
Resultados: Se incluyeron 22 pacientes, de los cuáles 17
consintieron ( tasa de aceptación 77,3 %), se obtuvieron 17/17 muestra
pulmonares, 17/17 tejido hepático, 16/17 tejido cerebral, 14/17 médula ósea.
Hallazgos más característicos en pulmón fue capilaritis 82%, daño alveolar
difuso en 76,5% y neumonía organizativa en 47%, en hígado fue congestión 94% y
se encontró 64% de hemofagocitos en médula ósea.
Conclusiones: MITS es una metodología con alto rédito de
material biológico para el diagnóstico de daño de órgano blanco. Es una técnica
sencilla, rápida, no mutilante, de bajo costo y altamente aceptada por los
familiares. Entre los hallazgos más característicos podemos mencionar que el
daño alveolar difuso fue el patrón más frecuente en el tejido pulmonar. El
depósito de fracción del complemento CD4 es focal en los pulmones, lo que
sugiere que el rol de inmunocomplejos es poco importante y que no es posible
atribuir la enfermedad por inmunocomplejos en las muertes por COVID 19. La
inflamación vascular estaba presente en el pulmón y en otros tejidos, ésta
última característica difiere de otras etiologías virales respiratorias.
0040 Mortalidad y
Traumatismo de Craneo en un Hospital Publico de la
Provincia de Salta en el Periodo 2019-2021
AN Vides(1), A
Sanchez(2), N Saragusti(2), M Cordero(2)
(1) San Bernardo. (2) Hospital San Bernardo
Introducción: Muchos pacientes con TEC ingresan a UTI con
pobres resultados. Existen discrepancias relacionadas con el valor predictivo
que algunos factores clínicos y demográficos tienen en torno a la evolución de
estos pacientes. La fuerza de la evidencia de las recomendaciones publicadas
actualmente son insuficientes para su uso en nuestro medio.
Método: Se trata de un trabajo retrospectivo,
observacional. Se incluyeron pacientes con diagnóstico de TEC que ingresaron al
Servicio de Terapia Intensiva del Hospital San Bernardo de La Ciudad de Salta
Capital entre el 1 de enero de 2019 al 30 de junio de 2020. En base a historias
clínicas físicas se analizaron las siguientes variables: edad y sexo; Marshall
al ingreso hospitalario; Intervención quirúrgica al ingreso a UTI, Sensor de
PIC, HTE, tratamiento de HTE, días de VM, días de estadía en UTI, traqueostomía,
infecciones adquiridas en UTI.
Se realizó tabla analizada por contraste de
datos en función de mortalidad intrahospitalaria, con el objetivo de encontrar
cuál fue la causa o el factor pronóstico que mayor incidencia tiene sobre la
mortalidad en el TEC que requiere ingreso a UTI.
Resultados: La muestra final fue de n=113 , la mayoría
fueron hombres (85,8%). La edad media fue de 37,6 años. El 63,3% tuvo Marshall
tipo II. El 92,9% requirió intervención quirúrgica. La media del tiempo de VM
fue de 9,4 días. La media de estadía en UTI fue 12 dias. El 22,1% requirió
traqueostomía. El 54,9% presentó infecciones, el 96,8% fue NAVM. La mortalidad
intrahospitalaria fue del 6.2%.
Conclusiones: Al correlacionar los grupos de óbitos vs
alta, se halló una diferencia estadísticamente significativa en cuanto a
Marshall de ingreso hospitalario (Marshall IV 29% vs 2% - P 0.005), e
hipertensión endocraneana refractaria (43% vs 11% - P 0.017) a favor del grupo
obitos, como así también una tendencia en las variables de estadía hospitalaria
y días de VM, sin significancia estadística.
0041 PREVALENCIA DE TRAUMATISMO
CRANEO ENCEFALICO EN EL HOSPITAL SAN BERNARDO DURANTE EL PERÍODO DE ENERO 2019
A ENERO 2020
NS Llanes(1), RR
Reinoso(1)
(1) San Bernardo
Introducción: El traumatismo cráneo encefálico (TCE)
constituye uno de los principales motivos de ingreso hospitalario en nuestro
país. Se cree que la causa primordial es el accidente automovilístico, sobre
todo donde se ve involucrado el uso de motocicleta sin casco. Sin embargo se
desconoce exactamente la prevalencia de TCE que requiere internación en la
unidad de cuidados críticos en nuestro medio.
Objetivos: Conocer la prevalencia de TCE con
requerimiento de UTI en el Hospital San Bernardo, nosocomio de referencia de
traumatismo de la región, durante el periodo de enero de 2019 y enero de 2020.
Así también, determinar su principal causa, el perfil epidemiológico de
presentación y estudiar las correlaciones entre forma de presentación,
gravedad, tipos de lesiones y cirugías mas frecuentes.
Materiales y métodos: Se ha realizado un estudio retrospectivo,
cuantitativo, observacional a partir de datos registrados en las historias
clínicas de pacientes que presentaron internación en UTI por TCE en el periodo
enero 2019-enero 2020. Con un N=98, se incluyeron a todos los pacientes adultos
(mayores de 16 años) que hayan presentado TCE, alteración de la conciencia
asociado a TCE y politraumatismo con pérdida de la conciencia.
Conclusión: La principal causa de TCE se debe a
accidentes en moto sin casco. El lóbulo frontal y lóbulo temporal, por su
característica y ubicación anatómica son los lugares donde predominan las
lesiones por dicho mecanismo.
Al correlacionar la clasificación GCS con el
Score de Marshall se observó que en TCE leve, se asoció con Marshall Tipo I, en
el TCE moderado y severo se asociaron en gran porcentaje a Marshall tipo II,
con requerimiento de conducta quirúrgica en donde predominó la Craniectomía
descompresiva con colocación de sensor de PIC para el monitoreo post quirúrgico
del paciente.
0042 Experiencia COVID-19 en
embarazo 2020-2021 en la Terapia Intensiva del Sanatorio Antártida
K Cisneros(1), L
Franconieri(1), E Porjolowsky(1), A Tristaino(1), C Moreno(1), J Romero(1), P
Lucero(1), D Lafosse(1), B Castro(1), P Cordero(1), L Pero(1), M Junco(1), N
Perez(1), J Herrera(1), G Llarul(1), J Ochoa(1)
(1) Sanatorio Antartida
Introducción: La nueva infección por SARS-Cov-2 fue
causante de afecciones respiratorias severas. El grupo vulnerable y de alto
riesgo son las mujeres gestantes siendo un gran desafío en el abordaje y toma
de decisiones con este grupo de pacientes.
Pregunta de investigación: Impactó la infección por SARS-Cov-2 en las
pacientes gestantes durante abril de 2020 a agosto de 2021 en las pacientes
internadas en Sanatorio Antártida procedentes del AMBA
Objetivos: Describir la mortalidad, complicaciones
maternas y fetales en pacientes gestantes con diagnóstico de infección por
SARS-Cov-2 durante el periodo de internación en la Unidad de Cuidados
Intensivos.
Materiales y Métodos: Pacientes gestantes con diagnóstico positivo
de SARS-COv-2 durante los periodos de Abril 2020 hasta Agosto 2021 inclusive
internados en el servicio de cuidados intensivos de hospitales del AMBA, manifestaciones
clínica, complicaciones maternas, intrauterinas, fetales, mortalidad materna,
mortalidad fetal y transmisión vertical de SARS-COv-2.
Criterios de inclusión: Pacientes gestantes con diagnóstico positivo
de SARS-COv-2 por testeo reacción en cadena de polimerasa (PCR) positivo
durante los periodos de Abril 2020 hasta Agosto 2021 inclusive internados en el
servicio de cuidados intensivos en AMBA.
Resultados: Un total de 19 (2,57%) pacientes admitidos en
el servicio de cuidados intensivos con curso de tercer trimestre de gestación,
con una edad media de 30.2 años, con grupo sanguíneo O positivo 73.68%, índice
de masa corporal (IMC) >30 59.89%, vacunación contra SARS-COv-2 10.53%.
Requerimiento de asistencia ventilatoria
mecánica invasiva (AVM) (VM 52,63%), Mortalidad materna 10%.
Promedio edad gestacional 31 semanas
Finalización del embarazo: cesárea 63%, parto vaginal 47%. Transmisión vertical
5%.Shock séptico 26,32%, Durante el estudio no se reportaron muertes
intrauterinas ni fetales.
0043 Movilización temprana en
pacientes con soporte ventilatorio en terapia intensiva pediátrica
J Simonassi(1), MT
Canzobre(1)
(1) de Pediatría Juan P. Garrahan
Introducción: La movilización temprana (MT) es una
actividad poco implementada en las unidades de cuidados intensivos pediátricos
(UCIP) de Latinoamérica y el requerimiento de soporte ventilatorio es una de
las barreras más frecuentes para su implementación.
Objetivo: Describir la población que recibió
movilización temprana y el tiempo de inicio de la misma, en los pacientes que
requirieron soporte ventilatorio.
Métodos: Estudio descriptivo, retrospectivo y
observacional, llevado a cabo en una UCIP del Hospital Nacional de Pediatría
Juan P. Garrahan. Se incluyeron todos los pacientes menores de 18 años que
requirieron ventilación mecánica invasiva y/o no invasiva durante al menos 24hs
en el período comprendido entre el 1 de julio y el 31 de diciembre de 2019.
Resultados: Se analizaron 196 sujetos, 104 (53.1%) de
género masculino, con una mediana de edad de 29 (RIQ 7 – 99,5) meses, 13,4 (RIQ
6,2-25) kilos de peso y un PIM 3 de 1% (0,6 - 3). Más de la mitad de la
población presentaba una condición crónica compleja (CCC) al ingreso y el 40%
un déficit cognitivo/funcional. La mediana de internación en UCIP fue de 8
(5-14) días. Con respecto al soporte ventilatorio, 124 (63,3%) sujetos
recibieron VMI y 72 (37,7%) VMNI. Ciento cuarenta y tres (73%) sujetos
recibieron MT durante su estadía en UCIP y la mediana de inicio de movilidad
fue el día 3 (2-5). Los pacientes que recibieron MT fueron de mayor edad, mayor
peso, más graves según PIM3 y tuvieron mayor tiempo de internación en UCIP. Al
ingreso a la UCIP el 60% tenía una CCC y el 38,5% un déficit
cognitivo/funcional, según el score PCPC/POPC.
Conclusiones: Es frecuente que los pacientes más graves, de
mayor edad y estadía más larga en UCIP reciban MT, sin embargo, esta actividad
podría iniciarse más tempranamente.
0044 Importancia del
ultrasonido en el proceso de formación del intensivista: accesos venosos
centrales
F Mihoff(1), M
Coria(1), M Bernadó(1), G Báscolo(1), L Leguiza(1)
(1) Higa
Dr. Oscar Alende
Introducción: La colocación de accesos venosos centrales es
una práctica frecuente en cuidados intensivos. Los pacientes ingresados a
unidades críticas tienen patologías complejas que hacen de dicho procedimiento
un verdadero desafío.
Hipótesis: El ultrasonido, en la colocación de vías
venosas centrales, permite: elegir el sitio más adecuado de punción, visualizar
el ingreso del alambre guía en el vaso, controlar el correcto posicionamiento
del catéter y detectar complicaciones.
Materiales y Métodos: Tres residentes de 2do, 3ro y 4to año de
cuidados intensivos, formados en ecografía básica y colocación de accesos venosos
centrales por reparos anatómicos, fueron entrenados en el procedimiento con
guía ecográfica.
Se monitorizaron durante 6 meses.
Se utilizó un ecógrafo Sonosite Micromax con
sonda lineal de 7-10 MHz.
Los resultados fueron analizados con el paquete
informático EPI INFO 2020 versión 7.2.4.0.
Resultados: Durante el periodo analizado se registraron
124 procedimientos, las indicaciones fueron:
33% necesidad de vasoactivos, 29% rotación de
catéter, 13% NPT, 7% ausencia de acceso periférico.
La localización fue: 62% subclavios, 34%
yugulares y 4% femorales. El 65% se hicieron con técnica fuera de plano y el
43% en plano, en más del 94% se realizó el protocolo ecográfico completo de
colocación.
El 88% de los procedimientos fueron exitosos.
La tasa de complicaciones mecánicas fue del
11% (n =14): 4.8% (6) neumotórax, 3.2 % (4) punción arterial y 3.2% (4)
posición incorrecta.
No hubo diferencias significativas entre
operadores respecto a la tasa de éxito y complicaciones.
Conclusiones: Observamos una alta tasa de éxito en los
procedimientos realizados. El número de complicaciones mecánicas fue bajo,
considerando que la mayoría de los accesos fueron subclavios y realizados en su
totalidad por residentes.
El uso y entrenamiento en ultrasonido debe
ser introducido precozmente en los programas de formación en terapia intensiva.
0045 SARS-COV-2 Oxigenoterapia
de alto flujo y su impacto en los ingresos a UTI
LB Polliotto(1), C
Peñafort(1), C Ciallella(1), MDV Mejibar(1)
(1) Descentralizado Dr Guillermo Rawson.
Resumen: En los últimos meses se ha registrado un
incremento en la cantidad de ingresos de pacientes adultos con insuficiencia
respiratoria secundaria a SARS-CoV-2 requiriendo internación y ventilación
mecánica en terapia intensiva. Esta situación produjo una aceleración en la
implementación de equipos de soporte ventilatorio invasivo y no invasivo. Los
objetivos del estudio fueron analizar si la oxigenoterapia de alto flujo podría
ser una alternativa terapéutica para disminuir los ingresos a terapia
intensiva.
Materiales y métodos: Estudio observacional, descriptivo y
retrospectivo de 160 adultos ingresados a clínica médica, con coronavirus, en
el período de nov 2020 a febrero 2021. Se incluyeron > de 18 años con SARS-CoV-2.
Se excluyeron los que requerían IOT urgente. Se realizó un análisis estadístico
descriptivo y predictivo sobre los datos registrados en relación a la terapia y
su repercusión en los ingresos a UTI.
Resultados: De los 160 pacientes internados, 73 (45 %)
fueron tratados con oxigenoterapia de alto flujo, de los cuáles 48 (66%)
tuvieron éxito. La Sa/FiO2 se mantuvo en valores mayores a 200 en el 85,4% de
los casos. La frecuencia respiratoria disminuyó después de 1-2 horas con una
mediana de 22 r/min en el grupo de éxito, no evidenciando el mismo
comportamiento en el grupo de fracaso. El índice de Rox al inicio fue de 5,63
y, a las 2 horas de 6,35. La curva de casos acumulados en los ingresos a
terapia intensiva presentó una variación decreciente a partir de la semana en
que comenzó la implementación del alto flujo.
Conclusiones: La Oxigenoterapia de alto flujo iniciada
tempranamente, evidenció beneficios relacionados a la reducción de ingresos a
Unidad de Terapia Intensiva.
Palabras claves: soporte ventilatorio no invasivo,
oxigenoterapia, cánula nasal de alto flujo, insuficiencia respiratoria aguda,
COVID-19.
0046 Decanulación en pacientes
traqueostomizados. Estudio exploratorio retrospectivo
M Loustau, V
Acevedo(1), F Bianchini(1), E Di Salvo(1), R Domínguez(1), JC Melero(1), M
Celano(1), M Del Bono(1), I Brozzi(1), G Plotnikow(1)
(1) Británico
Introducción: La traqueostomía se ha convertido en una
práctica habitual en las unidades de terapia intensiva. Alcanzar la desvinculación
de la ventilación mecánica (VM) y la decanulación disminuye la mortalidad y los
días de internación, mejorando la calidad de vida de cada paciente posterior al
alta.
Objetivo: Describir a la población de pacientes
traqueostomizados por ventilación mecánica prolongada (VMP), y analizar
factores asociados a la decanulación.
Estudio observacional, retrospectivo,
descriptivo. Se incluyeron todos los pacientes mayores de 18 años que
requirieron traqueostomía por VMP internados en la UTI del Hospital Británico
de Buenos Aires.
Resultados: Se analizaron datos de 22 pacientes
traqueostomizados, en su mayoría hombres con un promedio de edad de 67 años,
cuyo principal motivo de ingreso al hospital fue por causa neurológica. La
mediana de días de VM a la traqueostomía fue de 12 (10-17). Se decanuló al 50%
de los pacientes en una mediana de 23 días (RIQ: 13-40) desde la desvinculación
de la VM. La media de edad (p=0.0485) y el APACHE II (p=0,0005) fueron
significativamente mayor en los pacientes no decanulados. Se decanularon
significativamente menos pacientes con motivo de ingreso neurológico (p=0.022).
El 72% de los pacientes decanulados alcanzó el alta domiciliaria con una
mediana de días de internación significativamente mayor con respecto al grupo no
decanulado (p=0.01) (Tabla 1).
Conclusiones: La decanulación es un procedimiento factible
en un considerable número de pacientes durante su internación. La misma
requiere considerar múltiples variables que contribuyen a que el paciente logre
el objetivo, y representa un evento importante en la rehabilitación de los
pacientes críticamente enfermos ya que condiciona el destino del paciente al
alta.


0047 Pacientes obstétricas
críticas con COVID-19, cohorte prospectiva observacional
M Montenegro(1), S
Galcerán(1), P Okurzaty(1)
(1) Hospital Materno Infantil Ramón Sardá
Introducción: La información sobre pacientes obstétricas
críticas con COVID-19 es escasa.Nuestro objetivo es describir las
características principales de las pacientes obstétricas críticas afectadas por
COVID-19.
Material y métodos: Estudio prospectivo y observacional en el que
se incluyeron todas las pacientes con PCR positiva para COVID-19 ingresadas a
la Unidad de Cuidados Críticos Obstétricos de un Hospital Materno Infantil de
la CABA,desde el 01/04/2020 hasta el 30/09/2021.
Resultados: Se reclutaron 44 pacientes. La media de edad
fue de 30,9.Esta resultó menor en los casos leves que en los moderados-severos,
sin alcanzar significancia estadística (28,7 vs 31,8 años; p0,174).
La edad gestacional media al ingreso fue de
27 semanas en cuadros leves y de 30,7 para los cuadros moderados-severos,
aunque esta diferencia no alcanzo significancia estadística (p0,4).
Treinta y cuatro pacientes (77,2%) ingresaron
embarazadas y 10 (22,7%) cursando el puerperio.Trece(29,5%)tuvieron enfermedad
leve, 20 (45,4%) cuadros moderados y 11 (25%) cuadros severos con requerimiento
de AVM. Entre estas últimas, 7(63%) fueron pronadas al menos una vez y 2
requirieron traqueostomía.
De las 34 embarazadas,en 16 casos (47%) se
finalizó la gestación durante su internación en la Unidad. De estas, sólo 7
cesáreas (20% de las embarazadas) se realizaron por deterioro ventilatorio
progresivo,todas gestaciones mayores a 34 semanas. Nueve embarazos (26%) se
finalizaron por causa fetal o enfermedad preeclámptica. El resto (18 pacientes,
53% del total de embarazadas), continuaron su gestación tras su internación en
UTI,incluyendo 4 pacientes que fueron pronadas y una traqueostomizada. (Figura-1)
La edad gestacional promedio al ingreso de
las que continuaron el embarazo fue de 27,5 semanas,mientras que la de las que
se finalizaron fue de 33,2. Esta diferencia resultó estadísticamente
significativa (p0,02) (Figura-2)
La mediana de score APACHE II al ingreso fue
de 3,aunque resultó de 1,5 en pacientes leves y de 5 en pacientes con
enfermedad moderada-severa(p0,049).Se registraron 2 muertes maternas por
hipoxemia refractaria(4%del total y 18%de los cuadros severos):una puérpera de
cesárea de término y una embarazada de 23 semanas.
La media global de días de internación en UTI
fue de 10,8 días, extendiéndose a 13,6 días al considerar sólo los casos
moderados-severos y 26,8 días para los casos severos exclusivamente.
Conclusiones: La mayor parte de los embarazos pudieron
continuarse a pesar de la severidad de los cuadros maternos,incluso durante el
decúbito prono.Los embarazos que se finalizaron fueron cercanos al término, y
en su mayoría por patología materna distinta al COVID-19 o por alteraciones fetales.


0048 VALIDACIÓN DEL SCORE PIM3
EN UNA POBLACIÓN DE INMUNOSUPRIMIDOS PEDIÁTRICOS DE ARGENTINA
M Herrera(1), MP
Arias López(2), F Suarez(1), ML Flores Tonfi(1), ME Galván(1), D Buamscha(1),
AL Fernández(3), A Siaba Serrate(4), A Fernández(5), K Cinquegranni(6), Alta Complejidad En Red, C Meregalli(8), ME
Ratto(9), GDT Validarpim3 Pediátrico
(1) Hospital de Pediatría “Dr. Juan P.
Garrahan”. (2) Hospital de Niños Ricardo Gutiérrez. (3) Sociedad Argentina de
Terapia Intensiva. (4) Hospital Universitario Austral. (5) Hospital General de
Agudos “Carlos G. Durand. (6) Hospital El Cruce Dr. Néstor Carlos Kirchner.
(7) Alta Complejidad en Red. (8)
Hospital General de Niños Pedro de Elizalde. (9) Hospital de Niños Sor María
Ludovica
Introducción: El “case mix” de pacientes ingresados en las
unidades de cuidados intensivos pediátricos (UCIP) es un factor fundamental al
evaluar el desempeño de los puntajes de predicción de riesgo de mortalidad. El
índice pediátrico de mortalidad PIM3 es el puntaje más usado con este fin en
las UCIP de Argentina ya que ha sido validado en el país. Si bien PIM3 tiene en
cuenta algunas comorbilidades en la predicción de mortalidad, no incluye al
amplio espectro de inmunosuprimidos admitidos en UCIP. El objetivo de este
estudio fue evaluar el desempeño de PIM3 en esta población, considerando que su
necesidad de cuidados críticos es cada vez más frecuente y remarcando la
importancia de disponer de un puntaje adecuado para evaluar su pronóstico.
Material y métodos: Multicéntrico, observacional, retrospectivo.
Análisis secundario de Registro SATI-Q y base de datos UCI72 Hospital JP
Garrahan. Población: pacientes ingresados en las UCIP participantes entre el
1-1-2018 y 31-12-2019. Edad 1 mes a 16 años, con condición de inmunosupresión
de acuerdo a CIE-9. Se evaluó el desempeño del PIM3 analizando su capacidad de
discriminación (área bajo la curva ROC (AUCROC; IC95%) y calibración (test de
Hosmer-Lemeshow, HL) en dicha población y se realizó análisis de subgrupos (etario,
enfermedad de base y motivo de ingreso). Se consideró estadísticamente
significativo p<0,05.
Resultados: Se analizaron 1256 pacientes; el 39,4%
presentó enfermedad oncohematológica. Los principales motivos de ingreso fueron
monitoreo postquirúrgico (30,4%) y sepsis (24,4%). El 53,6% requirió
ventilación mecánica. La mortalidad observada fue 15,8%(198/1256) mientras que
la estimada por PIM3 10%(126/1256) siendo la Tasa de Mortalidad Estandarizada
1,57 ( IC95% 1,36-1,80;p >0,001). La discriminación del puntaje fue adecuada
(AUC-ROC: 0,77(0,74-0,8)). Sin embargo la calibración mostró diferencias
estadísticamente significativas en la población general y subgrupos analizados
(Test de HL X2=198,66, df=8-p<0,001).
Conclusión: PIM3 presentó un aceptable desempeño en la
población analizada. Si bien en el grupo general la capacidad de discriminación
para pronosticar mortalidad fue adecuada, se observó mayor mortalidad que la
esperada por el puntaje en todos los subgrupos analizados. Puede considerarse
una herramienta útil para objetivar la gravedad de estos pacientes y evaluar la
calidad del tratamiento brindado en UCIP.
0050 Características clínicas
de los pacientes con COVID-19 en la unidad de cuidados intensivos
M Hornos(1), MB
Buscaglia(2), V Richter(2), I Huespe(1), I Carboni Bisso(1), M Las Heras(1)
(1) Hospital Italiano de Buenos Aires. (2)
Instituto Universitario del Hospital Italiano.
Introducción: La enfermedad por coronavirus (COVID-19)
afecta principalmente al sistema respiratorio, sin embargo en un grupo
específico de pacientes se manifiesta como una enfermedad sistémica. La tarea
de recolección, sistematización y difusión de las características de los
pacientes con COVID-19 en la unidad de cuidados críticos (UCI) resulta de suma
relevancia para el futuro.
El objetivo de este estudio fue describir las
características clínicas y resultados de los pacientes con COVID-19 crítico.
Métodos: Estudio observacional, retrospectivo y
unicéntrico. Se incluyeron datos de pacientes adultos con COVID-19 confirmado
por laboratorio, hospitalizados en la UCI, entre marzo de 2020 y julio de 2021.
Resultados: Durante el período de estudio, 439 pacientes
fueron ingresados a UCI. El 69% (299) de sexo masculino, mediana de edad de 65
años (RIC 56-75). La mediana de APACHE II al ingreso fue de 10 (RIC 7-15) y
SOFA 3 (RIC 2-5). Las comorbilidades más frecuentes fueron hipertensión
arterial 53% (234), seguida de obesidad en el 41% (180) y diabetes, 19% (84).
El 78% (341) requirió ventilación mecánica
invasiva, y entre ellos el 43% (146) recibió ventilación en decúbito prono. El
8% (27) recibió óxido nítrico inhalado, y el 8% (28) requirió oxigenación por
membrana extracorpórea.
La mediana de días en UCI fue de 15 (RIC
7-31), y la estadía hospitalaria 24 días (RIC 14-42). El 6% (27) de los
pacientes ingresados a UCI, tuvieron al menos una dosis de vacunación, pero
solo el 0,5% (2) presentaron el esquema completo.
La mortalidad a los 30 días fue 28% (124),
con una mortalidad hospitalaria de 39% (171).
Conclusión: El conocimiento de las características
clínicas de pacientes críticos por COVID-19 nos permite definir estrategias
diagnósticas y terapéuticas, posicionarnos ante familiares y definir normas
hospitalarias en relación a la pandemia y la limitación de recursos humanos y
económicos.


0051 MANEJO INICIAL DE LA
BRONQUIOLITIS AGUDA GRAVE EN UN HOSPITAL DE REFERENCIA, CORRESPONDIENTE AL
PERIODO ENERO 2019 A JUNIO 2019
CM Mareco Herrero(1)
(1) Hc-ips.
Introduccion: La bronquiolitis aguda se define como el
primer cuadro de tos y sibilancia en un lactante menor de 24 meses de edad. Es
una infección viral de la vía respiratoria inferior que produce aumento de la
producción de mucus cuyo diagnóstico se basa principalmente en la clinica.
Actualmente, no existen elementos complementarios que confirmen la entidad ni
tratamiento específico, por lo que se han propuesto varios protocolos, sin
validacion suficiente hasta la fecha.
Pregunta de investigacion: ¿Cuáles son los recursos diagnosticos y terapeuticos
mas utilizado para el manejo inicial de bronquiolitis aguda grave en un
hospital de referencia, correspondiente al pediodo enero 2019 a junio 2019?
Metodo y metodologia: Estudio observacional, de corte transversal,
se recogen datos de fichas electronicas de pacientes entre 1 mes a 24 meses,
donde incluirán factores de riesgo e indice preditor de asma (ipa), los
complementos laboratoriales-imagenologicos y tratamiento inicial de los
pacientes ingresados con diagnostico inicial de bronquiolitis aguda grave.
Resultados: Se estudiaron 33 pacientes, el 66% (22) eran
de 1 a 2 meses de edad, el 70% (23) era del sexo masculino. El 81% (27)
presentó algún factor de riesgo de gravedad, siendo los más frecuentes:
prematuridad en 30 pacientes (91%), edad < 3 meses en 26 (78%) y apnea en 23
pacientes (70%). A todos se les realizo radiografia y hemograma. Todos
recibieron esquemas de nebulización, entre los más utilizados: la combinación
de adrenalina con suero hipertónico en 10 pacientes (33%) y salbutamol con
suero hipertónico en 8 pacientes (24%); otros tratamientos: corticoterapia y
antibioticoterapia.
Conclusion: El manejo inicial de la patologia en
cuestion, hasta la fecha, se ha caracterizado por incluir examenes auxiliares y
tratamiento “medicamentoso” sin evidencia solida que lo justifique, situacion
que nos incita a utilizar los recursos diagnosticos y terapeuticos de forma mas
razonable.
0052 CNAFO como estrategia
ventilatoria en la insuficiencia respiratoria por COVID-19. Experiencia de la
terapia intensiva del Sanatorio Antártida
MC Moreno(1), P
Lucero(1), JM Romero Alvarez(1), E Porjolovsky(1), L Franconieri(1)
(1) Sanatorio Antartida
Introducción: La pandemia por SARS-COV-2 ha resultado en
una presión sin precedentes sobre los sistemas de salud del mundo, aumentado la
demanda de camas y los requerimientos de soporte respiratorio. Demostrando la
importancia que conlleva la precisión del abordaje clínico del paciente cuando
se trata de decidir cuál soporte respiratorio requiere. Las alternativas de
soporte respiratorio no invasivas como la ventilación mecánica no invasiva
(VNI) o la cánula nasal de alto flujo de oxígeno (CNAFO) presentan una mayor
capacidad para responder mejor a la demanda inspiratoria de los pacientes con
insuficiencia respiratoria hipoxémica.
Pregunta de investigación: ¿CNAFO es una opción terapéutica beneficiosa
para los pacientes adultos en UTI que requieren asistencia respiratoria por
enfermedad por SarsCoV-2, disminuyendo la mortalidad y la necesidad de
ventilación mecánica (VM)?
Método y metodología: Estudio observacional retrospectivo, incluyó
41 pacientes adultos, en UTI entre abril y julio de 2021 con diagnóstico de
neumonía grave por SarsCoV-2 que requirieron terapia con CNAFO. Se utilizaron
como score de severidad APACHEII y SAPS II y se analizó tiempo de tratamiento
con CNAFO, requerimiento de VM, mortalidad global y mortalidad en VM. Se
excluyeron 3 pacientes que usaron CNAFO previo a la internación en nuestro
centro.
Resultados: 41 pacientes adultos, edad promedio 50,8
años, sexo masculino 34 (82.9%), media APACHE II 7, SAPS II 35, SOFA 4,
IMC>30 19(46.3%), HTA 14 (34.1%), DBT 10 (24.3%), TBQ 5 (12%), vacunados
para COVID-19 6 (14%), FIS hasta inicio de CNAFO 6-11dias, tiempo promedio de
CNAFO 24hs, prono vigil 26 (63%), IOT 24 (58.5%), SDRA severo 13 (54%),
mortalidad VM 12 (50%), mortalidad global 13 (31,7%)
Conclusión: En pacientes adultos con neumonías graves por
sarsCoV-2, CNAFO demostró no ser una opción terapéutica beneficiosa,
requiriendo VM en más de la mitad de los enfermos aumentando mortalidad de
éstos que llegan a la VM.
0053 VENTILACION MECANICA
INVASIVA EN PRONO EN PACIENTES CON SINDROME DE DIFICULTAD RESPIRATORIA AGUDA,
MORTALIDAD, ANALISIS DE FACTORES DE RIESGO EN PACIENTES CON COVID-19
B Castro(1), L
Franconieri(1), D Lafosse(1), J Herrera(1), L Pero(1), C Moreno(1), G
Llarul(1), J Ochoa(1), A Tristaino(1), K Cisneros(1), P Cordero(1), J
Romero(1), M Junco(1), N Perez(1), V Cariman(1), P Lucero(1), E Porjolosky(1)
(1) Sanatorio Antartida
El 10 al 15% de los pacientes con Covid-19 evolucionan a enfermedad
grave, presentando insuficiencia respiratoria, requiriendo el ingreso a la
unidad de cuidados intensivos (UCI) y ventilación mecánica invasiva (VMI). Se
ha llevado a cabo diversas terapéuticas una de ellas es la posición en decúbito
prono (DP), utilizada para mejorar los niveles de oxigenación en pacientes con
síndrome de dificultad respiratoria aguda (SDRA).
Nuestro objetivo es describir los factores
demográficos, antecedentes, comorbilidades y mortalidad relacionados con el DP
en pacientes con SDRA covid-19.
Se realizó un estudio descriptivo,
observacional en mayores de 18 años, que ingresaron a UCI del Sanatorio
Antártida, con covid19 más SDRA que requirieron DP desde marzo 2020 hasta julio
2021.
Ingresaron a la UCI 739 pacientes, con
diagnóstico de Insuficiencia Respiratoria aguda por Covid19, Con una mortalidad
total de 36.5% (N270).
487 pacientes requirieron AVM, el 72% se
realizó DP, con una mortalidad del 56%, el 54% solo realizaron 1 y 2 ciclos.
Los pacientes que no realizo DP fue el 28%.
De 321 pacientes hipertensos, el 49% requirió
DP, mayor incidencia 1-2 ciclos de prono con el 64% (N101), con una mortalidad
del 62% (N159) los requieren ciclos de prono.
Los Diabéticos, 231 pacientes requirieron
AVM, 113 (49%) requirieron Prono, y el 60% (N71) recibieron 1 a 2 ciclos de
prono, con una mortalidad del 76% (N78).
Los Pacientes con IMC>30 280 requirieron
AVM, 163 (58%) requirieron prono con mayor incidencia los que recibieron 1-2
ciclos con el 42% (N68), con una mortalidad del 86% (N88).
Nuestra conclusión es que tuvimos una alta
incidencia de pacientes que requirieron DP del total de AVM 72% (351), la
mortalidad de los pacientes en DP es del 56% (N196), se observó que los pacientes
con IMC 30 que requirieron prono tuvieron una mortalidad del 86% (N88).
0054 CÁNULA NASAL DE ALTO FLUJO
PARA EL TRATAMIENTO DE LA INSUFICIENCIA RESPIRATORIA AGUDA HIPOXÉMICA POR
COVID-19
P Diaz(1), F
Domichin(1), J Bartoli
(1) Clinica Universitaria Reina Fabiola
Introducción: COVID-19 es la enfermedad causada por un
nuevo coronavirus SARS-CoV-2.Las complicaciones que conducen a la muerte
incluyen síndrome de dificultad respiratoria aguda e insuficiencia respiratoria
con hipoxemia refractaria. La cánula nasal de alto flujo (CNAF) se convirtió en
un sistema de soporte respiratorio destacado en el tratamiento de la
insuficiencia respiratoria por COVID-19.
Hipótesis: Podría ser útil como medida de salvataje en
pacientes con criterios de intubación al ingreso.Frecuencia respiratoria, IROX,
score 4C y CURB-65 podrían ser predictores de mala evolución.
Materiales y métodos: Se realizó un estudio observacional
retrospectivo desde el 25 marzo del 2020 hasta el 28 de abril del 2021. Los
pacientes que se incluyeron padecían COVID-19, todos mayores de 18 años con
insuficiencia respiratoria hipoxémica tratados con CNAF vs otro tipo de
oxigenoterapia. Los datos fueron extraídos del sistema electrónico de historias
clínicas. El índice ROX (IROX) (relación de oximetría de pulso (SaO2) /
fracción de oxígeno inspirado (FiO2) a frecuencia respiratoria (FR)) fué medido
al ingreso, al inicio de CNAF, y luego a las 4-6, 12 y 24 horas. Se evaluó la
gravedad de la enfermedad mediante el score 4C y CURB-65. El fracaso de la CNAF
se definió por la necesidad de intubación endotraqueal. En todos los casos se
utilizó un generador de CNAF AIRVO2TM de Fisher & Paykel, con Cánula nasal
Respir Care®. Los datos recolectados fueron analizados con el programa
estadístico Infostat®. Se utilizó el modelo de casos y controles.Un P-valor
<0,05 se consideró estadísticamente significativo.
Resultados: Se analizaron los datos de 130 pacientes, 99
casos (que usaron CNAF) y 31 controles. Ambos grupos fueron similares en
relación a edad, género, comorbilidad, y score de gravedad. Los pacientes que
usaron CNAF presentaban peor condición clínica: Frecuencia respiratoria más
alta (28 vs 21), menor valor de IROX al ingreso (4.7 vs 15.9) y menor PAFI (143
vs 277). Además tenían más factores de riesgo de progresión a formas graves:
Relación neutrófilo/linfocito, Ferritina y LDH.Se realizó regresión logística
multivariable donde no se detectó ningún factor de riesgo independiente para
uso de CNAF. El tratamiento con CNAF tuvo éxito en 68 pacientes (67,32%). Los
éxitos presentaron una mejor condición clínica en relación a los fracasos, con
respecto a su edad, la FR y un mejor puntaje en los scores. También tuvieron
menor estadía. Durante las primeras 24hs de CNAF hubo diferencias
significativas en el IROX. Este fue mayor para los pacientes con éxito. A las
4-6 hs hubo diferencias significativas en la FR, que fué menor en los éxitos de
CNAF. La mortalidad del grupo con fracaso fue de 16/31 (52%), similar a la
mortalidad de Ventilación Mecánica en COVID-19. Por contraparte, todos los
pacientes con éxito en el tratamiento con CNAF fueron dados de alta.Entre los
pacientes que presentaban criterio de intubación al ingreso (n=52) (tabla 5),
el intento de rescate inicial con CNAF tuvo éxito en 33 pacientes (63.4%) y 19
requirieron ventilación mecánica invasiva. En estos pacientes, la menor edad,
un menor CURB-65 y 4C, y un mayor IROX se asociaron con éxito del tratamiento.
Estos pacientes tuvieron menor estancia y no hubo fallecidos. En el grupo con
fracaso de CNAF, todos fueron intubados y ventilados mecánicamente, tuvieron
una evolución crítica prolongada y 11 de 19 fallecieron (58%).
Conclusiones: Según nuestro estudio la CNAF fué útil para
el tratamiento de la insuficiencia respiratoria causada por COVID-19 y debería
ofrecerse siempre mientras no haya contraindicaciones ya que disminuye la
estadía hospitalaria y no aumentaría la mortalidad.Los principales valores a
tener en cuenta al ingreso y en las primeras 24 hs que podrían predecir la
evolución serían: FR, IROX. Es de destacar que la PAFI menor a 150mmHg no fue
significativa para predecir fracaso. Scores 4C y CURB-65 son predictivos de
gravedad y mala evolución.


0055 Impacto de la obesidad en
la mortalidad en pacientes críticos con COVID-19
ML Di Sibio(1), FS
Lucente(1), MV Caamaño(1), M Lauria(1), MC Villafañe(1), A Di Sibio(1)
(1) Hospital Carrillo
Introducción: La obesidad se ha postulado como un factor de
riesgo severo para la enfermedad por COVID-19, asociándose a peor evolución y
muerte.
Hipótesis: Los pacientes con obesidad internados en la
Unidad de Cuidados Críticos (UTI) con infección por COVID-19 presentan mayor
probabilidad de muerte.
Materiales y Métodos: Estudio de cohorte retrospectivo y analítico
que incluyó pacientes (18-95a) de ambos sexos, ingresados a la UTI por
infección por COVID-19, desde junio 2020 a agosto 2021. Se analizaron aspectos
demográficos: edad, sexo, comorbilidades (HTA, diabetes, enfermedades
pulmonares, enfermedad renal crónica), APACHE II, SOFA, días de ventilación
mecánica (VM), peso, talla, índice de masa corporal (IMC) y mortalidad. Las
variables continuas se expresaron como media y desvío standard o mediana y
rango intercuartilo y las categóricas como frecuencia y porcentaje. Las mismas
se analizaron utilizando la prueba exacta de Fischer. Las variables continuas
se compararon con la prueba de U de Mann–Whitney y el Test de Student. Se
consideró un nivel de significación estadística menor al 5% y se empleó el
software statistix 8.0 chicago
Resultados: Se incluyeron 126 pacientes, de los cuales 74
(58,7%) fueron hombres. La media de edad fue 61,19 (±13,85). Comorbilidades:
47,61% HTA, 23% diabetes, 9,5% enfermedades pulmonares, 7,9% enfermedad renal
crónica. Media de APACHE II 24,1 (±9,25), mediana de SOFA 10 (7-11,25). El
91,3% requirió VM, la mediana de VM fue de 12 días (7-16). La mortalidad fue de
74,6%. Presentaron obesidad 70 pacientes (55,5%): obesidad grado I: 32,5%,
grado II: 15,1%, grado III: 7,9%. El Odds Ratio para mortalidad hospitalaria
para pacientes con IMC ≥ 30 kg/m2 comparado con normopeso fue 1,41 (IC95%;
0,63-3,15).
Conclusión: Nuestro trabajo no encontró asociación entre
obesidad y mortalidad en los pacientes críticamente enfermos con infección por
COVID-19.
0057 Efecto de la PEEP
sobre el Producto Presión-Tiempo Esofágico en
Pacientes Obesos con SARS-CoV2 Bajo Ventilación Mecánica Invasiva.
J Dorado(1), D
Gilgado(1), G Cardoso(1), N Vergottini(1), A Rivera(1), E Navarro(2), M
Accoce(1)
(1) Sanatorio Anchorena San Martin. (2)
Hospital Carlos G. Durand
Introducción: Una elevada proporción de pacientes
ventilados por sindrome respiratorio severo coronavirus-2 (SARS-COV2) presentan
obesidad. El esfuerzo inspiratorio y el drive central elevados son frecuentes
en SARS-COV2 durante la fase de soporte parcial. La PEEP alta ha sido propuesta
como una estrategia moduladora del esfuerzo inspiratorio. Ademas, se ha
reportado que PEEP podría tener impacto reflejo sobre la frecuencia de descarga
del nervio frénico. El producto presión-tiempo esofágico por minuto (PTPes-min)
es una medida de intensidad y frecuencia del esfuerzo relacionado con el
consumo de oxigeno múscular respiratorio. El efecto de la PEEP sobre el
PTPes-min en obesos con SARS-CoV2 y ventilación invasiva no ha sido estudiado.
Pregunta de investigación: ¿Posee la PEEP alta un efecto modulador sobre
el PTPes-min?
Materiales y método: Analisis secundario de estudio experimental,
prospectivo realizado en la terapia intensiva del Sanatorio Anchorena San Martín.
Se incluyeron pacientes obesos (índice de masa corporal [IMC] > 30Kg/m2)
ventilados por SARS-COV2 en fase de soporte parcial de la ventilación mecánica
invasiva. Se estudiaron 3 niveles de PEEP (5, 10 y 15cmH2O) por 10 minutos cada
uno. Se realizó monitoreo convencional y avanzado de la ventilación mecánica
utilizando un monitor específico marca FluxMed; MBMED. La variable primaria de
estudio fue el PTPes-min expresado en cmH2O.s.min.
Resultados: Se incluyeron 21 pacientes con edad de 57.7
(13.3) años, APACHE 12,9 (5,3) e IMC 36,7 (6,8)Kg/m2.
El PTPes-min se redujo al aumentar la PEEP
(PEEP5 = 176 [157-229]; PEEP10 = 166 [142-214]; PEEP15 = 153
[125-198]cmH2O.s.min; P<0.001) (Figura1). Las modificaciones del PTPes-min
se debieron en un 63 (14-89)% a cambios en la frecuencia respiratoria y en 37
(11-86)% a cambios en el esfuerzo inspiratorio. El porcentaje de cambio en el
PTPes-min se correlacionó negativamente con el IMC (r=-0.68;P<0.001) (Figura
2).
Conclusiones: La PEEP elevada redujo el PTPes-min en
pacientes obesos con SARS-CoV2 ventilados invasivamente.


0058 VACUNACIÓN EN PACIENTES
COVID INTERNADOS EN UTI DEL SANATORIO SAN ROQUE EN EL PERÍODO MAYO-AGOSTO 2021
R Silvia(1), A
Perez(1), M Singh(1), S Videla(1), J Salvadores(1), B Olocco(1)
(1) Sanatorio San Roque
Introducción: El coronavirus SARS-CoV-2 ha unificado a la
comunidad científica en busca de soluciones terapéuticas. La principal
prioridad en este momento es vacunar de forma segura y eficaz a la población en
general con el fin de obtener una solución a largo plazo para evitar una mayor
propagación y recurrencia de enfermedad.
Objetivos: Determinar la frecuencia de vacunación en
pacientes COVID internado en la UTI del Sanatorio San Roque durante mayo-agosto
de 2021 y comparar pacientes vacunados y no vacunados.
Materiales y métodos: Estudio cuantitativo descriptivo de corte
transversal. Se evaluaron 83 pacientes mediante revisión de Historia Clínica.
Resultados: Del total (n=83), el 59% (49) corresponde a
sexo masculino. La edad más frecuente fue 60 a 69 años (24%). El 60% presentó
q-SOFA de 1. El 60% se encontraba vacunado con un IC95%= [49%-71%]. De los
vacunados el 36% tenía completo el esquema. El 60% recibió Sputnik. El tiempo
transcurrido desde que el paciente recibe la primera dosis hasta el ingreso
promediaba alrededor de 75 días. La mortalidad fue 30% en los pacientes
estudiados (IC95%= [20%-40%]).
Conclusión: La vacuna COVID-19 fue eficaz contra la
enfermedad grave critica en pacientes mayores de 70 años Se puede considerar
SAPS 3 como predictor de severidad en el ingreso de UTI. Se considera que el
q-SOFA no es útil para evaluar riesgo de sepsis en paciente con COVID-19. La
mortalidad del Servicio de Unidad de terapia Intensiva se encuentra por debajo
de la reflejada en estudio SATICOVID en comparación con otras terapias del
país.


0059 Decanulación en pacientes
post COVID-19 en los Centros de Desvinculación de la ventilación mecánica y
Rehabilitación. Estudio multicéntrico Argentino. Grupo Re.Des
MJ Bosso(1), L
Prieto(1), F Larocca(1), AS Morales(2), D Villalba(3), A Matesa, A Brusco(4), V
Morales(4), E Navarro(5), MV Gastón Germán(6), S De Paoli(7), J Nadur(7), M
Santini(8), M Alonso(8), C Duarte(9), R Campodónico(9), G Musso(10), M
Leingruber(10), A Segura(11), ME Vallory(11), SDC Peiruzzi(12), P Pascal(12),
EL De Vito(6)
(1) Santa Catalina Neurorehabilitación
Clínica. (2) Centro Médico Amenabar. (3) Clínica Basilea. (4) Alcla. (5) Centro del Parque. (6)
Centro del Parque. (7) Ciarec.
(8) Clínica Pasteur. (9) Ulme.
(10) Aprepa. (11) Caice. (12) Semed
Introducción: Los centros de desvinculación de la
ventilación mecánica y rehabilitación (CDVMR) en Argentina proveen de cuidados
especializados para pacientes post-COVID-19. Hasta el momento no hemos
encontrado reportes nacionales sobre la decanulación de pacientes post-COVID-19
con traqueotomía (TQT) y ventilación mecánica invasiva (VMi).
Objetivo: Describir las características clínicas de los
pacientes traqueotomizados post covid-19 ingresados a CDVMR de Argentina que
fueron decanulados. Reportar la tasa de decanulación y las variables asociadas.
Material y Métodos: Estudio de cohorte prospectivo,
multicéntrico. Se incluyeron > 18 años post-COVID-19 derivados a CDVMR con
TQT con o sin VMi; julio de 2020 y mayo de 2021. Se registraron variables
demográficas y de laboratorio, relacionadas con TQT y VMi en el CDVMR. Las
variables continuas se expresaron como media (DE) y mediana [RIQ] y las
categóricas como frecuencia (%). Se realizó un análisis de regresión logística
múltiple para determinar las variables asociadas al éxito de desvinculación.
Resultados: Se incluyeron 245 pacientes, 175 se
decanularon, 121 (69%) hombres, con 63 años [52-70], BMI de 27 kg/m2
[24.7-31.2] y Charlson de 2 [0-3]. El 56.6% ingresó con VMi, se desvinculó al
44%. El MRC fue de 41 [30-48], PIM de 64 [50.8-80] y PEM de 67 cm H20
[44.5-90]. Dos pacientes fallaron la decanulación. Los días de TQT fue de 20
[11-34.5]. La estadía fue de 49 [29-82]. El 81.7% logró alta a su domicilio, el
12% se derivó a UCI. La mortalidad fue 2.9%. Se describen como variables
explicativas independientes de la decanulación el Charlson (OR 0.80, IC 95%
0.65-0.99 p=0,04) y un MRC > 48 al ingreso (OR 3.64, IC 95% 1.09-16.86.
p=0,057).
Conclusión: La cantidad de comorbilidades y la debilidad
adquirida fueron factores que se asociaron a la decanulación en pacientes
post-Covid. La mayoría pudo ser decanulado y fueron dados de alta a su
domicilio.
0060 Valor pronóstico y
determinantes de la relación entre diferencia veno-arterial de la pCO2 y contenido
arterio-venoso de oxigeno en pacientes críticos
VG Torres(1), JC
Pendino(1), JI Ibarzabal(1), LR Bettini(1)
(1) Hospital Centenario
La detección y corrección de la hipoxia
tisular en pacientes críticos con inestabilidad hemodinámica es crucial. Múltiples
marcadores se han propuesto para este fin, entre ellos D(v-a)pCO2 / C(a-v)O2.
Nuestro objetivo primario fue explorar posibles diferencias entre D(v-a)pCO2 /
C(a-v)O2 en pacientes sobrevivientes y no sobrevivientes. Como objetivo
secundario, se evaluaron determinantes de dicha relación.
Se examinaron los registros de pacientes que
fueron monitorizados con catéter en la arteria pulmonarentre el 01/01/2014 y el
31/12/2019, utilizando los datos del primer set de mediciones.Se dividieron en
2 grupos (sobrevivientes vs no sobrevivientes), utilizando el test t-Student o
U de Mann-Whitney según correspondiera para las diferentes variables
analizadas. Para evaluar determinantes se realizó una regresión lineal
múltiple.
Se incluyeron 45 pacientes (32 varones y 13
mujeres). La mortalidad a 30 días fue del 51,1 % (n 23). No hubo diferencias en
cuanto a edad, APACHE y SOFA entre ambos grupos. No se observó una diferencia
estadísticamente significativa en la D (v-a) pCO2/ C(a-v) O2(2.11 ±0.9vs
1.69±0.8 p=0.13) ni en los valores de lactato. Se observaron valores mayores en
la concentración de hemoglobina (11.89 ± 2.44 vs 10.04 ±2.11), presión de
aurícula derecha (12 vs 9 mmHg) y presión de enclavamiento en la arteria
pulmonar (16 vs 13 mmHg) en sobrevivientes. Los principales determinantes de la
GvaCO2/DavO2, fueron los niveles de Hb y pH, mientras que los valores de
SvO2fueroncercanos al límite de significancia.
No hubo asociación entre los valores de la
relación D(v-a)pCO2 / C(a-v)O2 y mortalidad. Los valores de Hb, el pH y en
menor medida, la SvO2(no significativa), fueron considerados determinantes de
la relación D(v-a)pCO2 / C(a-v)O2 . La relación D(v-a)pCO2 / C(a-v)O2 puede
haber sido influenciada por factores diferentes a la presencia de metabolismo
anaeróbico.
0061 BURNOUT EN PROFESIONALES
DE TERAPIAS INTENSIVAS DE ARGENTINA DURANTE LA PANDEMIA COVID-19
C Balasini(1), C
Balasini(2), L Tumino(3), P Canavessi(4)
(1) Pirovano-san Martin. (2) Pirovano y San
Martin. (3) San Martin y San Camilo. (4) San Martin Y Español
Introducción: Desde el año 2002 la OMS considera al Burnout
como un riesgo laboral. La pandemia COVID-19 ha exigido un esfuerzo físico y
mental extraordinario por parte de los trabajadores de las Terapias intensivas
(UTIS) neonatal, pediátricas y adultos de Argentina.
Objetivo: Evaluar la prevalencia de Burnout en los
profesionales de UTIs de Argetina final de la segunda ola de COVID-19.
Materiales y métodos: Estudio trasversal, descriptivo realizado
mediante una encuesta por redes sociales y whatsapp. Se evaluaron variables
demográficas. Se utilizó el cuestionario de Maslach Burnout Inventory (MBI),
definiendo alto nivel de agotamiento emocional >26 puntos,
despersonificación > 9 y bajo nivel de logros personales < 34. Una sola
dimensión que supere el punto de cohorte fue considerado Burnout. Los datos se
presentan como media, DS, Mediana, RI y %.
Resultado: En el presente estudio 1509 profesionales de
UTI fueron encuestados de todas las provincias al finalizar la segunda ola COVID-19.
La edad promedio fue 40 ±9, mujeres (69%), > 40 años: 47%, tenían más de 10
años de práctica (60%) y eran especialistas (67%). El 37% eran médicos, 38%
enfermeros, 17% kinesiólogos, 6% residentes.
Se observa: poliempleo, trabajo sin relación
de dependencia, jornadas extenuantes de trabajo, falta de días de descanso,
falta de horas de sueño.
Los resultados de MBI indicaron que 539
trabajadores experimentaron altos niveles de agotamiento emocional (36%) con
una mediana de 22 [16-30]; despersonalización 613 trabajadores (41%) mediana de
8 [3-13]; Falta de realización personal 1335 trabajadores (90%) mediana de 20
(14-27) puntos. La prevalencia de Burnout fue del 97%.
Conclusiones: Se observa una alta prevalencia de Burnout en
el personal de UTI que trabajó en la primera línea luego de la segunda ola de
COVID-19. Las 3 dimensiones se unen a través de una relación asimétrica, donde
el cansancio emocional conduce a la obtención de los otros 2 componentes.
La falta de realización personal muestra que
las demandas laborales excedieron su capacidad para atenderlas debidamente

0063 Características clínicas
de las pacientes embarazas/puérperas fallecidas por infección por virus
SARS-CoV-2 en el año 2021 en Provincia de Buenos Aires y sus resultados fetales- neonatales. Estudio
descriptivo y observacional
A Das Neves(1), M
Bracco(2), D Muñoz(2), P Saracco(2), M Ferrary(2), G Lamela(3), A Paz(3), M
Mosquera(3), L Kanterewicz(3), D Zanlungo(3), B Sabrina
(1) Programa de Vigilancia de Muertes
Maternas - Dirección de Equidad de Género en Salud Pba. (2) Programa de Vigilancia De. (3) Direccion de Equidad
de Genero en Salud Provincia de Buenos Aires.
Introducción: COVID-19 en embarazadas/puérperas se comportó
de forma distintiva en la 2da ola, con un aumento de la morbimortalidad e
ingreso a UCI. Nuestro objetivo es describir las características de las
pacientes embarazadas/puérperas fallecidas por COVID-19 desde el 01/01/2021 al
15/09/2021, su trayectoria en el sistema de salud y sus resultados
fetales-neonatales.
Método: Estudio retrospectivo, descriptivo y
observacional. Se accedió a las historias clínicas de todos los eventos de
muertes maternas (MM) notificadas al Sistema de Vigilancia de MM PBA, SISA y DIS
de la PBA, los cuales fueron analizados.
Resultado: Se notificaron 61/112 (55%) MM por COVID-19,
superando en frecuencia a las demás causas. En el 54/61(89%) de los casos las
afecto entre el 2do y 3er trimestre. El 40/61(66%) de las pacientes presentaban
comorbilidades, siendo obesidad y enfermedad hipertensiva del embarazo las
principales. Se describe una demora de 3[1-5] días para el testeo, de 5[2-9]
para la admisión hospitalaria y luego ingreso a UCI dentro de los 2[0-4] días.
La estadía en UCI fue de 16[10-22]días. De las 61 pacientes, solo una recibió
vacunación (esquema incompleto). 39/61(64%) de los RN nacieron vivos. El resto
los resultados maternos fetales y neonatales se adjuntan en la tabla.
Conclusiones: Las pacientes embarazadas/puérperas representaron
un desafío en la 2da ola, enfrentando a los equipos obstétricos a una situación
desconocida. A pesar de la baja letalidad, constituye la primer causa de MM en
la Provincia de Buenos Aires. Se observó un rápido deterioro del estado de
salud materno, prematuridad y muerte fetal. Del registro de éstos datos se
establecieron, entre otras tantas políticas públicas, la priorización de la
embarazadas/puérperas como grupo de riesgo para vacunación y la confección de
“Guías de manejo de enfermedad COVID-19 severo y embarazo”.

0064 Introduciendo el concepto
de disfunción tubular aguda en la sepsis basado en el exceso de base aláctico
J Cantos(1), C
Musso(1), J Sinner(1), I Huespe(1)
(1) Hospital Italiano de Buenos Aires
Objetivos: Evaluar la funcionalidad del exceso de base
aláctico (EBA) como indicador de disfunción tubular renal en la sepsis.
Diseño: Estudio de cohorte retrospectivo.
Marco: Dos hospitales universitarios de alta
complejidad.
Población: Pacientes adultos con diagnóstico de sepsis o
shock séptico hospitalizados en la Unidad de Cuidados Intensivos. Se excluyeron
pacientes con requerimiento de terapia de reemplazo renal previo a la
hospitalización y/o antecedentes de trasplante renal.
Intervenciones: Ninguna.
Mediciones y resultados principales: El cálculo de EBA es: EBA (mmol/L) = exceso
de base estándar (mmol/L) + lactato (mmol/L), obtenido a partir de la primera
gasometría arterial tras el diagnóstico de sepsis o shock séptico. Se
incluyeron 1178 pacientes, los cuales se dividieron en tres grupos: 1) EBA
negativo (<-3 mmol/L), 2) EBA neutro (≥ -3 y <4 mmol/L) y 3) EBA positivo
(≥ 4 mmol/L). En el análisis multivariado, los pacientes con EBA negativo
registraron mayor riesgo de muerte que aquellos con EBA neutro (HR 1,43; IC 95%
1,02-2,01, P = 0,04). Aquellos pacientes con EBA positivo tuvieron la misma
mortalidad que los pacientes con EBA neutro (HR 1,2; IC 95% 0,82-1,77, P =
0,33). Los pacientes con EBA negativo presentaron mayor proporción de injuria
renal aguda (IRA) (84%; IC 95% 79%-88%) y peor estadificación KDIGO. El 71% (IC
95% 66%-77%) de estos pacientes tenían un filtrado glomerular superior (26,3
ml/min) al que induce retención de ácidos fijos.
Conclusiones: El EBA negativo refleja retención de ácidos
fijos no volátiles diferentes del lactato en el plasma. Esta condición podría
atribuirse a una “disfunción tubular aguda” en pacientes sin criterios de IRA,
la cual se asociaría a una mayor mortalidad y podría detectarse mediante la
monitorización del valor de EBA.


0067 Frecuencia de lesiones
laríngeas y disfagia en pacientes críticos traqueostomizados durante la
pandemia por Covid-19
ME Catini(1), A
Falduti(1), G Chiappero(1)
(1) Juan A Fernandez
Introducción: Según el estudio SATICOVID, un cuarto de los pacientes
con Covid- 19 requirieron traqueostomía (TQT) luego de la intubación
orotraqueal (IOT) y ventilación mecánica (VM) prolongada .Ha sido reportado que
la prevalencia y severidad de las lesiones laríngeas está directamente
relacionada a la duración de la vía aérea artificial y que la disfagia es
altamente prevalente en pacientes que presentan cánula de traqueostomía.
Objetivo: Describir la frecuencia de lesiones laríngeas
y disfagia orofaríngea en los pacientes críticos traqueotomizados con
diagnóstico de COVID-19.
Material y métodos: Se desarrollo en el Hospital Juan A.
Fernández, en el período comprendido entre Julio de 2020 y septiembre de 2021.
El diseño fue retrospectivo, longitudinal y observacional. Se incluyeron de
manera consecutiva pacientes mayores de 18 años, con diagnóstico de Covid-19
que requirieron IOT y VM durante más de 72 horas y que luego requirieron
traqueostomía. La presencia de lesiones laríngeas y disfagia fue registrada
mediante estudio fibroendoscópico (FEES) en el momento de la decanulación.
Resultados: Se analizaron 69 pacientes, de los cuales 45
(65%) presentaron lesiones laríngeas evaluadas mediante FEES, principalmente en
la región glótica. La frecuencia de disfagia fue del 71% (n: 49).La mediana de
días de IOT fue 19 (RIQ:4) y de TQT 32 (RIQ:38). La media de MRC en el momento
de la decanulación fue de 42,71 puntos (DS:10,57) y la mediana de pico flujo
tosido de 155 l/min (RIQ: 88). El 15,94% (n: 11) de los pacientes persistió con
disfagia al alta hospitalaria.
Conclusión: Este estudio ha evidenciado una alta
prevalencia de lesiones laríngeas y disfagia. Consideramos que la evaluación
precoz mediante FEES y el equipo multidisciplinario que hemos conformado para
el seguimiento protocolizado de estos pacientes nos ha facilitado un
diagnóstico oportuno para guiar el tratamiento de manera individual hasta la
decanulación y resolución de la disfagia encontradas.
0068 BURNOUT EN MÉDICOS DE
TERAPIAS INTENSIVAS DE ARGENTINA DURANTE LA PANDEMIA COVID-19
C Balasini(1), C
Balasini(2), L Tumino(3), P Canavessi(4)
(1) San Martín-Pirovano. (2) Pirovano y San
Martin. (3) San Martin y San Camilo. (4) San Martin Y Español.
Introducción: La Pandemia COVID_19 mostró el déficit de
médicos especialistas en terapia intensiva (UTI) adultos, pediátricos y
neonatales. La falta de recurso humano es multifactorial pero principalmente
por malas condiciones laborales y pobres salarios.
OBJETIVO: Evaluar la prevalencia de Burnout
en los médicos las UTIs al final de la segunda ola de COVID-19.
Materiales y métodos: Estudio trasversal, descriptivo realizado
mediante una encuesta por redes sociales y whatsapp. Se utilizó el cuestionario
Maslach para Burnout (MBI), alto nivel de agotamiento emocional >26 puntos,
despersonificación > 9 y bajo nivel de logros personales < 34. Una sola
dimensión que supere el punto de cohorte fue considerado Burnout. Los datos se
presentan como media, DS, Mediana, RI y %.
Resultado: Fueron encuestados 562 médicos de UTI de todas
las provincias. La edad promedio fue 43 ±8 años, mujeres (56%), >10 años de
práctica 76% y eran especialistas (83%).
Se observa una población de profesionales con
poliempleo, 42% tienen ≥3 trabajos, que el 25% con > 50 años siguen haciendo
guardia, 52% están sin relación de dependencia, 45% hacen 2 o más guardias de
24 hs por semana, 33% trabajan más de 60 hs semanales, 47% solo tiene 1 día
libre en la semana y solo 8% duerme 8 o más horas.
En total 217 médicos experimentaron altos
niveles de agotamiento emocional (39%) con una mediana de 23[17-30];
despersonalización (47%) con una mediana de 9[4-15]; Falta de realización
personal (88%) con una mediana de 21(1-28) puntos. La prevalencia de Burnout
fue del 98%.
Conclusiones: Se observa una población de médicos
intensivistas (neonatólogos, pediátricos y adultos) que trabajaron en la
primera línea en la pandemia exponiendo su vida y la de sus familias con malas
condiciones laborales: poliempleo, muchas horas de trabajo, pobre tiempo de
descanso, pocas horas de sueño diario.
La sobrecarga de trabajo generó una alta
prevalencia de Burnout con afectación de las 3 esferas, principalmente una baja
realización personal.

0069 BURNOUT EN PROFESIONALES
DE ENFERMERÍA DE TERAPIAS INTENSIVAS DE ARGENTINA DURANTE LA PANDEMIA COVID-19
C Balasini(1), C
Balasini(2), L Tumino(3), P Canavessi(4)
(1) San Martín- Pirovano. (2) Pirovano Y San
Martin. (3) San Martin y San Camilo. (4) San Martin y Español
Introducción: La pandemia mostró la necesidad de jerarquizar
a los profesionales de enfermería y también de la importancia de que sean
especialistas en cuidados intensivos, para una adecuada atención de pacientes y
sus familias.
Objetivo: Evaluar la prevalencia de Burnout en los
profesionales de enfermería de las UTIs al final de la segunda ola de COVID-19.
Materiales y métodos: Estudio trasversal, descriptivo realizado
mediante una encuesta por redes sociales y whatsapp. Se utilizó el cuestionario
Maslach para Burnout (MBI), alto nivel de agotamiento emocional >26 puntos,
despersonificación > 9 y bajo nivel de logros personales < 34. Una sola
dimensión que supere el punto de cohorte fue considerado Burnout. Los datos se
presentan como media, DS, Mediana, RI y %.
Resultado: Fueron encuestados 579 enfermeros de UTI de
todas las provincias. La edad promedio fue 39±8 años, mujeres (84%), > 50
años 12%, >10 años de práctica 51% y eran especialistas (51%). El 60% tiene
1 solo trabajo, 37% tienen 2 trabajos, 44% no tienen relación de dependencia,
31% tienen 1 solo día libre a la semana, 85% no hacen guardia y 41% duermen
menos de 6 hs.
En total 176 enfermeros experimentaron 30% de
agotamiento emocional con una media de 21±10; despersonalización (33%) con una
mediana de 7±6; Falta de realización personal (94%) con una mediana de 18±9
puntos. La prevalencia de Burnout fue del 97%.
Conclusiones: Se observa una población de enfermeros, que
la mitad eran especialistas en terapia intensiva y trabajaron durante la
pandemia en la primera línea contra el COVID-19.
Si bien la mayoría no realiza guardias, tiene
poliempleo. Un poco menos de la mitad están en relación de dependencia, con
altas cargas horarias de trabajo y poco descanso. Lo que sumado al estrés de
exponerse al COVID.19 tiene como resultado una alta prevalencia de burnout.

0070 BURNOUT EN LOS
PROFESIONALES DE KISIOLOGÍA DE LAS TERAPIAS INTENSIVAS DE ARGENTINA DURANTE LA
PANDEMIA COVID-19
P Canavessi(1), L
Tumino(2), C Balasini(3)
(1) San Martin-Español. (2) San Martin y San
Camilo. (3) Pirovano-San Martin
Introducción: Los profesionales de kinesiología de las UTIs
tuvieron un rol destacado en esta pandemia COVID-19 con alta tasa de pacientes
ventilados con distrés respiratorio
Objetivo: Evaluar la prevalencia de Burnout en los
profesionales de kinesiología de las UTIs al final de la segunda ola de
COVID-19.
Materiales y métodos: Estudio trasversal, descriptivo realizado
mediante una encuesta por redes sociales y whatsapp. Se utilizó el cuestionario
Maslach para Burnout (MBI), alto nivel de agotamiento emocional >26 puntos,
despersonificación > 9 y bajo nivel de logros personales < 34. Una sola
dimensión que supere el punto de cohorte fue considerado Burnout. Los datos se
presentan como media, DS, Mediana, RI y %.
Resultado: Fueron encuestados 257 kinesiólogos de UTI de
todas las provincias. La edad promedio fue 39±8 años, mujeres (64%), > 50
años 11%, >10 años de práctica 64% y eran especialistas (75%). El 30% tienen
más de 3 trabajos, 60% no tienen relación de dependencia, con una alta carga de
horas de trabajo y pocas horas de descanso.
En total 107 kinesiólogos experimentaron 41%
de agotamiento emocional con una media de 24±9; despersonalización (41%) con
una mediana de 9±6; Falta de realización personal (91%) con una mediana de 21±9
puntos. La prevalencia de Burnout fue del 99%.
Conclusiones:
Se observa una
población de profesionales de kinesiología de UTI con una alta prevalencia de
Burnout producto de la gran carga de trabajo física y estrés después de la
segunda ola.
Mas de la mitad de estos profesionales se
encuentran sin relación de dependencia, poliempleo, pocos días de descanso y
escasas horas de sueño.

0071 Muertes maternas por
enfermedad COVID-19 ocurridas en la Provincia
de Buenos Aires durante el año 2021 según el modelo de las 3 demoras: Estudio
descriptivo y observacional. Programa de Vigilancia de Muertes Maternas de la
Provincia de Buenos Aires
A Das Neves(1), D
Muñoz(2), M Bracco(2), P Saracco(2), M Ferrary(3), G Lamela(4), M Mosquera(4),
L Kanterewicz(4), A Paz(4), D Zanlungo(4), S Balaña(5)
(1) Programa de Vigilancia de Muertes
Maternas pba. (2) Programa de
Vigilancia de Muertes Maternas de Pba.
(3) Programa de Vigilancia de Muertes Maternas Pba. (4) Direccion de Equidad de Genero dn Salud Provincia de
Buenos Aires. (5) Direccion de Equidad de Genero en Salud Pba
Introducción: COVID-19 en embarazadas/puérperas se comportó
de forma distintiva en la 2da ola, con un aumento de la morbimortalidad e
ingreso a UCI. Nuestro objetivo fue analizar las demoras en la atención bajo el
modelo de las 3 demoras de Maine y el planteo de acciones de mejora.
Método: Estudio retrospectivo, descriptivo,
observacional. Se accedió a las historias clínicas de todos los eventos de
muertes maternas (MM) notificadas al Sistema de Vigilancia de MM, SISA y DIS de
la Provincia de Buenos Aires. Se revisaron bajo la perspectiva de seguridad del
paciente los procesos de atención considerando las demoras en el reconocimiento
de signos/síntomas de enfermedad y retraso en el acceso a la atención oportuna.
Resultado: Se notificaron 61/112(55%) eventos de MM por
COVID-19, siendo la primer causa. Afecto principalmente embarazadas en el 2do y
3er trimestre. El 29/61(47%) de las pacientes demoro en acceder al
testeo/primer consulta >72hs, habiendo en este grupo 1/3 de pacientes con
FR. 39/61(64%) de las pacientes presento tercer demora, siendo las más
frecuentes el retraso en la admisión hospitalaria de pacientes con FR que
consultan en guardia 18/61(30%), ingreso a UCI 23/61(38%), en el inicio de la
VM 24/61(39%), indicación de tratamiento farmacológico 21/61(34%). 14/61(23%)
no disponían de cama en UCI al momento de requerirla y un 22/61(36%)
requirieron traslado a mayor complejidad, encontrándose demora en el 11/61(18%)
de los casos.
Conclusión: La mala evolución de las embarazadas con
enfermedad COVID-19 parecería ser de etiología multicausal con factores no
modificables y modificables. Dentro de éste último se encuentran los procesos
de atención identificados como problemáticos como el alerta en la población y
el proceso de atención hospitalaria. La detección de éstas demoras promovieron
entre otras acciones la publicación del “Protocolo de atención de embarazadas
con COVID-19 y embarazo” y el trabajo intersociedades para la publicación de la
“Guías de manejo de COVID-19 severo y embarazo”


0072 Respuesta inmunitaria,
biomarcadores endoteliales y severidad de la insuficiencia respiratoria en
pacientes COVID-19
C Casaravilla(1), N
Barone(2), M Menendez(2), N Deshpande(3), J Facal(4), R Suarez(5), M Baz(6), M
Baz(2)
(1) Instituto de Higiene. (2) de Clinicas y
Britanico. (3) Instituto Peter
Doherty. Melbourne. Australia. (4) Maciel y Britanico. (5) Britanico. (6) Universidad Laval (Canadá)
e Instituto Peter Doherty (Australia)
Introducción y objetivos: El rol del endotelio en la patogenia de la
insuficiencia respiratoria por COVID-19 es aún materia de debate. El presente
estudio pretendió evaluar la respuesta inmunitaria y los biomarcadores endoteliales
en pacientes COVID-19 con diferentes grados de insuficiencia respiratoria.
Métodos: Estudio. Traslacional, retrospectivo.
Pacientes. Aquellos cursando COVID-19 con insuficiencia respiratoria leve
(ambulatorios), moderada-severa (ingresados a cuidados moderados) y muy severa
(críticos). Medidas. Patronímicas y niveles séricos extraídos al día 1 de
consulta (D1) de anticuerpos (IgG) para SARS-COV-2 (mediante ELISA de
fabricación nacional) y calprotectina (S100A8/A9), VCAM-1, ICAM-1, ADAMTS-13, GDF-15
e IL-6 (mediante ELISAs comerciales, R&D Inc, Mn, USA). Ética. Se contó con
el aval institucional. Estadística. Los datos se expresaron como promedio±SD o
mediana (rango intercuartílico) y se compararon los 3 grupos mediante test
ANOVA y posterior test de comparaciones múltiples de Dunn. Se utilizó software
Prism® (Graphpad, Ca, USA). Se consideró significativo un valor de p<0.05.
Resultados: Los resultados para los pacientes COVID-19
ambulatorios (N=4), moderados (N=10) y críticos (N=18) fueron respectivamente:
IgG anti SARS-COV-2 (densidad óptica) 0.61±1.15 vs 0.21±0.34 vs 1.68±1.22 (p
Discusión y conclusiones: Los pacientes COVID-19 con mayor grado de
hipoxemia presentaron niveles más elevados de calprotectina, ICAM-1, GDF-15 e
IL-6, diferenciando los pacientes con insuficiencia respiratoria crítica de los
ambulatorios. Los niveles de anticuerpos fueron diferentes en los tres grupos
de pacientes. Es necesario profundizar la búsqueda de biomarcadores con
correlación con la gravedad de la enfermedad y que pudieran constituir
potenciales blancos terapéuticos.


0074 DESVINCULACIÓN DE LA
VENTILACIÓN MECÁNICA INVASIVA EN PACIENTES CON TRAQUEOSTOMÍA POST-COVID-19 EN
CENTROS DE DESVINCULACIÓN Y REHABILITACIÓN: ESTUDIO MULTICÉNTRICO ARGENTINO.
GRUPO Re.Des
E Navarro(1), MA
Escobar(1), D Villalba(2), A Matesa(2), A Brusco(3), V Morales(3), GG Morel
Vulliez(1), ES Rositi(1), L Prieto(4), MJ Bosso(5), A Cotero(6), J Nadur(6), M
Santini(7), M Alonso(7), F Larocca(8), V García(9), R Campodonico(9), G Musso(10),
M Leingruber(10), AS Morales(11), A Segura(12), ME Vallory(12), SDC
Pieruzzi(13), PS Pascal(13), LE De Vito(1)
(1) Centro del Parque. (2) Clínica Basilea.
(3) Clínica de Rehabilitación Integral (alcla).
(4) Santa Catalina (Catamarca). (5) Santa Catalina. (6) Ciarec. (7) Clínica Pasteur. (8) Santa Catalina (Venezuela).
(9) Ulme. (10) Aprepa. (11) Centro Médico Amenábar.
(12) Caice. (13) Semed
Introducción: Los centros de desvinculación de la
ventilación mecánica y rehabilitación (CDVMR) en Argentina proveen de cuidados
especializados para pacientes post-COVID-19 al alta de unidades de cuidados
intensivos (UCIs). Hasta el momento no hemos encontrado reportes sobre el curso
clínico y la desvinculación de pacientes post-COVID-19 con traqueostomía (TQT) y
ventilación mecánica invasiva (VMi).
Objetivos: Describir las características clínicas de
pacientes post-COVID-19 con VMi admitidos a CDVMR y su condición de egreso.
Analizar los factores que se asocian con la desvinculación de la VMi.
Material y Método: Cohorte prospectivo, multicéntrico. Se
incluyeron ≥ 18 años post-COVID-19 con: 1) TQT y VMi 2) TQT y ventilación
espontánea con requerimiento de VMi en el CDVMR, durante Junio-20/Mayo-21. Se
registraron variables demográficas, de laboratorio y relacionadas con la TQT y
VMi.
Resultados: Ingresaron 138 pacientes. El 88% cumplía
criterios de ventilación mecánica prolongada. El 93% (n=128) ingresó con VMi.
El 7% (n=10) requirió reconexión a VMi. Edad 69 años [58-77], 71% hombres, IMC
27 kg/m2 [25-31], Índice de comorbilidad de Charlson (ICCH) 2 [1-4]. La
desvinculación de la VMi fue exitosa en el 63 % (n=87). Los factores que se
asociaron al éxito de desvinculación fueron: ICCH [OR: 0,75 (IC95%:0,61-0,91);
p=0,004] y albúmina [OR: 2,68 (IC95%: 1,33-5,83); p=0,008]. El 45% fueron dados
de alta sin VMi al domicilio. El 27 % fue derivado a UCIs, 8% permanecen
internados. La mortalidad global fue 15 %.
Conclusión: La mayoría fueron adultos mayores masculinos
con sobrepeso, baja carga de comorbilidad y ventilación mecánica prolongada.
Más de la mitad fueron desvinculados. Se asoció al fracaso de la desvinculación
valores elevados del ICCH y niveles bajos de albúmina. La mayoría de los
desvinculados se fueron al domicilio, una gran proporción de los que fallaron
se derivaron a UCIs.
0076 Factores asociados a la
falla de extubación en pacientes COVID-19: cohorte prospectiva de una UCI de la
Ciudad Autónoma de Buenos Aires
RA Pratto(1), RS
Moracci(1), RS Gomez(1), NG Escalier(1), JD Nuñez(1), E Wilhelm(1), P D
Annunzio(1), S Pieroni(1), G Antonini(1), CE Quiroga(1), ME Pereira(1), GA
Plotnikow(1), DN Vasquez(1), AV Ruiz(1), ML Olave(1), AB Moreno(1), A Zurra(1),
C Fachal(1), E Seery(1), FJF Bianchini(1), FV Gomez
(1) Sanatorio Anchorena Recoleta
Objetivo: Describir las características de pacientes
COVID-19 que requirieron ventilación mecánica invasiva (VMI) y lograron ser
extubados. Comparar el grupo éxito (E) con el grupo fracaso (F) y encontrar
factores de riesgo de falla.
Métodos: Estudio de cohorte prospectiva. Población:
pacientes COVID-19 que requirieron VMI en el Sanatorio Anchorena Recoleta y
lograron ser extubados.
Resultados: 249 pacientes COVID-19 requirieron VMI, edad
57±11 años, 83(60%) hombres, SAPSII 33[24-42] y SOFA 5[3-7]. Comorbilidades:
obesidad (50 pacientes,36%) e HTA (49 pacientes,35%). Valores al ingreso: PaFiO2 174[140-253], compliance estática
37[31-47] y driving pressure 11[9-13]. 139 pacientes fueron extubados,
47(33.8%) fracasaron, 11 de ellos (23.3%) fallecieron en UCI.
Comparaciones E vs F respectivamente: días
analgesia (8[6-10] vs 15[10-20], p=0.00), días sedación (5[4-7] vs 10[6-13],
p=0.00), días bloqueantes neuromusculares (2[0-4] vs 4[1-7], p=0.00), shock
(28(30%) vs 29(62%), p=0.01), decúbito prono (13(14.1%) vs 17(36.2%), p=0.00),
PaFiO2 extubación (283 [232-323] vs 228 [195-286], p=0.001), días de VMI
(8[6-11] vs 21[12-28]p=0.00), estadía-UTI (13[9-18] vs 25[18-30]p=0.00),
mortalidad-UTI (0 (0%) vs 11(100%)p=0.00) y oxigenoterapia post-extubación
[cánula nasal (CN): 48(79.7%) vs 11(20.3%), Venturi: 2 (100%) vs 0(0%), máscara
reservorio (MR): 33(53.2%) vs 29(46.8%), cánula nasal alto flujo: 4(50%) vs 4(50%),
ventilación no invasiva: 5(62.5%) vs 3(37.5%); p=0.0063 POST HOC de Bonferroni
entre CN y MR].
En el análisis multivariado la PaFiO2 de
extubación, el shock y el decúbito prono resultaron predictores independientes
de falla (OR 0.992[IC95% 0.986-0.997], OR 2.78[IC95% 1.279-6.067] y OR 4.32
[IC95% 1.631-11.436], respectivamente).
Conclusión: Un tercio de los pacientes con COVID-19
presentó falla de extubación, la cual se asoció con más días de VMI, mayor
estadía y mortalidad en UCI. Los predictores independientes de fracaso de
extubación fueron la PaFiO2 del día de extubación, el shock y el decúbito
prono.


0077 Impacto de la oxigenoterapia de alto flujo (CAFO) en pacientes con
insuficiencia respiratoria aguda hipoxemia
secundaria a COVID-19
S Molina(1), M
Deheza(2), S Molina(2), A Oholeguy(2), M Puga-tejada(2), M Kuttler(2)
(1) Centro Gallego de Buenos Aires. (2)
Centro Gallego
Introducción: La cánula nasal de alto flujo de oxígeno
(CAFO) es una técnica utilizada en pacientes con insuficiencia respiratoria
hipoxemica (IRAH). Se analizó su efectividad en una cohorte seleccionada de
pacientes con IRAH debida a COVID 19.
Objetivo: Estudiar el resultado de CAFO en pacientes
con IRHA COVID-19, analizando éxito terapéutico, estancia hospitalaria y sobrevida.
Metodología: Estudio observacional, del tipo cohorte.
Ejecutado en la Unidad de CAFO del Centro Gallego de Buenos Aires, entre
abril-junio/2021. Se incluyó pacientes >18 años con IRAH moderada por
COVID-19. Se midió el índice de ROX al inicio, 24h y 48h. Se definió el éxito
de la CAFO como el no uso de ventilación mecánica invasiva (VMI) y fracaso su
utilización y se calculó el porcentaje de sobrevida.
Resultados: Estudiamos 34 pacientes (mediana edad 55
años, 11(32%) mujeres). Características basales (ver tabla 1). Registramos
éxito en 23 /34 (68%), con una mediana de 7 días de utilización de CAFO. El
fracaso de la CAFO se asoció a edad ≥65 años (OR 2.44; IC 95% 1.48-4.02;
P=0.002), hipertensión arterial (OR 1.40; IC 95% 1.05-1.87; P=0.0324) y tabaquismo
(OR 1.71; IC 95% 1.03-2.83; P=0.0497). El índice ROX basal, a las 24h y a las
48 h, fue significativamente mayor en el grupo con éxito. De los 11 pacientes
que fracasaron todos pasaron a UTI y requirieron VMI . La mediana de estancia
hospitalaria de los pacientes con éxito y fracaso fue 11 y 18 días
respectivamente. La sobrevida al alta en el grupo éxito fue del 100% (23/23) y
del grupo fracaso 18% (2/11) (P=0.0051).
Conclusión: La CAFO es una técnica efectiva en pacientes
con IRAH COVID 19, reduciendo el uso de VMI y la estancia hospitalaria.


0078 Características clínicas y
predictores de mal pronóstico de una cohorte de pacientes críticos con
Enfermedad por SARS-CoV2 ingresados a Unidad de Cuidados Intensivos
MC Palacio(1), M
Chamadoira(1), JC Medina(1)
(1) Sanatorio Anchorena Itoiz
Introducción: La Enfermedad por SARS-CoV2 grave desarrolla
un cuadro caracterizado por neumonía intersticial bilateral que puede
evolucionar a fallo respiratorio y aumento de la respuesta inflamatoria
sistémica. En estudios post mortem se describe infección vírica directa celular
con endotelitis difusa, disfunción microvascular, trombosis y microangiopatía.
Objetivos: Describir las características clínicas y
epidemiológicas de pacientes ingresados por la COVID-19 grave, parámetros de la
ventilación, y predictores de evolución o muerte de esta población.
Material y metodos: Se realizó un análisis descriptivo, de corte
trasversal de 230 pacientes con enfermedad por SARS-CoV2 ingresados de forma
consecutiva a una Unidad de Cuidados Intensivos desde abril 2020 hasta julio
2021.
Las variables continuas fueron expresadas
como mediana y RIC o media y DS según su distribución.
Se realizó un modelo de regresión
multivariable, análisis bivariado utilizando STATA 13.0.
Resultados: La mortalidad global de UCI fue de 40%. La
mediana de edad fue de 58.3 años (SD+-13) y el 34% sexo femenino.
El 67 % (n = 155) de los pacientes
requirieron asistencia ventilatoria mecánica (AVM).
La mortalidad de los pacientes ventilados fue
de 60 % (n= 93).
La mediana de días de internación en UTI fue
de 12 días (RIC 6-22)
En relación a los parámetros ventilatorios la
mediana de VT fue de 6.6 ml/k (RIC 6.1-7), presión meseta de 22 (RIC 20-24),
PEEP 10 (8-12), delta P 11 (9-13) y compliance 36 (30-43). Se observó una
diferencia significativa tanto en el delta P como en la compliance estática.
El 95% recibieron corticoides, el 91.7%
anticoagulación y 81% plasma de convaleciente. Se realizo maniobra precoz de
PRONO en el 96% de los pacientes.
Conclusión: Los predictores de mal pronóstico en términos
de necesidad de requerimiento de AVM o mortalidad fueron la edad, la diabetes y
la obesidad. Estos parámetros fueron coincidentes para ambos desenlaces (AVM y
mortalidad).
0079 DELIRIO ASOCIADO A
VENTILACIÓN MECÁNICA ASISTIDA EN UNA UNIDAD DE CUIDADOS CRÍTICOS SANTAFESINA
HA Armandola(1), NA
Prazenica(2), MJ Salomon(2)
(1) Dr. Jose María Cullen. (2) Sanatorio San
Geronimo
Introducción: El delirio es una disfunción cerebral
asociada a mayor mortalidad, mayor tiempo de ventilación mecánica (VM), tiempo
extendido en cuidados intensivos (UCI), mayor duración de estadía hospitalaria
(EH) y trastornos cognitivos posteriores; también incremento en costos
sanitarios.
Objetivo: Establecer la prevalencia del delirio,
identificar predictores para su desarrollo y mortalidad en UCI del Sanatorio
Privado San Gerónimo (SPSG) de Santa Fe, Argentina.
Materiales y métodos: Estudio de cohorte pacientes internados en
las UCI, con requerimiento de VM y diagnóstico de delirio. Se utilizó Richmond
Agitation Sedation Scale (RASS) y una versión en español del CAM-UCI para
identificar delirio. Las variables estudiadas fueron historial médico,
variables atribuidas a la internación y VM, y tipo de delirio. Se utilizó
programa de análisis estadístico SPSS®.
Resultados: La prevalencia de delirio fue del 92% de los
pacientes en VM. El delirio fue clasificado como: 58% hipoactivo y 42%
hiperactivo. La mortalidad en nuestro estudio fue del 80%, en contraste con la
mortalidad 0% de los no delirados. No se halló relación significativa entre el
tipo de delirio presentado y la edad (p= 0,722), sexo (p= 0,828). El promedio
de duración de días en VM es de 14.3 días para los pacientes con delirio y 8.9
para los no delirados. En cuanto a la EH los pacientes que sufrieron delirio
tuvieron 17,5 días más internados en promedio.
Conclusión: Se pudo determinar una mayor tasa de
mortalidad y EH en el grupo delirio No se obtuvieron datos estadísticamente
significativos en relación a factores de riesgo, sedoanalgesia y uso de
corticoides/neurolépticos, así como tampoco score de ingreso con mortalidad. De
acuerdo a los datos obtenidos, se debería hacer más énfasis en la detección
rutinaria del delirio, ya que influye en días de VM y, consecuentemente, de
internación y mortalidad.


0080 DISFUNCIONES NEURO
ENDOCRINAS DEL SODIO EN TRAUMA CRANEAL Y SU IMPACTO EN PRONOSTICO Y MORTALIDAD
EN UNA UCI DE IV NIVEL
LA Dulcey
Sarmiento(4), LM Martinez Martinez(1), GA Dominguez(2), DM Villamizar
Olarte(3), R Caltagirone(4), ER Espinoza Silva(2), JF Camacho(2)
(1) Universidad de Santander. (2) Universidad
de Bucaramanga. (3) Universidad Industrial de Santander. (4) Universitario de
Los Andes
Objetivos: Establecer el papel pronóstico de las
alteraciones del sodio sérico durante los primeros siete días en los pacientes
con diagnóstico de trauma cráneo encefálico severo, ingresados en el área de
emergencia adultos de una UCI de IV nivel, periodo de Junio 2017 a Julio del
2018.
Materiales y Métodos: Estudio prospectivo, de campo y corte
longitudinal. Se seleccionaron aquellos pacientes mayores de 18 años con
diagnóstico de traumatismo cráneo encefálico, se evaluaron diabetes insípida,
secreción inapropiada de antidiurética y cerebro perdedor de sal en cada
paciente integrante de la muestra.
Resultados: 103 pacientes, 90,6% hombres y 9,4% mujeres,
la media de edad fue 25,8 años, el mayor grupo etario correspondió a los
menores de 30 años, 79 (76,9%), los accidentes de tránsito fueron la principal
causa de traumatismo cráneo encefálico 79 (76%), el edema cerebral fue el
principal hallazgo tomografico, todos los hallazgos neurotomograficos mostraron
significancia estadística. Se presentaron los 3 tipos de trastornos
neuroendocrinos relacionados con el sodio, siendo diabetes insípida el más
frecuente. La mortalidad total fue de 22 (22,63%) pacientes de 103.
Intervenciones neuroquirurgicas se realizaron en 10 pacientes con una
mortalidad de 8 (80%), (p <0,001). El puntaje Glasgow en el grupo de vivos
fue de 9,7 en comparación a 6,3 puntos en el subgrupo de fallecidos
(p<0,001).
Conclusión: Existe una mayor mortalidad asociada a las
alteraciones del sodio, la mayor asociación correspondió a la diabetes
insípida, por lo que es vital manejar adecuadamente dichas alteraciones.
0081 Predictores de desenlaces
diarios en ventilacion mecanica en pacientes criticos COVID-19
M Baz(1), J
Pietropinto(2), M Rodriguez(2), P De Los Santos(2), M Chiarella(2), G Perez(2),
N Di Trapani(2), J Facal(3)
(1) De Clínicas y Británico. (2) Británico.
(3) Maciel y Británico
Introducción y objetivos: Dado su rol debatido, el objetivo del trabajo
fue evaluar la capacidad predictiva de los parámetros clínicos, de laboratorio
y de mecánica respiratoria sobre los desenlaces clínicos cotidianos en
pacientes críticos COVID-19 en ventilación mecánica invasiva.
Métodos: Estudio: clínico – fisiológico,
retrospectivo. Pacientes: críticos COVID-19 en asistencia respiratoria mecánica
invasiva. Medidas. Patronímicas. Factores predictores: linfocitosis, D dímeros,
LDH, ferritina, PCR, procalcitonina, fibrinogenemia, PEEP, presión pico,
presión plateau, complacencia estática del sistema respiratorio. Desenlaces:
radiológicos (ImageJ®, NIH, Bethesda, USA), gasométricos (PaO2, PaFiO2, PaCO2,
cociente respiratorio – marcador de espacio muerto fisiológico). Ética. Se
contó con el aval institucional. Estadística. Los datos se analizaron de manera
descriptiva y analítica según correspondiera, y se analizó la asociación entre
variables continuas por análisis de correlación de Pearson o Spearman según correspondiera.
Se consideró significativo un valor de p<0.05.
Resultados: En los primeros 6 pacientes críticos COVID-19
asistidos (edad (años) 66.8±5.1, sexo (M/F) 5/1, comorbilidades (Charlson)
4.0±1.4, APACHE II score 27.4±11.2, estadía en la Unidad (días) 36.5±4.8,
sobrevida 4/6), se identificaron 76 eventos desenlace, de los que finalmente se
lograron analizar 46 por la calidad de la radiografía de tórax. Se encontró una
correlación positiva entre la PEEP y el área radiológica comprometida (R=0.40,
p=0.015), pero también con el aumento de la PaCO2 y del cociente respiratorio
(R=0.5, p=0.002 y R= 0.45, p=0.007, respectivamente), y una correlación
negativa entre la PEEP y PaO2/FiO2 (R=-0.37, p=0.027) (ver figura). No se
encontró asociación con otras variables clínicas o humorales.
Discusión y conclusiones: En los pacientes críticos COVID 19 se
encontró un aumento del espacio muerto fisiológico y peoría del intercambio
gaseoso al aumentar la PEEP. No se encontró asociación entre los parámetros
clínicos y de laboratorio con los desenlaces radiológicos y de intercambio
gaseoso. Será necesario buscar nuevos biomarcadores predictores de desenlaces
en éstos pacientes.

0084 EPIDEMIOLOGÍA DE LOS
PACIENTES EN PANDEMIA COVID EN LA
TERAPIA INTENSIVA DEL HOSPITAL PIROVANO
C Balasini(1), C
Balasini(2), JG Valido(2), CDV Barrios(2), A Feldman(2), A Sirino(2), A
Lugo(2), F Rios(2), L Macchiavello(2), JM Morales(2), L Abedin(2), D Denis(2),
F Luna(2), C Vanini(3), F Hermida(2), V Lischetti(4), P Moltrasio(2), P
Lago(2), P Falvo(3), R Pereyra(2), C Lawdansky(2), A Agustin(2), F Costa(4), R
Costabile(2), A Milla Lopez(2), M Ragazzoli(2), G Smurra(2), W Argana Montan
(1) San Martín- Pirovano. (2) Dr. Ignacio
Pirovano. (3) Dr. Ignacio Pirovano. (4) Dr. Ignacio Pirovano
Introducción: Se presenta la experiencia de pacientes
COVID-19 en la UTI Pirovano
Objetivo primario: Mortalidad a los 28 días;
Objetivos secundarios: conocer las variables epidemiológicas, comorbilidades,
gravedad al ingreso y complicaciones, y comparar los sobrevivientes y los no
sobrevivientes.
Materiales y métodos: Estudio de cohorte retrospectivo en pacientes
>18 años con COVID-19 en UTI del Hospital Pirovano desde 1/3/30 al 30/8/21.
Variables Dia 1: demográficas, comorbilidades, fallas orgánicas y escores. Al
alta días de internación en UTI, días de ventilación mecánica y mortalidad.
Se comparan los datos con c2, prueba T o Wilcoxon, según corresponda. Se realiza análisis
multivariable. Una p <0,05 se consideró significativa.
Resultados: Ingresaron 265 pacientes COVID-19, ARM 90%,
edad 59 ± 14 años, masculinos 63%, comorbilidades 82%, APACHE II 13 ± 5, shock
al ingreso 31% y distrés 38%.
Los no sobrevivientes eran mayores, estaban
más graves al ingreso por el APACHE y el SOFA, tenían más comorbilidades, y más
complicaciones.
Predictores de mortalidad al ingreso a UTI:
Edad mayor a 60 años OR 3.8 p 0.001, Shock al ingreso OR 2.7 p 0.0901, ARM OR
6.1 p 0.0001, APACHE II mayor a 18 OR 2.4 p 0.025, Obeso OR 0.32 p 0.0001. El
modelo calibra y discrimina.
La mortalidad a los 28 días 45%, en los
ventilados fue del 57% y a los 28 días 52%.
Conclusiones: Los factores predictores al ingreso de la UTI
fueron: edad mayor de 60 años, shock al ingreso, ARM, APACHE II mayor a 18 y
obesidad.
Con una alta gravedad al ingreso y alta mortalidad. Los pacientes
sobrevivientes presentaron una larga estadía de internación en Terapia
Intensiva por complicaciones infecciosas y debilidad muscular.


0085 ¿Puede el biomarcador del
antígeno Ca 19-9 ser útil y eficaz para prevenir la nefropatía obstructiva?
M Shida(1), M
Queiroz(2)
(1) Universidade Nove de Julho. (2) Uninove
Introducción: La nefropatía obstructiva se presenta en
todas las edades, desde la infancia hasta la tercera edad. En los niños es la
principal causa de insuficiencia renal crónica. A pesar de un diagnóstico
intrauterino temprano mediante ecografía prenatal, la determinación del
pronóstico de la gravedad de la lesión renal aún no está bien establecida. La
identificación de marcadores para definir la progresión del daño renal jugaría
un papel importante. Se han descrito niveles elevados de antígeno CA19-9 en la
obstrucción urinaria.
Objetivo: Evaluar hasta qué punto este biomarcador de
fácil análisis podría ayudar en el diagnóstico precoz de uropatías obstructivas
con potencial daño renal.
Materiales y métodos: 46 ratas Wistar hembras divididas en cinco
grupos con diferentes patrones de obstrucción parcial del tracto urinario: control; OIV: obstrucción infravesical; OIVd: obstrucción infravesical con reversión y
alivio de la obstrucción al séptimo día postoperatorio; OUu: obstrucción ureteral unilateral; OUb: obstrucción ureteral bilateral. La
determinación inicial de CA 19-9 y creatinina en orina y sangre se realizó
antes de la cirugía (T0) y después de 14 días (T1). El grupo OIVd se sometió a
una nueva colecta antes del alivio de la obstrucción (Ti). Comparamos los
valores de T1, Ti y T0.
Resultados: Hubo un aumento en la concentración urinaria
de CA19-9 en todos los animales con obstrucción urinaria (Fig 1A). En los
grupos OIV, OUb y OIVd, la elevación de T1 y Ti, alcanzó significación
estadística (p <0,05) en relación con el valor de T0. El alivio de la
obstrucción en el grupo OIVd promovió una reducción (p< 0,05) del CA 19-9
urinario (Fig.1B).
Conclusiones: La concentración urinaria de CA19-9 aumentó
en presencia de obstrucción del tracto urinario; el desempeño del CA19-9
urinario como marcador fue similar en las obstrucciones infravesicales y
ureterales bilaterales. Hubo una disminución en la concentración urinaria de
CA19-9 después del alivio de la obstrucción.

0086 MORTALIDAD EN SEGUNDA OLA
COVID 19: EXPERIENCIA DE UNA UNIDAD DE TERAPIA INTENSIVA DE CABA
MA Flores Montes(1),
ME Ibarra(2), J Huarachi(2), M Noceto(3), T Jorge(2), C Cabassi(2), C
Vargas(2), R Fierro(2), Y Androszczuk(2), N Campanicci(2), D Placenti(2), L
Mendez(2), J Fernandez(2), C Dominguez(2), E Cunto(2)
(1) Hospital F. Muñiz. (2) Muñiz. (3) Muñiz
Introducción: Durante la evolución de la pandemia se
observaron dos momentos con picos epidemiológicos correspondientes a las
denominadas primera y segunda ola de contagios de SARS COV 2 y su expresión
clínica COVID 19.
Esta es parte de la experiencia realizada
durante el periodo comprendido entre 01/01/21 hasta el 30/06/21. En una de las
unidades de Terapia Intensiva de CABA.
Materiales y métodos: Estudio retrospectivo observacional
descriptivo sobre la mortalidad. Se tomaron datos estadísticos de los pacientes
egresados en ese periodo de tiempo, se los dividió por grupo etario en 4
grupos, grupo A de 18 a 49 años (19 p), grupo B de 50 a 64 años (37 P), grupo C
de 65 a 74 años (14 p) y grupo D mayores de 75 años (9 p). el promedio de edad
fue de 58 años y la relación M/F fue 2.29/1.
Se analizó la mortalidad global, mortalidad
de los pacientes que requirieron ventilacion mecanica (VM), se calculó el
promedio de APACHE II para cada grupo y se calculó el promedio de días de
enfermedad hasta su ingreso en terapia intensiva.
Resultados: Se analizaron los datos de 79 pacientes y se
calculó la mortalidad global la cual fue 37.97%(30)
La mortalidad en VM para Grupo A fue 71.7%
(11p; 8 óbitos) en el grupo B fue 45.5% (22p; 10 óbitos) en el Grupo C 57.1%
(7p; 4 óbitos) Grupo D 100% (5p; 5 óbitos).
El promedio de días en VM de pacientes
egresados fue de 13.7. Y en óbitos fue de 15.3 dias.
El APACHE II promedio fue de 19.52 puntos y
en óbitos fue de 20.51 puntos.
El promedio de días de evolución de
enfermedad hasta el ingreso en terapia intensiva fue, grupo A 8.8 días, grupo B
11 dias, grupo C 10.2 días y grupo D 8.6 días.
Conclusión: El análisis estadístico comparativo sobre
mortalidad global entre los grupos etarios no arrojo ninguna significancia
estadística.
No encontramos frente a una enfermedad con
fisiopatología en base a la respuesta inflamatoria, aunque aún no está
totalmente esclarecida y con una mortalidad variable. Los adultos mayores de 75
años tienen una mortalidad en VM superior al resto de los grupos etarios.
0087 Efectos clinico
fisiologicos del decubito prono en pacientes despiertos con insuficiencia
respiratoria severa por COVID 19 bajo oxigenoterapia por canula nasal a alto
flujo
M Baz(1), S
Pereira(2), P Carnelli(2), S Pereira(2), G Li(2), F Grunberg(2), M Baz(2)
(1) De Clinicas y Britanico. (2) De Clinicas.
Introducción y objetivos: El decúbito prono en pacientes despiertos con
insuficiencia respiratoria severa por COVID 19 bajo cánula nasal a alto flujo
parece efectivo, aunque sus mecanismos de acción aún no se conocen en
profundidad. El objetivo del trabajo fue evaluar los efectos fisiológicos
agudos de la técnica en este tipo de pacientes.
Métodos: Estudio. Intervencionista, fisiológico sobre
los efectos agudos (30 minutos) del decúbito prono. Pacientes. Pacientes con
insuficiencia respiratoria severa con requerimiento de oxigenoterapia a alto
flujo que aceptaran participar del trabajo. Medidas. Patronímicas, clínicas
(frecuencia respiratoria, cardíaca, SpO2% e índice ROX, ecográficas (Siemens®,
L150, Co, USA) (líneas B apicales y basales, excursión diafragmática). Ética.
Se contó con el aval institucional. Estadística. Se analizaron las variables en
estudio antes y después del decúbito prono mediante pruebas de t pareadas o
test de Friedman según correspondiera. Se consideró significativa una
p<0.05.
Resultados: Se estudiaron 10 pacientes, edad (años)
65.0±23.4, sexo (M/F) 6/4, comorbilidades (Charlson) 1.9±0.8, APACHE II score
5.4±2.3, compromiso radiológico (ImageJ®, NIH, Bethesda, USA) área pulmonar
132137±22358, densidad (RawIntDen) 5328292±1080158. Las variables en estudio
antes y después del decúbito prono demostraron respectivamente, frecuencia
respiratoria (rpm) 33.4±4.6 vs 26.9±3.9 (p<0.05), frecuencia cardíaca (lpm)
88.5±15.5 vs 82.8±12.0 (p=0.3), SpO2 (%) 89.5±9.2 vs 95.2±5.1 (p=0.1), iROX
4.5±0.72 vs 6.0±0.9 (p<0.05), Disnea (Borg) 2.3±0.7 vs 1.6±1.4 (p=0.7),
líneas B en línea axilar anterior apical 2.3±0.7 vs 1.2±1.1 (p<0.05), líneas
B en línea axilar anterior basal 1.9±1.3 vs 0.8±0.9 (p<0.05) y excursión
diafragmática (mm) 20.7±7.7 vs 29.7±7.5 (p<0.05).
Discusión y conclusiones: El decúbito prono en pacientes con
insuficiencia respiratoria severa por COVID-19 bajo cánula nasal a alto flujo
determinó una mejoría de la frecuencia respiratoria y oxigenación, y una mejor
ventilación de los sectores ventrales del pulmón. Se postula una posible
mejoría de la relación ventilación-perfusión como mecanismo de acción de esta
intervención.

0088 Bioseguridad del personal
de salud durante la asistencia de pacientes hospitalizados por insuficiencia
respiratoria por COVID 19. Estudio de seroprevalencia
M Baz(1), C
Casaravilla(2), F Silveira(2), N Deshpande(3), J Facal(4), G Gonzalez
Sapienza(2), M Baz(5)
(1) De Clinicas y Britanico. (2) Instituto de
Higiene. (3) Instituto Peter
Doherty. Melbourne. Australia. (4) Maciel y Britanico. (5) Universidad Laval (Canadá) e Instituto
Peter Doherty (Australia)
Introducción y objetivos: El personal de salud que asiste a los pacientes
sintomáticos afectados por la COVID-19 está expuesto potencialmente a contagio.
Existen reportes de la seroprevalencia para COVID-19 en personal de salud en
otros medios, con diversa planificación de contingencia para la pandemia. No
existen estudios publicados en el personal de salud en Uruguay. El objetivo
primario del trabajo es medir la seroprevalencia para COVID-19 en el personal
de salud, en forma secundaria estudiar la distribución de seroprevalencia en
tres centros hospitalarios con una tasa de ocupación de camas por pacientes
COVID-19 diferente, y finalmente identificar el posible origen del contagio en
el ambito asistencial o extra asistencial.
Métodos: Instituciones. (Hospital de Clínicas – HC -
con casi nula ocupación de camas por COVID-19 al momento del estudio, Hospital
Británico – HB - con una tasa de ocupación de camas intermedia, y Hospital
Español – HE - con una tasa de ocupación de camas por COVID-19 casi total).
Sujetos. Se estudiaron con serologia para SARS-COV-2 (ELISA para IgG de
fabricacion nacional) los funcionarios de las tres instituciones que estuvieran
en contacto de diferente grado con pacientes COVID-19 y sin noción de contagio
previo por prueba de PCR o serológica. Aquellos sujetos con serología positiva
para COVID-19 se interrogaron sobre su posible noción de contagio. Se
analizaron los datos con estadística descriptiva y analítica de asociación
entre variables según correspondiera (por ejemplo para datos cuantitativos
continuos de distribución normal promedio y desvío estándar y correlación de
Pearson). La participación fue voluntaria y el protocolo fue aprobado por los
Comité de Ética Institucional. Se utilizó software Prism© (Graphpad, Ca, USA).
Se consideró significativo un valor de p<0.05.
Resultados: Se estudiaron 757 funcionarios de salud, con
una seroprevalencia global para COVID-19 del 4.7%. Los resultados por Hospital
fueron 2.1, 4.7 y 7.3% para HC, HB y HE respectivamente. Los títulos de los
anticuerpos IgG (densidad óptica) fueron 78 [29,243], 235 [64,400] y 27
[20,105] respectivamente. Interrogados los funcionarios seropositivos
reconocían como posible fuente de contagio el ámbito extra asistencial en un
88%.
Discusión y conclusiones: La seroprevalencia para COVID 19 en
funcionarios de la salud fue baja y similar a la reportada en otros medios. Si
bien existe relación entre la seroprevalencia y la tasa de ocupación de camas
COVID–19 en cada Hospital, los funcionarios positivos reconocían en el
interrogatorio como el posible origen del contagio fuera del ámbito
asistencial.


0089 IMPACTO EN MORTALIDAD DE
LAS ALTERACIONES DINAMICAS DEL HIERRO Y NIVELES DE HEMOGLOBINA Y SU IMPACTO EN
MORTALIDAD EN PACIENTES CON SINDROME CORONARIO Y COVID 19
LA Dulcey
Sarmiento(4), JS Theran Leon(1), DM Villamizar Olarte(2), LM Martinez
Martinez(3), GA Dominguez(1), R Caltagirone(4)
(1) Universidad Autonoma de Bucaramanga. (2)
Universidad Industrial de Santander. (3) Universidad de Santander. (4)
Universidad de los Andes.
Introducción: Las alteraciones del perfil ferrocinético, se
asocian con mayor mortalidad en procesos infecciosos de cualquier indole
desconociéndose actualmente el pronóstico a corto y largo plazo de los
pacientes con COVID 19.
Métodos: Estudio observacional analítico prospectivo
de cohorte, para determinar el valor pronóstico de las alteraciones del perfil
ferrocinético en pacientes con diagnostico de COVID 19 ingresados a una
institucion de tercer nivel entre Junio 2020 y Junio 2021.
Resultados: Del total de la muestra de 306 pacientes el
principal género afectado fue el masculino, en edades superiores a 60 años.
Entre las comorbilidades asociadas la principal fue la hipertensión arterial
con 63,1%. La alteración más frecuente de los parámetros del perfil ferrocinético
estudiados, fue el déficit de hierro, hallado en 32,7%. Niveles bajos de
hemoglobina estuvieron presentes en 84 de los 306 pacientes. La mayoria
presento infarto agudo sin elevacion del ST. Ocurrieron estas alteraciones en
85,4% de los fallecimientos, los cuales presentaron niveles bajos de hierro sin
anemia. La mortalidad atribuida fue principalmente a infarto con elevacion del
ST (RR 3.2) en comparacion a sin elevacion del ST (RR 2.1) mostrando
significancia estadistica al comparar dichas variables p < 0,05.
Conclusiones: el déficit de hierro es una comorbilidad muy frecuente con una
relación de mortalidad elevada, asimismo el descenso de la hemoglobina
posterior al ingreso hospitalario se relacionó con mortalidad, por lo que ambos
parámetros deberían tomarse en consideración al ingreso en pacientes con
diagnostico de COVID como indicador de mortalidad a corto plazo.
0092 COMPORTAMIENTO DEL P50 EN
LOS PACIENTES CRITICOS Y SU RELACION CON LA MORTALIDAD
AB Rojas(1), M
Dextre Primo(1), M Andreotti(1), D Reynoso(1), JC Vergottini(1)
(1) Hospital Nacional de Clinicas
Introducción: La afinidad del Oxígeno (O2) por la
Hemoglobina (Hb) puede ser evaluada a través de la curva de disociación de la
Hb y de la P50. Esta es la Presión Arterial de O2 en la cual el 50% de la Hb
está saturada de O2, e indica el grado de afinidad entre ambos. Los factores
que aumentan la afinidad de la Hb, disminuyen la P50, mientras que los factores
que la disminuyen conducen a un aumento de la P50. En los pacientes críticos,
existiría un incremento de la P50, dada la hipoperfusión tisular.
Objetivos: a) Determinar la relación de los valores de
la P50 con la mortalidad en los pacientes críticos; b) Correlacionar los
valores de pH, ácido láctico y Apache II con la P50.
Materiales y métodos: Estudio observacional, prospectivo y
longitudinal. Criterios de Inclusión: a) Edad ≥ 18 años; b) toma de muestras de
gases arteriales y ácido láctico dentro de las 24 hs del ingreso a UTI; d)
Cálculo del APACHE II al ingreso. Criterios de exclusión: a) Reingresos a UTI;
b) Pacientes provenientes de Sala.
Resultados: Se incluyeron 85 pacientes, el 61% (n=52)
fueron masculinos y un 39 % (n=33) femeninos. La mediana de edad fue de 73 ± 13
años. La diferencia de los valores de P50 y entre los que fallecieron y los
sobrevivientes fueron (32,8±7,4 mmHg vs 29,3±4,5 mmHg) fue estadísticamente
significativa (p<0,0075). La correlación entre los valores de la P50 con el
Apache II, fue estadísticamente significativa (p<0,0001, Rho de Spearman:
0,53), al igual que con los valores de pH (p <0,0001, Rho de Spearman:
-0,82) y los niveles de ácido láctico (p<0,0001, Rho de Spearman: 0,79).
Conclusiones: La elevación de la P50 se asoció a mayor
mortalidad. La P50 se correlacionó con Apache II elevado, hiperlactacidemia y
caída del pH.


0093 Desvinculación de la
ventilación mecánica invasiva en pacientes con neumonía por Sars-CoV-2
G García(1), L
Gimenez(1), M Garello(1), G Avaca(1), V Barbaresi(1), J Delle Carpini(1), S
Gigena(1), P Gimenez(1), A Goldberg(1), E Steinberg(1), G Nahmias(1), M
Ojeda(1), M Berté(1), A Santa María(1), N Segura(1), D Noval(1), S Fredes(1), I
Santiago(1)
(1) Sanatorio La Trinidad Mitre
Introducción: Existe escasa evidencia respecto al proceso
de desvinculación de la ventilación mecánica invasiva (VMI) de los pacientes
con COVID-19 en la Unidad de Terapia Intensiva (UTI).
Objetivo: Describir las características y evolución de
pacientes con COVID-19 que requirieron VMI en la UTI del Sanatorio Mitre según
las categorías de weaning propuestas por WIND.
Materiales y Método: Estudio de cohorte retrospectivo. Se
incluyeron pacientes que requirieron VMI más de 24 hs, con diagnóstico de
neumonía por SARS-CoV-2 entre junio 2020 y julio 2021. Se compararon todas las
variables entre los distintos grupos de weaning, con un nivel de significancia
estadística de p=0.05.
Resultados: Se incluyeron 155 pacientes. Un 30.32% (n=47)
no iniciaron proceso de destete (grupo no weaning). Un 30.97% (n=48) se
clasificaron como G1, el 20% (n=31) como G2, el 11.61% (n=18) como G3a y un
7.10% (n=11) G3b. Las características basales se presentan en la Tabla 1, las
variables de VMI, sedación, analgesia y delirium en la tabla 2.
Conclusión: Un alto porcentaje de pacientes nunca experimentó
un intento de separación. Este grupo fue más añoso, presentó mayor severidad al
ingreso y mortalidad en UTI. En los que comenzaron el proceso de weaning la
mayor parte fue desvinculado en el primer intento.
No se observaron diferencias estadísticas
entre los grupos con respecto a variables iniciales de oxigenación y compliance
del sistema respiratorio, sin embargo los pacientes del grupo NW presentaron
mayor cantidad de días de PaO2/FiO2 <200, y mayor driving pressure al día
uno.
No existió diferencia de días hasta el inicio
de weaning entre grupos. La presencia de coma, uso de sedación y analgesia fue
similar entre estos, con mayor días de uso en el grupo G3.


0094 COMPARACIÓN ENTRE
PACIENTES INTERNADOS EN UTI DURANTE LA PRIMERA Y SEGUNDA OLA EN UN HOSPITAL
GENERAL DE AGUDOS EN LA CIUDAD AUTONOMA DE BUENOS AIRES (CABA), ARGENTINA
V Mandich(1), D
Chiacchiara(1), M Bravo(1), A Pilipec(1), S Grimaldi(1), J Cotez(1), V
Paniouk(1), H Arevalo(1), O Escobar(1), A Herbas Pozo(1), S Perez Flach(1), A
Aimar(1)
(1) Santojanni
Introduccion: En la literatura se describe la dinámica de
la actual pandemia en contexto de países de altos ingresos, pero la
información, características y evolución de la misma en países con sistemas de
salud menos desarrollados es escasa.
Objetivos: Comparación entre pacientes internados en
Unidad de Cuidados Intensivos (UCI) con soporte ventilatorio, durante la
primera y segunda ola de COVID 19 en un hospital de la Ciudad de Buenos Aires.
Material y Métodos: Estudio observacional de cohorte prospectivo
en adultos, con diagnóstico de COVID-19 por PCR-RT, en UCI. Las variables se
expresaron como media, desviación estándar, mediana, rango intercuartílico,
frecuencia absoluta y porcentaje. La comparación se realizó mediante
Chi-Cuadrado, prueba de Fisher, Test de la mediana y t de Student según
correspondiera. Nivel de significancia: p <0.05.
Resultados: Reclutados 44 pacientes durante la primera
ola, y 80 en la segunda, se observaron en la segunda ola diferencias
significativas para edad (60 vs 68 [IC 95%: 8(5;12)]; p < 0.01), días
previos (9 vs 4.5 [IC 95%: -5(-6; -3)]; p < 0.01), duración de VM (10 días
vs 16 [IC 95%: 7 (4:11)]; p <0.01), Ferritina (1450 mcg/l vs 941 mcg/l [IC
95%: -227(-537; 18]; p 0,04) y uso de antibióticos (97% vs 45% p <0.01). No
hubo diferencia en la mortalidad (66% vs 78% p 0.14) pero si en sus causas
primarias; siendo más frecuente hipoxemia/sepsis en la segunda ola (40% vs 3.4%
p <0.01) e Hipoxemia/falla multiorgánica en la primera (28% vs 4% p
<0.01). Durante la segunda ola se confirmo la presencia de variante Gamma
mediante secuenciación.
Conclusiones: Durante la segunda ola de la pandemia, debida
a la variante Gamma, en nuestra unidad ingresaron mayor cantidad de pacientes,
más jóvenes, con mayor tiempo de evolución, menor tiempo de VM y mayor
respuesta inflamatoria, sin diferencia en la mortalidad, aunque sí en sus
causas.
0095 AUMENTO DEL USO DE
ANTIMICROBIANOS EN UCI DURANTE LA PANDEMIA EN UN HOSPITAL DE LA CIUDAD AUTÓNOMA
DE BUENOS AIRES (CABA), ARGENTINA
V Mandich(1), D
Chiacchiara(1), M Bravo(1), A Pilipec(1), S Grimaldi(1), J Cotez(1), V
Paniouk(1), H Arevalo(1), O Escobar(1), S Perez Flach(1), A Herbas Pozo(1), A
Aimar(1), K Zañudo(1)
(1) Santojanni
Introducción: La infección por SARS-CoV-2 nos enfrenta con
múltiples desafíos. Uno de ellos es indudablemente el discernimiento del uso
adecuado de los recursos, entre los cuales los antibióticos (ATB) son tal vez
uno de los más valiosos. La inadecuada prescripción de ATB podría asociarse a
un aumento en las tasas de resistencia antimicrobiana. En la literatura se
describe la dinámica de la actual pandemia en contexto de países de altos
ingresos, pero la información, características y evolución de la misma en
países con sistemas de salud menos desarrollados es escasa.
Objetivos: Comparación del uso de antimicrobianos entre
pacientes internados en Unidad de Cuidados Intensivos (UCI) con soporte
ventilatorio, durante la primera y segunda ola de COVID-19 en un hospital de la
Ciudad de Buenos Aires.
Material y Métodos: Estudio observacional de cohorte prospectivo
en adultos, con diagnóstico de COVID-19 por PCR-RT, en UCI. Las variables se
expresaron como media, desviación estándar, mediana, rango intercuartílico,
frecuencia absoluta y porcentaje. La comparación se realizó mediante
Chi-Cuadrado, prueba de Fisher, Test de la mediana y t de Student según
correspondiera. Nivel de significancia: p <0.05.
Resultados: Reclutados 44 pacientes durante la primera
ola, y 80 en la segunda, se observaron en la segunda ola diferencias
significativas para el uso de antibióticos (97% vs 45% p <0.01). Durante la
segunda ola se confirmo la presencia de variante Gamma mediante secuenciación
genómica de muestras de hisopado nasofaríngeo.
Conclusiones: La actual pandemia por Covid 19 evoluciona en
sucesivas olas, las cuales llevan a cambios en los perfiles de pacientes
ocasionando nuevos desafíos e impacto en el sistema de salud y en los
profesionales tratantes. Es necesario identificar estos cambios para fortalecer
a los mismos y evitar nuevas situaciones problemáticas como el aumento del uso
de antibióticos y el potencial incremento de la resistencia bacteriana.
0096 PREVALENCIA DE
INSUFICIENCIA RENAL AGUDA EN PACIENTES INGRESADOS EN UTI CON NEUMONÍA SEVERA
POR SARS-COV2
TE Lujan, AS
Piga(1), CS Senger(1)
(1) Clinica Modelo SA
Introducción: El SARS-CoV-2 es una infección pulmonar que
puede además afectar la función renal. El objetivo de este estudio fue
establecer la prevalencia de insuficiencia renal aguda (IRA), en pacientes
ingresados en la Unidad de Terapia Intensiva (UTI) de la Clínica Modelo de la
ciudad de Paraná, partiendo de la hipótesis de que padecer neumonía COVID 19
grave se relaciona con IRA. Métodos: Realizamos un estudio de cohorte, retrospectivo, de los pacientes
ingresados en UTI por neumonía COVID19, en el periodo entre Agosto 2020 y
Agosto 2021, mayores de 18 años, con diagnóstico por RT-PCR, con neumonía
severa por criterios de Ministerio de Salud de la Nación, basados en ATS/IDSA.
Resultados: 28 pacientes cumplieron con los criterios de
inclusión (n = 28). El 67,8% fueron hombres (n = 19) y 32,2% mujeres (n = 9).
La edad de los pacientes abarcaron un rango entre 25 y 85 años, siendo la edad
promedio de 58,2 años. La prevalencia de IRA según criterios AKIN fue del 89,3%
(n = 25), de los cuales el 32,1% (n = 9 ) se clasificaron en AKIN 1, 32,1% (n =
9) en AKIN 2, y el 25% AKIN 3 (n = 7). La prevalencia de pacientes con criterio
de terapia de reemplazo renal sustitutiva fue del 14,2% (n= 4). Los días de
internación en UTI en promedio fueron de 17 días. La mortalidad de los pacientes
COVID fue del 89% (n = 25).
Conclusiones: En nuestro medio la IRA es una complicación
frecuente en pacientes con neumonía severa por SARS-CoV-2. Hay una relación
consistente entre la insuficiencia renal y la mortalidad en pacientes hospitalizados
por COVID 19. Consideramos que una muestra más grande, ayudará a establecer con
más certeza la prevalencia de esta complicación.
0097 Sensibilidad
antimicrobiana a los carbapenemes y carbapenemasas en Pseudomonas aeruginosa y
Acinetobacter baumanii en aspirados traqueales tomados de una unidad de
cuidados intensivos
M Lopez(1), ML
Cazzola(1), MS Ocampo Botana(1), MV Benito(1), M Mijalski(1)
(1) Hospital Italiano La Plata
Introducción: Pseudomonas aeruginosa (PAE) y Acinetobacter
baumanii (AB) producen neumonías asociadas al ventilador y son capaces de
adquirir resistencia a antimicrobianos y condicionar las opciones del
tratamiento antibiótico.
Objetivo: Evaluar la sensibilidad antimicrobiana(S) a
los carbapenemes (CA) y la presencia de carbapenemasas (C) en cepas de PAE y AB
aisladas de aspirados traqueales (AT) tomados en la unidad de cuidados
intensivos (UCI) del 1 de Junio de 2018 al 30 de junio de 2021.
Materiales y Métodos: Estudio retrospectivo observacional descriptivo
donde se estudio la S y tipo de C de 141 cepas de PAE y 91 de AB, provenientes
de 702 AT tomados entre el 1 de Junio de 2018 al 30 de junio de 2021 en la UCI.
La tipificación y S se realizó mediante método automatizado Phoenix y difusión
en agar por el método de Kirby-Bauer. La clasificación de tipo de C se realizo
mediante pruebas de inhibición con monodiscos de ácido borónico y EDTA, discos
combinados de meropenem DCMBrit y método inmunocromatografico RESIST-3 O.O.K.
K-SeT Britania.
Resultados: El porcentaje de PAE y AB en los períodos
relevados (P) varió entre 35% y 71%, y 25% y 51% respectivamente.
En AB la resistencia a CA fue del 100% en
todos los P, y en PAE varió entre el 37% y el 66%. Las C aisladas en AB fueron
MBL en el 15% de los aislamientos en el periodo Junio-Diciembre 2020 (1) y el
59% en Enero-Junio 2021 (2), y en PAE del 5% en el período 1 y el 2% en el
período 2.
Conclusión: Se observó aumento persistente de resistencia
a CA en todo el P tanto en PAE como en AB. Los altos niveles de resistencia en
el periodo pospandemia se debieron a la aparición de C del tipo MBL.
0098 IMPACTO DE LA VARIANTE
GAMMA EN EL INGRESO A UCI EN UN HOSPITAL DE LA CIUDAD AUTÓNOMA DE BUENOS AIRES
(CABA), ARGENTINA
V Mandich(1), D
Chiacchiara(1), M Bravo(1), A Pilipec(1), S Grimaldi(1), J Cotez(1), V
Paniouk(1), H Arevalo(1), O Escobar(1), S Perez Flach(1), A Herbas Pozo(1), A
Aimar(1), K Zañudo(1)
(1) Santojanni
En la literatura se describe la dinámica de
la actual pandemia en contexto de países de altos ingresos, pero la
información, características y evolución de la misma en países con sistemas de
salud menos desarrollados continúa siendo escasa.
Objetivos: Comparación entre pacientes ingresados en
Unidad de Cuidados Intensivos (UCI) con soporte ventilatorio, durante la
primera y segunda ola de COVID-19 en un hospital de la Ciudad de Buenos Aires.
Material y Métodos: Estudio observacional de cohorte prospectivo
en adultos, con diagnóstico de COVID-19 por PCR-RT, en UCI. Las variables se
expresaron como media, desviación estándar, mediana, rango intercuartílico,
frecuencia absoluta y porcentaje. La comparación se realizó mediante
Chi-Cuadrado, prueba de Fisher, Test de la mediana y t de Student según
correspondiera. Nivel de significancia: p <0.05.
Resultados: En la segunda ola hubo una incidencia de 69
ingresos a UCI Santojanni/100 000 ingresos a hospitales públicos de CABA;
mientras que durante la primera ola la incidencia fue 11/100 000; lo que
implica un aumento de la incidencia de admisión a nuestra UCI de 57.79 (IC95%
39.22-76.35) casos por cada 100 000 casos ingresados a hospitales públicos de
la ciudad de Buenos Aires. Durante la segunda ola se confirmo la presencia de
variante Gamma mediante secuenciación genómica.
Conclusiones: Durante la segunda ola de la pandemia, debida
a la variante Gamma, en nuestra unidad ingresaron mayor cantidad de pacientes,
lo cual significo un aumento de la carga laboral luego de un año de trabajo.
Conocer la dinámica de la actual pandemia debe ayudarnos a definir estrategias
de gestión en lo referente al recurso humano más allá del Covid para enfrentar
desafíos futuros.
0099 COMPARACIÓN DE
ANTECEDENTES Y PRESENTACION CLINICA ENTRE PACIENTES INTERNADOS EN UTI DURANTE
LA PRIMERA Y SEGUNDA OLA EN UN HOSPITAL GENERAL DE AGUDOS EN LA CIUDAD AUTONOMA
DE BUENOS AIRES (CABA), ARGENTINA
V Mandich(1), D
Chiacchiara(1), M Bravo(1), A Pilipec(1), S G(1), J Cotez(1), V Paniouk(1), H
Arevalo(1), O Escobar(1), S Perez Flach(1), A Herbas Pozo(1), A Aimar(1), K
Zañudo(1), M Minghetti(1)
(1) Santojanni
En la literatura se describe la dinámica de
la actual pandemia en contexto de países de altos ingresos, pero la
información, características y evolución de la misma en países con sistemas de
salud menos desarrollados es escasa.
Objetivos: Comparación entre antecedentes y presentación
clínica de pacientes internados en Unidad de Cuidados Intensivos (UCI) con
soporte ventilatorio, durante la primera y segunda ola de COVID-19 en un
hospital de la Ciudad de Buenos Aires.
Material y Métodos: Estudio observacional de cohorte prospectivo
en adultos, con diagnóstico de COVID-19 por PCR-RT, en UCI. Las variables se
expresaron como media, desviación estándar, mediana, rango intercuartílico,
frecuencia absoluta y porcentaje. La comparación se realizó mediante
Chi-Cuadrado, prueba de Fisher, Test de la mediana y t de Student según
correspondiera. Nivel de significancia: p <0.05.
Resultados: La presentación de la enfermedad difirió en
cuanto a la frecuencia de la disnea, siendo el síntoma prevalente en la segunda
ola (83.5% vs 56.8%, p <0.01), sin diferencias significativas entre otros
síntomas categorizados como respiratorios y musculares.
Las comorbilidades como hipertensión
arterial, diabetes, obesidad y tabaquismo no presentaron diferencias
significativas entre ambas poblaciones; pero sí lo hicieron en la primera ola
con respecto a la segunda los antecedentes de enfermedad cardiovascular (29.5%
vs 15.2%; p 0.05) y diagnóstico de enfermedad bronquial obstructiva crónica
(EBOC) (27.3% vs 8.9%; p< 0,01). Contrariamente otras patologías previas,
como HIV, hipotiroidismo, o diagnóstico de enfermedad oncohematológica; fueron
más frecuentes en la segunda ola (43% vs 22.7%; p=0.02).
Conclusiones: Durante la segunda ola de la pandemia, en
nuestra unidad ingresaron pacientes con similar presentación clínica respecto a
la primera ola, diferenciándose si los antecedentes patológicos previos.
0100 NEUMOTORAX ESPONTANEO EN
COVID 19 FACTORES DE RIESGO ASOCIADOS EN UNA UCI DE IV NIVEL
LA Dulcey Sarmiento(1),
R Caltagirone(1), DM Villamizar Olarte(2), JS Theran Leon(3), LM Martinez
Martinez(4), ER Espinoza Silva(3)
(1) Universidad De Los Andes. (2) Universidad
Industrial De Santander. (3) Universidad De Bucaramanga. (4) Universidad De Santander
Introducción: En pacientes infectados por SARS-CoV-2 la
insuficiencia respiratoria aguda es generalmente secundaria a síndrome de
dificultad respiratoria aguda. No obstante, en estos pacientes se han detectado
otras complicaciones agudas en el diagnóstico diferencial, como neumotórax
espontaneo aun en ausencia de habito tabaquico.
Descripción de casos clínicos: De una muestra de 306 pacientes con COVID-19
se encontraron 11 complicados con neumotórax espontáneo y uno de ellos, además,
con neumomediastino espontáneo, dos condiciones muy raramente asociadas con
esta infección.
Metodología: Estudio observacional analítico prospectivo
de cohorte, para determinar la frecuencia y factores asociados con Neumotorax
espontaneo o Neumomediastino en pacientes con diagnostico de COVID 19
ingresados a una institucion de tercer nivel entre Junio 2020 y Junio 2021.
Resultados: Del total de la muestra de 306 pacientes el
principal género afectado fue el masculino. Se utilizaron medidas de tendencia
central tales como media (60,8 Años), moda (40.9-80.7) y se aplicó la prueba de
Chi cuadrado para apreciar valor estadístico entre las diversas variables a
correlacionar. Al correlacionar las variables la mortalidad de los pacientes
con diagnostico de COVID ocurrio principalmente en el grupo etareo de mayores
de 60 años p < 0,0007. EPOC como antecedente p < 0,0004, indice de ROX
menor de 4.88 p < 0,0001, PAFI menor de 100 mm Hg p < 0,003. La
mortalidad encontrada fue 8 de los 11 pacientes.
Conclusiones: Aún queda por establecerse el mejor
tratamiento, su verdadera incidencia y si la existencia de estas complicaciones
en esta población de pacientes se asocia con mayor gravedad, aunque con base en
la limitada evidencia disponible en reportes de casos, la mortalidad parece ser
más alta. Es necesario realizar más estudios en este tema para dilucidar estas
incógnitas y ofrecer una mejor atención médica.
0101 Marcadores pronósticos
genéticos y plasmáticos de las formas más severas de COVID-19
F Aranda(1), M
Peralta(1), S Perés(1), V Chediack(1), A Bocassi(1), E Cunto(1), M Moiana(1), M
Fernández(1), A Lucero(1), J Chamorro(1), V Lara(1), G De Larrañaga(1)
(1) Hospital de Infecciosas F. J. Muñiz
En pacientes COVID-19, la severidad del
cuadro o el desenlace fatal han sido asociados con inflamación y coagulación
exacerbadas. Diversas comorbilidades y factores genéticos estarían directamente
asociados con dichos pronósticos.
El objetivo de la investigación fue estudiar
la asociación de ciertas variantes genéticas y marcadores plasmáticos
relacionados con inflamación y coagulación y la evolución de pacientes COVID-19
en una cohorte argentina (leves, moderados, severos y críticos).
Se estudiaron las variantes genéticas (n=85): Factor V Leiden, Factor
II 20210A y FGG10034C/T (coagulación) y rs11385942 (inflamación). Variantes
plasmáticas en el momento de internación (n=175): leucocitos, linfocitos,
neutrófilos, relación neutrófilo/linfocitos, Dímero D, ferritina, LDH,
plaquetas, creatinina, enzimas hepáticas, Proteína C reactiva, CK. Datos
clínicos (n=175) edad, sexo, Índice masa corporal, días con síntomas previos a
internación, días de internación, días de internación en UTI, APACHE II
(inicio), SOFA (inicio), comorbilidades. Desarrollo de: ARDS, hipoxemia
refractaria, shock séptico, disfunción orgánica, falla renal, IAM, TVP, TEP,
entre otros.
Los pacientes que fallecieron mostraron
niveles significativamente más altos de leucocitos, neutrófilos, ferritina,
Dímero D, LDH, APACHE II, SOFA y linfopenia al momento de su internación, que
aquellos que sobrevivieron. También estuvieron más días internados en UTI,
tenían mayor edad y presentaron con más frecuencia diabetes y obesidad. No se
observó asociación entre ningún parámetro de inflamación, coagulación ni la
mala evolución de los pacientes con la portación de alguna de las variantes
genéticas estudiadas. Mediante regresión logística binaria, se demostró que las
variables clínicas más fuertemente asociadas con mortalidad fueron: desarrollo
de SHOCK OR=7.464 (1.824-30.543), p=0.005; desarrollo de insuficiencia renal
aguda OR=5.374 (1.147-25.168), p=0.033; y SOFA>3 al ingreso en UTI OR=8.454
(1.887-37.872), p=0.005.
Los resultados obtenidos coinciden con los
descriptos en otros estudios acerca de algunos marcadores pronósticos y también
mostrarían que las variantes genéticas relacionadas con exacerbación de
inflamación y/o coagulación estudiadas no contribuyen significativamente a los
desenlaces fatales.

0102 Detección prolongada de
SARS COV – 2 en pacientes con enfermedad grave como factor pronóstico de mayor
mortalidad
N Funes Nelson(1), C
Cervantes(2)
(1) Sanatorio del Oeste. (2) Sanatorio del
Oeste Ituzaingo
Objetivo: Describir la tasa de mortalidad de aquellos
pacientes con enfermedad grave ingresados a la UTI de nuestra institución, con
y sin detección prolongada de PCR SARS COV2.
Material y método: Estudio Observacional restrospectivo,
descriptivo, unicéntrico en pacientes con detección prolongada de PCR SARS COV2
mediante hisopado nasofaríngeo durante su internación en el Servicio de
Cuidados Intensivos del Sanatorio del Oeste Ituzaingó; durante el periodo de
enero a junio del año 2021.
Resultados: De 320 pacientes ingresados en nuestro
servicio en el periodo descripto, 161 lo hicieron por neumonía grave por SARS
COV2. 112 (69.5%) de esos 161, requirieron ARM, 75 (46.5%) de ellos
fallecieron.
Un total de 159 (98,5%) pacientes de esos 161
dieron una PCR de control positiva. 90 (55.5%) de esos 161 mostraron una
segunda PCR positiva a los diez días, 24 (14,5%) una tercera PCR positiva, 4
(2%) una cuarta PCR positiva. 18 pacientes negativizaron al primer control.
La edad promedio de los pacientes fallecidos
fue de 64,46 años. Apache II promedio 19,87, sexo masculino el 62%, obesos el
7%, HTA 12 %, DBT 6,1%.
Discusión: En 159 pacientes se observó detección
prolongada de PCR positiva SARS COV2, de estos, 76 (47.7%) pacientes
fallecieron y en ellos se observó que presentaban 2, 3 y hasta 4 PCR positivas,
a diferencia del resto que solo presentaban un control positivo.
Conclusión: En nuestra muestra, observamos una mayor
mortalidad en aquellos pacientes con detección prolongada de PCR SARS COV2,
versus aquellos que presentaban un solo control positivo. La presencia de
factores de riesgo en los pacientes fallecidos fue baja en la muestra
analizada.
0103 Decúbito Prono en COVID-19
MD Ugarte Lopez(1),
AJ Herrera(1), S Cosenza(1), P Pratesi(2)
(1) Hospital Universitario Austral. (2)
Hospital Universatario Austral.
La enfermedad por coronavirus-2019
(COVID-19), causó un aumento de los ingresos a la terapia intensiva (UCI) por
insuficiencia respiratoria con hipoxemia refractaria, con requerimiento de
decúbito prono (DP) durante la ventilación mecánica (ARM).
El objetivo de este trabajo es describir las
características clínicas y mortalidad de los pacientes con COVID-19 grave
internados en UCI, con requerimiento de DP en ARM.
Materiales y Métodos: Es un trabajo descriptivo, observacional,
retrospectivo, en un único centro. Se incluyeron pacientes mayores de 16 años
que ingresaron a UCI, con neumonía por COVID-19 confirmada por PCR a través del
hisopado nasofaringeo. En el periodo de marzo 2020 hasta octubre del 2021.
Los datos demográficos, antecedentes
patológicos, datos clínicos y mortalidad se obtuvieron de la historia clínica
informatizada del Hospital.
Resultados: En total ingresaron 339 pacientes, de los
cuales requirieron ARM 243 (71,6%). Se pronaron 163 pacientes. En la tabla 1 se
observan las características clínicas y mortalidad de los pacientes según la
cantidad de ciclos de prono que realizaron. (Tabla1)
Conclusión: Observamos predominancia del sexo masculino
en todos los grupos, con pacientes más jóvenes en el grupo prono 0. En cuanto a
las comorbilidades, hay mayor cantidad de obesos en los grupos de pacientes pronados.
Encontramos mayor mortalidad en los pacientes
que realizaron 3 o más pronos, con valores de APACHE II similares en todos los
pacientes evaluados.

0104 Hospital de Campaña
COVID19. Estudio de cohorte retrospectivo comparativo
MD Ugarte Lopez(1),
AJ Herrera(2), MD Ugarte Lopez(2), S Cosenza(2), J Alvarez(2), P Pratesi(2)
(1) Hospital Universitario Austral. (2)
Hospital Universitario Austral
La enfermedad por SARS-CoV-2 representó un
reto para el sistema de salud de todo el mundo, con un aumento del
requerimiento de camas en terapia intensiva (UCI). Por lo que en muchos lugares
se abrieron hospitales de campaña para hacer frente a este desafío. Entendiendo
que el déficit no sólo fue de infraestructura sino también del personal de salud
con formación en cuidados críticos.
El objetivo de este trabajo es comparar las
características clínicas y mortalidad de los pacientes que se atendieron en el
Hospital Solidario (HSC) y el Hospital Universitario Austral (HUA).
Materiales y Métodos: Es un estudio descriptivo, observacional, de
dos centros, coordinados por el mismo staff médico. El HSC contaba con médicos
de guardia, enfermeros y kinesiólogos que no todos tenían formación en cuidados
críticos a diferencia del HUA.
Se incluyeron pacientes mayores de 16 años
que ingresaron a la terapia intensiva, por neumonía por COVID-19, entre Marzo y
Octubre 2020.
Resultados: En la tabla 1 se pueden observar las
diferencias de las características demográficas entre los dos Hospitales, en la
tabla 2 las variables clínicas y de ventilación mecánica (ARM). Y en la tabla 3
la mortalidad global en UCI y la asociada a ARM.
Conclusión: Observamos diferencias significativas en
cuanto a la edad, siendo más jóvenes los pacientes de HUA, y con mayor obesidad
que en el HSC. Los pacientes en el HUA realizaron más prono vigil y cánula de
alto flujo, aunque no hubo diferencias significativas en cuanto a la cantidad
de pacientes ventilados.
La mortalidad tanto global como en ARM, fue
significativamente menor en el HUA que el HSC.
Consideramos de gran importancia la formación
en cuidados críticos por parte del personal de salud, quienes modifican la
calidad de atención que recibe un paciente en UCI.


AJ Herrera(1), MD
Ugarte Lopez(1), S Cosenza(1), J Alvarez(1), P Pratesi(1)
(1) Hospital Universitario Austral
Introducción: La pandemia por coronavirus 2019 (COVID-19),
implicó una gran cantidad de casos de pacientes con insuficiencia respiratoria
aguda (IRA), siendo un reto para el médico terapista la decisión de ventilación
mecánica, por la elevada mortalidad que presentaban los pacientes. Optando el
tratamiento de la IRA con cánula de alto flujo (CAFO), en casos determinados.
El objetivo es describir las características
clínicas y mortalidad de los pacientes que requirieron CAFO y los que no,
internados en terapia intensiva (UCI) por neumonía grave por COVID-19.
Materiales y métodos: Se realizó un trabajo descriptivo,
observacional en un único centro. Se incluyeron pacientes mayores de 16 años,
que ingresaron a UCI por neumonía grave por COVID-19. En el periodo de marzo
2020 a abril 2021. Se excluyeron los pacientes ingresados luego de abril ya que
sólo ingresaban a UCI pacientes con requerimiento de AVM.
Los datos demográficos, clínicos, asistencia
ventilatoria mecánica (AVM) y mortalidad se obtuvieron de la historia clínica
informatizada de los pacientes del Hospital.
Resultados: Ingresaron en total 280 pacientes, de los
cuales realizaron CAFO 160 (57%). En la tabla 1 se pueden observar las
características demográficas. En la tabla 2 las características clínicas y de
ARM. Y en la tabla 3 los datos relacionados con la mortalidad.
Conclusión: No encontramos diferencias significativas en
cuanto a las variables demográficas entre los pacientes que recibieron CAFO y
los que no, excepto en IMC>30.
Los días desde el inicio de los síntomas al
ingreso a UCI y a la conexión a ARM es mayor en el grupo con CAFO.
El grupo que no recibió CAFO, presentaba
mayor score de severidad al ingreso, con mayor requerimiento de ARM y mayor
mortalidad global en UCI, aunque sin diferencias en la mortalidad en ARM.


0106 La lidocaína refuerza los
efectos de la dexametasona en el control de la activación inflamatoria de
células epiteliales y mieloides sin alterar la vía de los interferones de tipo
I. ¿Una alternativa para el tratamiento de COVID-19 severa?
M Elizagaray(2),
Fce, Unlp. Conicet, A Pontoriero(1), E Baumeister(1), G Docena(2), Fce, Unlp.
Conicet, G Gondolesi(5), C Raimondi(6), Universidad Nacional De La Plata, E
Correger(8), M Rumbo(2), Fce, Unlp. Conicet
(1) 2-División Virus Respiratorios. Instituto
Nacional de Enfermedades Infecciosas. Anlis-Malbrán. (2) 1-Instituto de
Estudios Inmunologicos y Fisiopatológicos. (3)
Fce. (4) Unlp.
Conicet. (5) 3-Instituto De Medicina Traslacional Hospital Universitario
Fundación Favaloro. Conicet. (6) 4-Catedra de Trasplante de Organos. Facultad
de Ciencias Médicas. (7) Universidad
Nacional de La Plata. (8) Hospital Alta Complejidad en Red El Cruce. Fcm Unlp
Introducción: SARS-Cov-2 grave se caracteriza por un cuadro
inflamatorio, síndrome de distrés respiratorio agudo grave con eventual falla
multiorgánica y subsecuente muerte. La lidocaína, antiarrítmico y anestésico
local, es también conocida por su capacidad anti-inflamatoria.
Hipótesis: La lidocaína puede tener efectos modulatorios
de la inflamación que complementen la acción de la dexametasona, opción
terapéutica principal en estos casos.
Metodología: Se
desarrollaron estudios pre-clínicos, experimentales sobre las lineas celulares:
THP1 (monocítica humana), J774 y RAW 264.7 (monocítica-macrofágica ratón),
Caco-2, HeLa, HEK (epiteliales humanas) y Vero (epiteliales de mono) y líneas
reporteras (luciferasa, GFP o fosfatasa alcalina secretada) de vías de
señalizacion: NF-B, inflamosoma, interferon gamma e interferones de tipo I. Se
evaluó el efecto dosis-respuesta de la lidocaína (100μm a 1mM) sobre la
activación causada por: ligandos TLR (flagelina, PolyI:C, LPS, Pam3Cys), hTNFa, mIFNg y estimulos de activacion de
inflamosoma (transfección con pcDNA). Se analizaron los efectos en presencia o
ausencia de dexametasona (0.1 a 1 μm). Se midió mediante ELISA la secreción de
mIL-6, hIL-8 o hIL-1b como
marcadores de activación.
Resultados: La lidocaína mostró una capacidad modulatoria
dosis-dependiente frente a activación por todos los ligandos de TLR empleados
(p<0.05). La lidocaína no afectó la capacidad de infección del SARSCoV2 en
líneas celulares Vero. La combinación de lidocaína con dexametasona mostró
efectos aditivos en la capacidad modulatoria. Las vías de señalización
moduladas en forma aditiva por la combinación de fármacos son: la señalización
NF-kB, el ensamblado del inflamosoma (tanto la formación de specks de
ASC-GFP y secreción de hIL-1b) y la señalización de IFN y TNFa. Sin embargo, se
observó que la señalización de IFNa¤b no es afectada por el tratamiento con
lidocaína.
Conclusiones: La lidocaína produce un efecto
inmunomodulador aditivo a dexametasona que podría resultar de interés para el
planteo de estudios clínicos en pacientes con COVID19 severo.
0113 Sucesivos ciclos de
decúbito prono en pacientes bajo asistencia ventilatoria mecánica invasiva con
distrés moderado a severo debido a COVID-19. Estudio descriptivo,
retrospectivo, tipo serie de casos
G Cardoso(1), M
Calvo Delfino(1), L Castro(1), J Pérez(1), J Dorado(1), D Gilgado(1), C
Snaider(1), C Papazian(1), D Halac(1), M Accoce(1)
(1) Sanatorio Anchorena San Martin
Introducción: La implementación del decúbito prono (DP) en
pacientes con hipoxemia severa bajo ventilación mecánica invasiva (VMi)
demostró mejorar la sobrevida. Durante la pandemia por COVID-19, estudios
epidemiológicos informaron tasas elevadas de uso de DP, sin embargo el número
de sesiones es similar al reportado previamente. La incapacidad de sostener
mejoría en la oxigenación en supino, sobrecarga laboral y potenciales eventos
adversos, podrían instaurar la discusión de sostener la estrategia durante
ciclos sucesivos y en fases avanzadas del SDRA.
Métodos: En este estudio retrospectivo, tipo serie de
casos, describimos los resultados de pacientes mayores de 18 años bajo VMi con
SDRA moderado-severo por COVID-19 que requirieron 8 o más sesiones de PP.
Resultados: Se incluyeron 23 pacientes con una mediana
(IQR) de 11 (9-14) ciclos de DP y una mediana (IQR) de 30 (23-34) días de VMi.
El 26% logró ser desvinculado y 60% requirió traqueostomía. La mortalidad al
alta de UCI fue 43,5%. No hallamos diferencias significativas entre vivos y
muertos en variables demográficas, de monitoreo ventilatorio ni en ciclos
totales de prono. Los pacientes vivos tuvieron más días de VMi y traqueostomía
p<0.001.
En la figura 1 se observa durante el primer y
quinto ciclo de prono un comportamiento similar entre vivos y fallecidos en
términos de mecánica. En el último ciclo, la oxigenación y mecánica del sistema
respiratorio mejoró sólo en pacientes que sobrevivieron. Cuatro pacientes
presentaron complicaciones potencialmente graves y ningún ciclo debió ser
interrumpido.
Conclusión: Nuestros
hallazgos muestran un subgrupo de pacientes con respuesta favorable en términos
de oxigenación y mecánica aún luego de múltiples ciclos de DP. La baja tasa de
complicaciones, resultados obtenidos y falta de predictores asociados a la
intervención sugieren que no debería interrumpirse la implementación del DP más
allá del número de ciclos reportado en la bibliografía.

0115 Utilidad de Biomarcadores
de Preeclampsia: Utopia o realidad?
S Der Parsehian(1), ME
Bergman(2), S Sanchez Segovia(2), I Di Marco(3)
(1) Mat Inf R Sarda. (2) Hmirs. (3) Health Ministery.
Introducción: La pre-eclampsia (PE) es una enfermedad
multisistémica, propia del embarazo y el puerperio.La disfunción placentaria
altera los niveles circulantes del factor antiangiogénico fms-símil tyrosine
kinasa-1(sFlt-1) y Factor de Crecimiento Placentario (PlGF). El aumento del
cociente sFlt-1/PIGF (CSP) se asocia a mayor riesgo de PE, y puede ser
predictor precoz del desarrollo de complicaciones
Objetivos: Evaluar la relación entre los valores del
cociente CSP y la aparición de resultados adversos materno-fetales.
Materiales y métodos: Estudio descriptivo retrospectivo.
Población: Mujeres con embarazo único y uno o más factores de riesgo para PE
desde las 23 a 36.6 semanas ( 01/01/2018 a 31/12/2018).Criterios de exclusión:
Signo-sintomatología manifiesta de Sindrome HELLP y/o Eclampsia. Se
cuantificaron sFlt-1 y PlGF en suero materno mediante Electroquimioluminiscencia.
Se clasificaron las pacientes en grupos de riesgo. CSP38 (rule in); CSP 38-85
(riesgo intermedio); CSP>85 (alto riesgo).
Se analizaron datos de 149 pacientes,
registrando CSP de 187 muestras, edad gestacional al nacimiento, peso del
recién nacido , ingreso materno a UTI y mortalidad fetal.
Resultados: En el grupo de RN85 unidades; 12% CSP37 SG la
distribución de valores de CSP fue: 92% CSP<38; 8% CSP>85.
El 77% de los RN 85, el 94% con peso
>3000gr CSP <38.
El 35% de las madres con CSP>85 requirieron
ingreso a UTI Obstétrica.
Del total de ingresos a UTI la distribución
de valores de CSP fue: 85% CSP>85; 15% CSP<38.
Se registraron 6 casos de mortalidad fetal, 2
con CSP200
Conclusiones: Valores de CSP>85 se asociaron a
complicaciones materno-fetales de PE. Valores de CSPLa implementación del CSP
es una herramienta bioquímica de utilidad clínica en Obstetricia para predecir,
diagnosticar, y evitar las graves consecuencias de la PE para la salud
materno-fetal.
0116 Rol de los biomarcadores
de sepsis neonatal tardía Experiencia en un hospital materno infantil del area
publica
S Der Parsehian(1),
M Ortiz De Zarate(2), R Nieto(2)
(1) Mat Inf R Sarda. (2) Hmirs.
La presepsina es el fragmento N-terminal de
13 kDa de la proteína CD14. Puede ser considerado un biomarcador específico y
temprano de la sepsis. En la etapa neonatal, se carece de un marcador adecuado
para el diagnóstico de sepsis, por lo cual su investigación es de interés.
Objetivos: Determinar la capacidad predictiva de la
presepsina (P-SEP) y su valor óptimo de corte,en sepsis neonatal tardía y
comparar dicha capacidad, con la procalcitonina (PCT)
Diseño: Estudio de cohorte prospectivo.
Material y Métodos: Población: Neonatos nacidos entre el
10/03/2015 y 29/04/2016 internados en una unidad neonatal de tercer nivel,
desde el 3° dia de vida y hasta 4 semanas luego del alta, con sospecha de
sepsis tardía.
Resultados: Se analizan los datos de 87 episodios en 77
pacientes con síntomas de sepsis tardía. Se confirmó sepsis bacteriana en 35 casos
(40,2 %).
La mediana de presepsina y procalcitonina
fueron mayores en los niños con sepsis. Mediana (min-max) 897 pg/ml (165-2413)
vs 436 pg/ml (109-2267) p < 0,001 y 6,84 ng/ml (0,1-201) vs 0,27 ng/ml
(0,06-139) p<0,001.
Para presepsina el punto con mayor número de
correctamente clasificados fue 833 pg/ml. Sensibilidad 65,7% (48-83),
especificidad 82,6 %(IC 95% 71-94) VPP 72 % (55-89) VPN 78 % (66-90).Para PCT
el punto de corte fue mayor o igual a 2.78 ng/ml. Sensibilidad 80 %
(65.3-94.7), especificidad 76.9 %(IC 95% 64.5-89.3) VPP 70 % (54.6 -85.4) VPN
85 % (73.9-96.3). El área bajo la curva fue 0.76 vs 0.84 p = 0.23.
Conclusiones: La presepsina es un biomarcador confiable
para sumar a los algoritmos de diagnóstico y tratamiento. La capacidad predictiva
no fue significativamente diferente a procalcitonina
0117 Evaluación de las
Complicaciones mayores asociadas a la administración de Plasma de convaleciente
en pacientes con COVID-19
D Romero(1), M
Wilches(1), J Morales(2), G Rodríguez(1), B Fernandez(1), T Huanca(1), L Barra
Montes De Oca(1), W Videtta(1), S Quintana(1), D Barrientos(1), O González(1),
H Collazos(1), A Tamayo(1)
(1) Municipal Eva Perón de Merlo. (2)
Municipal Eva Perón de Merlo
Introducción: En el contexto de la Pandemia por la
COVID-19, producida SARS- CoV-2 , la utilización de transfusiones por plasma de
personas convalecientes (PC) que hayan padecido de COVID-19 , surgió como una
opción de tratamiento compasivo que fue sometida a su empleo y desarrollo
experimental desde el principio.
Objetivo: Evaluar parametros de seguridad a fin de
evitar y/o tratar las complicaciones mayores y conocer la frecuencia de su
presentación.
Material y Métodos: Se realizo un estudio experimental, no
aleatorizado, que abarco un periodo de 8 meses, se analizarón las métricas de
seguridad luego de la transfusión de PC de COVID-19 en 144 pacientes
hospitalizados con enfermedad moderada o grave, con criterios de inclusión:
edad igual o mayor a 18 años; Diagnósticado por rt-PCR; consentimiento
informado del receptor o un familiar; con imagenes de lesiones pulmonares más
alguno de los siguiente: Saturación igual o menor a 93% con O2 por máscara
reservorio; uso de CPAP o de CAFO o VNI por IRA hipoxémica; con IOT y AVM con
SDRA según definición de Berlin ( PAFI menor a 300mmHg con PEEP igual o mayor a
5 cmH2O) y Menos de 7 días de internación por infección respiratoria.
Resultados: Se efectuó un análisis descriptivo por
variables en cuanto a: Hombres 90 (62%) y mujeres 54 (38%) y edad menores de 60
años el 76% y mayores de 40 años un 24%.
La incidencia de complicaciones mayores en
las primeras cuatro horas luego de la transfusión fue menor al 2%,( TACO:2,
TRALI: 0 y Shock anafiláctico: O con una mortalidad del total de los transfundios
del 18%, pero con mortalidad O% por causa directa por.de su aplicación. La
administración del PC antes de las 72 horas de internación fue del 90% y luego
de las 72 horas fue del 10%, los antecedentes patológicos de mayor frecuencia
fueron: HTA 26 %; DBT 24% y Obesidad 14%.
Conclusiones: La tasa de complicaciones mayores no es mayor
a lo encontrado en otros estudios y con una mortalidad del 0%, lo que establece
que la transfusion de PC es un método seguro y que su eficacia aún se sigue
evaluando en algunos grupos.
0118 EVALUACIÓN DE LOS EFECTOS
ADVERSOS GRAVES POR TRANSFUSIÓN DE SUERO HIPERINMUNE COVID-19
D Barrientos(1), A
Barra Montes De Oca(1), T Huanca(1), C Claros(1), R Garnica(1), J Morales(1), B
Fernandez(1), M Wilches(1), W Videtta(1), G Rodriguez(1), O Flores(1), O
Gonzalez(1), H Collazos(1), W Veliz(1), S Carabajal(1), D Romero(1), S
Quintana(1), A Tamayo(1)
(1) Municipal Eva Perón de Merlo
Introducción: El Suero Hiperinmune anti-COVID 19 esta
basado en usos previos como como antitetanico, picadura por aracnidos,etc,
incluso en la shigella productora del SHU, utilizandose solo fragmentos F (ab)
2 generados por la digestión en la pepsina y retienen la capacidad de unión
bivalente hacia la inmunoglobulina G (IgG), careciendo de la región constante
(Fc) responsablñe de reaccionescomola enfermedad del suero y efectos
secundarios importantes.
Objetivo: Evaluar la presentacion y frecuencia de
complicaciones mayores debido a su administración.
Material y métodos: Se trata de un estudio experimental, no
aleatorizado , durante un periodo de 6 meses en nuestra UTI, observando la
seguridad luego de la transfusión de SH de Caballo en 28 pacientes adultos
hospitalizados con la enfermedad moderada o grave. Criterios de inclusión: Edad
igual o mayor de 18 años; Infección por SARS-CoV-2 confirmado mediante PCR;
Enfermedad moderada o severa según definición de NIH, con no menos de 10 días
de Fecha de Inicio de Síntomas (FIS) al momento de la selección. Con criterios
de exclusión: Pacientes que hayan recibido tratamiento con PC por COVID-19;
Enfermos que requieran AVM en el momento de la selección; antecedentes de
anafilaxia grave, administración de suero equino (p.ej. suero antitétanico,
suero antiofídico o suero antitoxina por arácnido) o una reacción alégica por
contacto o exposición a los caballos).
Resultados: Existió una sola complicación mayor debido a
la transfusióon del suero equino o hiperinmune, una falla de bomba por aparente
sobrecarga de volumen en una sola paciente, no existió mortalidad en relación
directa con la transfusión según el análisis de seguiridad , con una mortalidad
del 10,7% para aquelos transfundidos pero por la propia enfemedad (Tabla No.
1).
Conclusiones:
Se establece que
la transfusioón del suero equino presenta un perfil adecuado de seguridad a
corde a los productos (Fab) con una mortalidad del 11% entre los transfundidos
pero por la enfermedad per se y no relacionada con la transfusion.
0119 Factores de riesgo
asociados con la mortalidad durante el primer ciclo en decúbito prono en
pacientes con SARS-COV2
MC Gonzalez(1), G
Appendino(1), G Musso(1), M Martin(1), JM Dominguez(2), C Lovesio(1), E
Estenssoro(3)
(1) Sanatorio Parque. (2) Instituto
Cardiovascular Rosario. (3) Hospital Interzonal de Agudos
Introducción: Nuestro objetivo fue identificar los factores
asociados a la mortalidad durante las primeras 24 horas de decúbito prono en
pacientes con hipoxemia severa en ventilación mecánica por neumonía por
SARS-CoV2.
Materiales y métodos: Se trata de un estudio de cohorte
retrospectivo realizado en una UCI ubicada en Rosario, Argentina. Incluimos a
todos los pacientes que requirieron decúbito prono debido a hipoxemia severa
debido a neumonía por SARS-CoV2 entre el 1 de enero de 2020 y el 28 de febrero de
2021.
Registramos sexo, edad, comorbilidades,
APACHE II, SOFA, número de sesiones prono –que duraron 24 horas–, infecciones
intrahospitalarias y mortalidad hospitalaria. La PaO2 / FiO2, la presión de
meseta y la presión de conducción se registraron y compararon antes y después
de la primera sesión en decúbito prono. Se compararon las variables entre
supervivientes y no supervivientes y se consideró estadísticamente
significativo un valor de p <0,05. Se utilizó regresión logística para
identificar factores independientes asociados con la mortalidad hospitalaria.
Resultados: Se registraron 126 pacientes; la edad media
fue de 60±15 años, sólo 33 de los 126 fueron mujeres (25%) El score Apache II
promedio fue de 12±2 y el score de SOFA de 4±2. 63 pacientes eran obesos
(50%)33 hipertensos (25%), 33 eran diabéticos tipo II (25%) y 28 pacientes
presentaban enfermedad coronaria (22%) (Tabla 1). Los pacientes que
sobrevivieron presentaban una menor tasa de comorbilidades.
De los 126 pacientes, 67 requirieron 1 sesión
de prono, 26 pacientes 2 sesiones de prono, 23 pacientes 3 sesiones, y 10
pacientes 4 o más sesiones. La mortalidad fue de 55%, 69%, 75% y 100 %
respectivamente (p<0,000).
La PaO2/FiO2 inmediatamente previa al inicio
del primer prono fue de 112±26 mmHg sin diferencias entre sobrevivientes y no
sobrevivientes (p=0,92) y luego de 24 horas en prono fue de 186±59 mmHg, pero
se encontraron diferencias estadísticamente significativas a las 24 horas del
prono (p<0,000). Los sobrevivientes tuvieron en promedio 220±48 mmHg versus
169±57 en los no sobrevivientes (p<0,000) Tabla 2.
Al finalizar la primera sesión de decúbito
prono, 5 pacientes presentaron descenso en los valores de PaO2/FiO2, 4
sostuvieron los mismos valores. Todos ellos murieron; y los 117 pacientes
restantes presentaron un ascenso de la PaO2/FiO2. En 21 pacientes (16%) se
observó un aumento menor al 25% comparado con el valor basal; en 28 pacientes
(22%) se observó un ascenso entre el 25 y 50% del basal; y en 68 pacientes
(54%) el ascenso fue mayor al 50%. La mortalidad en cada grupo fue 90%, 68% y
53% respectivamente (P=0,000) Tabla 3.
La magnitud de aumento de la PaO2/FiO2
(medida en porcentaje) luego de la primera sesión de prono respecto a la
inicial tuvo diferencias estadísticamente significativas entre sobrevivientes y
no sobrevivientes (p= 0,000). Esto no es claro . de números se habla? En que
tabla esta esto? Lo que hicimos fue tratarla como una variable cuantitativa
continua sacando el porcentaje de aumento de pafi respecto a la inicial, x ej
pafi inicial 100 y a las 24 hs 150 subió 50% respecto al basal. Lo agregué a la
tabla 2.
Respecto a la presión meseta, sólo 10 de 126
pacientes presentaron valores iniciales por encima de 30 cmH2O. (P<0,000).
Luego de la primera sesión de prono, 5 de ellos (50%) habían descendido la
presión meseta a menos de 30 cmH2O; sin embargo, sólo 2 sobrevivieron. La
presión meseta basal fue 25,7±3,6 cmH2O y posterior al prono 25,4±3,7 cmH2O.
Teniendo en cuenta el comportamiento de la presión meseta luego de 24 horas en
prono, 35 de 126 pacientes (27%) tuvieron un descenso en la presión alveolar de
2 puntos o más y 48 pacientes (38%) aumentaron la presión meseta al ser
sometidos al decúbito prono, aunque la mayoría de ellos continuaron con un
valor absoluto menor a 30 cmH2O. Los ascensos en la presión meseta durante el
prono se asociaron a mayor mortalidad (p<0,000) Tabla 2.
Considerando al delta P, el valor basal fue
de 14±4 y luego del prono de 13±4. 42 pacientes (33%) tuvieron valores de delta
P ≥15 cmH2O previo al prono y luego del prono sólo en 13 pacientes (10%)
descendieron los valores. No hubo diferencias en el delta de presiones basal
entre sobrevivientes y no sobrevivientes (p=0,12). Sin embargo, luego de 24
horas en prono, se encontraron diferencias estadísticamente significativas
(p=0,001). Además, 43 de los 126 pacientes (34%) presentaron un ascenso en el
valor absoluto de delta P al ser sometidos a prono, si bien en la mayoría no
sobrepasó el punto de corte de 15 cmH2O. El ascenso de delta P medido en
porcentaje se asoció a mayor mortalidad, por más que se presentara en márgenes
normales (p<0,001) Tabla 2.
Respecto a la tasa de infecciones
intrahospitalarias al momento de la hipoxemia severa que requirió prono, 52
pacientes (41%) de los 126 tenían sospecha de infección intrahospitalaria según
criterio del médico tratante, 10 de ellos sobrevivieron (20%) y 42 murieron
(80%) (p<0,001) Tabla 2.
Luego del análisis multivariado, los factores
que se asociaron en forma independiente a mortalidad fueron el aumento de la
PaO2/FiO2 luego de 24 horas en prono (OR 1,01; IC 95% 1,01-10; p=0,01), el
número de ciclos de prono que tuvo el paciente (OR 1,84; IC 95% 1,08-3,12;
p=0,02), la presencia de infección intrahospitalaria (OR 5,8; IC 95% 1,78-2;
p=0,001), el antecedente de enfermedad coronaria OR 5; IC 95% 1,17-2,04;
p=0,02) el score APACHE II (OR 1,2; IC 95% 1,08- 1,34; p<0.001) y el sexo
femenino (OR 3,39; IC95% 1,06-10,84); p=0,03).
Conclusiones: En esta cohorte de pacientes con SDRA
secundario a SARS COV 2 el aumento de la PaO2/FiO2 luego de 24 horas en prono
se asoció en forma independiente a menor mortalidad; mientras que, el número de
ciclos de prono que tuvo el paciente, la presencia de infección
intrahospitalaria concomitante, la edad y el score Apache II fueron factores
que se asociaron en forma independiente a mayor mortalidad.

0120 Apoyo a los sistemas de
salud en la era de COVID-19: colaborativa para la mejora del desempeño en las
unidades de cuidados críticos del sector de salud pública de Argentina -
Proyecto 5C (Colaborativa en Calidad durante Covid en Cuidados Críticos)
C Loudet(2), F
Jorro-barón(1), R Reina(2), MDP Arias López(3), S Alegría(4), C Barrios(5), R
Buffa(6), L Cabana(7), E Cunto(8), S Fernández-nievas(1), M García(9), L Gibbons(1),
G Izzo(10), N Llanos(11), Virgen María
De Fátima, JJ Mira(13), ME Ratto(3), M Rivet(14), A Tévez(15), L Uranga(16), G
Zakalik(17), G Estudio 5c
(1) Instituto de Efectividad Clínica y
Sanitaria. (2) Higa San Martín de
La Plata. (3) Sociedad Argentina de Terapia Intensiva. (4) Hospital Provincial
Neuquén Castro Rendón. (5) Hospital Dr. Ignacio Pirovano. (6) Hospital José
Bernardo Iturraspe. (7) Hospital Pablo Soria. (8) Hospital de Infecciosas F. J.
Muñiz. (9) Hospital Regional V. Sanguinetti. (10) Hospital Simplemente Evita.
(11) Hospital Escuela y de Clínicas. (12) Virgen María de Fátima. (13)
Univesidad Miguel Hernández. (14) Hospital B. Rivadavia. (15) Hospital
Balestrini. (16) Hospital Príncipe de Asturias. (17) Hospital Lagomaggiore
Introducción: La pandemia causada por el SARS-Cov-2 ha
expuesto una matriz compleja: demanda excesiva, contagio y estrés del personal,
capacidad y recursos escasos de los sistemas hospitalarios. Las unidades de
cuidados intensivos (UCIs) han soportado el mayor impacto.
Hipótesis: El uso de una estrategia multicomponente
basada en ciencia de la implementación permite mejorar los procesos de las UCIs
relacionados con: el uso de equipos de protección personal (EPP), cumplimiento
de 9 procesos claves para la seguridad del paciente (SP) mediante el uso de una
hoja de objetivos diarios (HOD), y el apoyo emocional al equipo de salud (ES).
Métodos: Diseño quasi experimental, análisis serie de
tiempo no controlada, colaborativa de mejora de la calidad desarrollada en 14
UCIs del sector público de la Argentina, compuesta por las siguientes etapas:
investigación formativa donde se evaluaron barreras y facilitadores de la
intervención y una fase de medición basal (13/07 al 06/09/2020); implementación
y codiseño de una intervención multimodal basada en sesiones de aprendizaje,
periodos de acción y ciclos de mejora (pPlanear-Hacer-Evaluar-Actuar) entre
07/09/2020 al 01/08/2021. Medición de impacto emocional mediante Test EASE.
Resultados: Se realizaron 7.369 mediciones de uso de EPP,
7.453 mediciones de atención de SP registrados en la HOD, 1.358 mediciones de
impacto emocional en el ES. Se observó un aumento del uso adecuado de EPP en
forma global (59% (56,5-60) vs 71,4% (66,3-76,8), p<0,001), en contacto con
pacientes con COVID-19 (65,9% (60,8-68,9) vs 80.6% (78,0-83,5), p<0,001) y
sin COVID-19 (40,8% (28,6-57,1) vs 53,3% (45,5-57,5), p=0,013). También aumentó
el cumplimiento de los 9 procesos contenidos en la HOD (54,3% (52-58,2) vs
66,4% (61.7-76) p<0,001). En la figura 1 y 2 se observa el aumento en el
cumplimiento en el tiempo del uso adecuado de EPP y la HOD. Se autotesteó en el
estado emocional en promedio el 4,8 +/- 3,2% del ES cada 2 semanas, con una
mediana en el puntaje de 6 (IQ25-75:2-12). Los últimos 4 meses del estudio
coincidieron con la mayor cantidad de casos a nivel país de COVID-19. Se
calculó un impacto en más de 95000 días/paciente, cerca de 6% de las camas
totales de UCI del país.
Conclusiones: En el marco extraordinario de la pandemia a
través de una intervención multifacética colaborativa, codiseñada y basada en
un modelo de mejora se aumentó el uso adecuado de EEP y el cumplimiento de los
procesos de atención médica medidos, permitiendo evaluar además el impacto
emocional del ES.


0121 INCIDENCIA DE INFECCIONES
ASOCIADAS A CUIDADOS DE LA SALUD Y DESCRIPCIÓN EPIDEMIOLÓGICA EN PACIENTES CON
COVID-19 CON REQUERIMIENTO DE VENTILACION MECANICA INVASIVA EN UN HOSPITAL
UNIVERSITARIO DE LA PROVINCIA DE BUENOS AIRES
J Vilca(1), C
Loudet(2), P Tapia(2), A Patterer(2), M Lares(2), T Juhasz(2), A Piñas(2), C
Logio(2), V Cossio(2), M Gutierrez(2), M Gardeazabal(2), I Parodi(2), F
Morales(2), M Cordoba(2), A Cucci(2), C Garcia(2), L Tumino(2)
(1) San Martin. (2) San Martin de La Plata
Objetivo: Determinar la incidencia de las infecciones
asociadas a la salud (IACs) en pacientes con diagnóstico de COVID-19 con
requerimiento de ventilación mecánica invasiva (VM) durante las dos olas de la
pandemia. Analizar y comparar la bacteriología de las IACs entre ambos periodos
de estudio.
Métodos: Cohorte prospectiva realizada en UCI
médica-quirúrgica de 28 camas durante los periodos de mayo-octubre2020 y
marzo-julio2021. Se registraron las características epidemiológicas, scores de
severidad, evolución de todos los pacientes consecutivos ingresados y todas las
IACs. Se compararon las tasas de estas infecciones y el tipo de gérmenes entre
los dos periodos. En el segundo periodo, la UCI se encontraba participando de
un programa de calidad. Para las comparaciones se utilizó se utilizó
Chi-cuadrado/Fisher para datos categóricos o TTest y Wilcoxon para continuos (p
significativa <0.05). Programa STATA-14.
Resultados: En los periodos de estudio ingresaron un
total de 163 pacientes con COVID-19 y requerimiento VMI; 57 en primera ola y
106 en la segunda. Las características los pacientes por periodos se muestran
en Tabla 1. Se registraron 61 infecciones en el primer periodo: Bacteriemia
primaria (BP)52.6%; Neumonía asociada a VMI (NAV)21.3%; Bacteriemia asociada a
catéter (BAC)26%; y 108 en el segundo periodo (BP40.7%- NAV44.4%- BAC14.8%).
Las tasas de estas infecciones comparando 2020 vs 2021 fueron: BP 21.55 vs
13.44/1000 días-paciente (p=0.046); NAV 9.09vs 15.68/1000 días-VM (p=0.07) BAC
10.8 vs 4.89/1000 días-catéter (p=0.03). La distribución de los gérmenes
comparando 2020 vs 2021 fueron: BGN no fermentadores (BGN NF)16% vs 40% (p=
0.015), BGN fermentadores 39.7% vs 29 % (p=0.17), Stafilococus Aureus
Meticilino Sensible (SAMS) 5% vs 13% (p=0.18), Enterococus Vancomicina Resistente
(EVR) 14% vs 5% (p=0.07), Stafilococus Coagulasa Negativos 12% vs 3% (p=0.035),
Cándidas 8.6% vs 2.83% (p=0.12).
Conclusiones: En la segunda ola se observó un cambio
significativo en tasas de IACs, por disminuir las BAC, probablemente
relacionado a la intervención de calidad. La alta incidencia de BP puede
relacionarse a NAV no detectadas (escasa toma de muestras respiratorias)
predominantemente en la primera ola. Si bien se observó una preponderancia de
más gérmenes durante la primera ola, la preponderancia de BGN NF en la segunda
estaría explicado por la mayor incidencia de NAV.

0122 INFECCIONES
INTRAHOSPITALARIAS (IIH) EN PACIENTES
CON COVID 19 EN UNIDAD DE CUIDADOS INTENSIVOS
MF Landaburu(1), C
Torres(1), R Viceconte(1), V Duran(1), A Sengoku Cadima(1), M Ayllon Juanes(1),
MJ López Furst(1), C Plaza(1), T Puentes(1), G Fernandez(1)
(1) Sanatorio Julio Mendez
Introducción: No existe un consenso uniforme en la
literatura respecto a cuanto y de que modo, las IIH afectan la evolución de
covid 19 en los pacientes críticamente enfermos. Nuestro objetivo es describir
las características de este grupo de pacientes en nuestra Terapia Intensiva.
Material y métodos: Estudio prospectivo, observacional, incluyó
pacientes en UCI con COVID 19 entre 03/2020 y 08/2021. Estadística: SPSS 26.0,
p <0,05.
Resultados: Total 257 pacientes, edad media 61,14, sexo
masculino 61,8%. Neumonía grave 95,3%, ARM 79,8% y media de días de ventilación
20,65. Comorbilidades 88,3%, más frecuentes: HTA 47,9%, obesidad 41,6% y
diabetes 32,3%. Días internación en UCI: 20,75 (1-281) y la mortalidad 53,7%.
Tabla 1: características de la población divididos por edad. Se observaron IIH
en 161 pacientes (62,6%), 275 episodios de infección. La media de días desde el
ingreso a UCI y el primer episodio fue 8,63 días (2-28). En tabla 2 se muestran
las características clínicas de los pacientes que presentaron IIH comparados
con los que no.
Discusión: Los pacientes mayores de 65 años presentaron
más comorbilidades, un cuadro más grave al ingreso (APACHE y SAPS2), mayor
porcentaje de ARM y consecuentemente mayor mortalidad con diferencia
estadística significativa. Las IH fueron más frecuentes en pacientes más graves
(scores APACHE y SAPS2) y con comorbilidades. Los tiempos de ventilación
mecánica prolongados parecen haber sido determinantes en el desarrollo de IIH y
viceversa. La mortalidad fue mayor en el grupo que presentó infecciones.
Observamos un aumento de las IIH en pacientes internados en UCI durante la
pandemia, probablemente la gravedad de los pacientes, la necesidad de pronación
y la utilización del equipo de protección personal dificultó la prevención de
las IIH, al obstaculizar el cumplimiento correcto del aislamiento de contacto y
facilitar la transmisión horizontal.


0123 Infecciones
intrahospitalarias (IIH) asociadas a
COVID 19 en unidad de cuidados intensivos (UCI), características
microbiológicas
MF Landaburu(1), C
Torres(1), R Viceconte(1), V Duran(1), A Sengoku Cadima(1), M Ayllon Juanes(1),
C Plaza(1), MJ Lopez Furst(1), T Puentes(1), G Fernandez(1)
(1) Sanatorio Julio Mendez
Introducción: Se ha descripto en la literatura un aumento
de las IIH en pacientes graves COVID 19. El objetivo de este trabajo es conocer
las características epidemiológicas y la sensibilidad antibiótica de los
microorganismos aislados.
Material y métodos: Estudio prospectivo, observacional, incluyó
pacientes internados en UCI con COVID 19 entre 03/2020 y 08/2021. Datos
recolectados: infecciones a partir de 48 hs internación, tratamiento
antibiótico y microorganismos aislados. Estadística: SPSS 26.0, p <0,05.
Resultados: 130 pacientes con IIH (50,6 %). Media de días
desde la internación hasta el primer episodio de infección 8,63 (2-28).
Episodios de infección por paciente 2,13 (1-7). Tabla 1: microorganismos
aislados y foco infeccioso. El 63 % de los BGN (148) fueron resistentes a
carbapenemes, con 61,5 % productores de metalobetalactamasas (total 91
aislamientos). Klebsiella pneumoniae fue el patógeno predominante (58 %). Tabla
2: comparación de variables durante 2020 y 2021. Los datos de colistin no deben
compararse debido a un cambio en el punto de corte de las pruebas de
sensibilidad. El 65,6 % recibió tratamiento antibiótico adecuado. La mortalidad
en el grupo tratado con ceftazidime avibactam fue de 13 (43,3 %) vs 18 (58,1 %)
en los BGNRC tratados con otros esquemas antibióticos p=0,077.
Discusión: El tiempo medio de aparición de infección de
ambos periodos fue menor al promedio registrado previo a la pandemia y el 60,8
% de los pacientes presentaron más de un episodio de IIH. El foco endovascular
fue el más frecuente, con una disminución significativa de las IAC durante el
2021. Los microorganismos más frecuentes en todos los focos fueron los BGN, con
más de 60 % de resistencia a carbapenemes, con un claro aumento durante el año
2021. Consideramos que estos hallazgos tienen relación con la dificultad
durante la pandemia de mantener las medidas de aislamiento de contacto.
Además observamos una disminución estadísticamente
significativa de la sensibilidad de los antibióticos utilizados más
frecuentemente para tratar estas infecciones como fueron: aminoglucósidos,
tigeciclina y meropenem.


F Cisneros(1)
(1) Sanatorio del Oeste
Introducción: Las úlceras por presión aumentan la
morbimortalidad y retardan la recuperación del paciente internado, con los
factores de aislamiento, ventilación mecánica y de cubito prono, constituyendo
un indicador de calidad de atención.
Objetivo: Describir la incidencia y disminuir las upp
durante la internación en uci por covid-19.
Materiales y métodos: Es un estudio
observacional, retrospectivo de pacientes internados en UCI, durante septiembre
2020 a junio 2021, con 18 camas y 6 enfermeros por turno.
Se aplico protocolo de prevención, escala de
Braden, tabla horaria de rotación, tratamiento y seguimiento.
Variables: Paciente en aislamiento infectológico por
Covid-19, pacientes covid-19 positivos en VM y edad.
Resultado: Se incluyeron 587 pacientes, de edad promedio
51 años, de los cuales el 50% fueron covid-19 positivo y de estos el 53% con
requerimiento de VM. El 3% representa al total de pacientes con lesiones por
presión, predominando las lesiones en rostro 2,7%, rodilla 1,7%, tórax 0,3% y
zona sacra 2,4%.
Conclusión: A pesar del estado de los pacientes
internados por covid-19, el aislamiento, la ventilación mecánica y el decúbito
prono, se logró con el protocolo y medidas preventivas, una tasa de incidencia
de upp menor a la prevalencia mundial según la OMS de 5 a 12%, pero mayor en
comparación a la del año anterior (1.80%) en nuestra institución.
0125 COVID-19: PRIMERA OLA VS.
SEGUNDA OLA EN PACIENTES CRÍTICOS VENTILADOS
A Aller(1), A
Aller(2), JG Valido(2), CDV Barrios(2), P Falvo(2), A Feldman(2), F Rios(2), L
Macchiavello(2), M Calani(2), A Sirino(2), A Lugo(2), JM Morales(2), L
Abedín(2), D Denis(3), F Luna(2), C Vanini(4), F Hermida(2), V Lischetti(2), P
Lago(3), C Lawdansky(2), F Costa(2), R Costabile(2), A Milla Lopez(4), M Ragazzoli(2),
P Moltrasio(2), G Smurra(2), W Argana Montan(2), G Figueroa
(1) Pirovano. (2) Dr. Ignacio Pirovano. (3)
Dr Ignacio Pirovano. (4) Dr. Ignacio Pirovano
Introducción: A partir de marzo del 2021 inició la segunda
ola COVID-19 producto de una nueva variante.
Objetivos: Comparar epidemiologia, gravedad, días de
estadía y mortalidad de los pacientes de la primera y segunda ola.
Materiales y métodos: Estudio de cohorte retrospectivo en pacientes
>18 años con COVID-19 en ventilación mecánica (ARM) en UTI del Hospital
Pirovano, se comparó los pacientes ingresados en la primera ola (15/03/21 al
27/02/21) con los de la segunda ola (01/03/21 al 30/8/21). Variables Dia 1:
demográficas, comorbilidades, fallas orgánicas y escores. Al alta días de
internación en UTI, días de ventilación mecánica y mortalidad.
Se comparan los datos con c², prueba T o
Wilcoxon, según corresponda.
Resultados: Ingresaron 215 pacientes COVID-19 en ARM, 119
en la primera ola y 96 en la segunda. Edad 60 ± 14 años, masculinos 63%, APACHE
II 14 ± 5.
Si bien los pacientes en la primera ola eran
más añosos esa diferencia no fue estadísticamente significativa. En la primera
ola había mayor cantidad de pacientes mayores de 70 años (p 0.002), APACHE II
mayor (p 0.00001), SOFA al ingreso mayor (p 0.01), por lo que la mortalidad fue
mayor (p 0.049) y con menos días de ARM (0.049) pero con igual tiempo de
internación. Los pacientes de la segunda ola estuvieron más graves durante la
internación como se evidencia por el porcentaje de shock y ARDS aunque este
último no fue estadísticamente significativo y pronos posteriores.
Conclusiones: Lo pacientes en la primera ola estuvieron más
graves al ingreso y con mas fallas orgánicas. Los pacientes de la segunda ola
presentaron más shock y distrés durante la internación, pero tuvieron menos
mortalidad y por lo tanto menos días de ARM y de internación.

0126 COVID GRAVE EN PACIENTES
OBSTETRICAS. ANALISIS DE FACTORES RIESGO Y RESULTADOS MATERNOS Y PERINATALES EN
UNA SERIE DE CASOS
EB Barrozo(1), N Blint(1),
J Cacciaguerra(1), C Walter(1), A Escoda(1), G Soria(1)
(1) Maternidad Provincial Teresita Baigorria
Introducción: Contraer COVID-19 durante el embarazo supone
un riesgo mayor de ingreso a cuidados intensivos pero la información respecto a
esta poblacion es aun excasa.
El objetivo de este estudio es presentar una
serie de casos analizando condiciones de riesgo y los resultados en embarazadas
con covid grave que requirieron ingreso a UCI.
Métodos: Estudio descriptivo observacional de una
serie de casos de pacientes ingresadas a Terapia Intensiva de la Maternidad
Teresita Baigorria San Luis con insuficiencia respiratoria aguda por covid 19
de Enero a Agosto de 2021. Analisis retrospectivo de datos de Historia clinica.
Resultados: Ingresaron al Hospital 75 pacientes
obstetricas con PCR + covid-19. 20 presentaron sintomas respiratorios (26%) 15
requirieron UCI (75%).
Se admitieron 12 embarazadas (80%) y 3
puerperas.
9 pacientes requirieron ARM (60%). 6
pacientes mantuvieron la ventilacion espontanea.(40%) 2 utilizaron CAFO.
10 pacientes finalizaron su embarazo en la
internacion (66%) 100% Cesarea. 80% parto prematuro.
El peso promedio de los RN de madres en ARM
fue de 1290 grs.
Se externaron 5 embarazadas: 4 finalizaron a
termino. 1 aborto espontaneo.
No hubo mortalidad materna ni de RN en
nuestra serie. Todos los RN tuvieron PCR negativa.
Ninguna de las pacientes estaba vacunada.
Conclusión: En nuestra poblacion los sintomas
respiratorios fueron de aparicion precoz y con rapido deterioro al ingreso al
Hospital.
La Obesidad, cursar el segundo trimestre de
gestacion, la linfopenia marcada y altos niveles de PCR fueron factores
determinantes de mala evolucion y requerimiento de ARM.
Evidenciamos alta tasa de parto prematuro y
de morbilidad para los RN.
Las embarazadas deben tener monitoreo
estricto en unidades especializadas.

0127 RELACIÓN ENTRE INDICE DE
ROX EN LAS PRIMERAS 12 HORAS DE INICIO DE CNAF EN PACIENTES CON NEUMONIA POR
COVID 19 Y REQUERIMIENTO DE INTUBACIÓN OROTRAQUEAL
MV Vila(1), C
Torres(1), M Lynch(1), M Tisi Baña(1)
(1) Hospital Universitario Austral
El score de Rox es un índice validado para predecir cuáles de los
pacientes con insuficiencia respiratoria que se encuentran con soporte con CNAF
tienen mayor probabilidad de requerimiento de IOT. Los estudios que validaron
este índice establecen que el momento con mayor precisión para predecir el
fallo es a las 12 horas de iniciado el soporte con CNAF. Al momento no existe
evidencia sobre la capacidad de predicción de IOT según el índice en pacientes
con neumonía por COVID 19. Se realizó este estudio para evaluar si el valor de
índice de Rox a las 12hs se relaciona con el requerimiento de IOT en pacientes
con neumonía severa por COVID 19. Se llevó a cabo un estudio prospectivo con 62
pacientes internados por neumonía severa por COVID 19 con requerimiento de
CNAF. Se incluyeron pacientes adultos, 42 hombres y 20 mujeres. El 83% (52)
presentaba comorbilidades. 36 pacientes presentaron neumonía leve o moderada
por tomografía, 24 presentaba neumonía extensa y 2 no tuvieron hallazgos en
tomografía. El 100% de los pacientes recibió tratamiento con corticoides y
antibióticos, y el 38% recibió Tocilizumab. La mortalidad fue 9% (6). Se
realizó medición de índice de Rox a las 12hs de inicio de la CNAF. Un valor de
Rox mayor a 4,88 se asoció a menor riesgo de intubación orotraqueal (OR 0.12 IC
0.03-0.4) p=0.001. Teniendo en cuenta este resultado, se interpretó que el uso
de índice de Rox en pacientes con insuficiencia respiratoria por COVID-19
podría ser útil para predecir de manera sencilla el riesgo de intubación
orotraqueal. A partir de este trabajo podría desarrollarse nueva evidencia
acerca de la validación de datos pronósticos en neumonía severa por COVID 19.
0128 Asociación entre
biomarcadores medidos a la admisión hospitalaria y mortalidad en pacientes con
COVID-19 moderado-severo
C Peralta(1), M
Ghigo(2), A Villalba(2), M Castro(2), L López(2)
(1) Instituto Modelo De Cardiologia Srl. (2)
Instituto Modelo de Cardiologia Privado S.r.l.
Introducción: En pacientes con COVID-19 hospitalizados, el
monitoreo seriado con biomarcadores (inflamatorios, de trombosis e injuria
miocárdica) demostró ser útil para predecir eventos clínicos adversos. Debido a
la alta mortalidad que tienen las formas severas de la infección por
SARS-CoV-2, sigue siendo de interés médico poder identificar pacientes de alto
riesgo al momento de la admisión. El objetivo de nuestro estudio fue evaluar si
existe asociación entre los biomarcadores medidos a la admisión hospitalaria y
la mortalidad en pacientes con COVID-19 moderado-severo.
Método y metodología: Estudio retrospectivo, observacional
realizado en 389 pacientes mayores a 18 años con diagnóstico de neumonía por
SARS-CoV-2 internados en área crítica (UTI) o en sala COVID. Solo se incluyeron
aquellos pacientes que tuvieron medidos a la admisión, lactato deshidrogenasa
(LDH), ferritina (Ferr), proteína C reactiva (PCR), Troponina T de alta
sensibilidad (hs-TnT), fracción N-terminal del péptido natriurético tipo B
(NT-proBNP) y dímeros D (DD). El punto final fue mortalidad intrahospitalaria.
Se realizaron análisis descriptivos, inferenciales y regresión logística. Para
el análisis de riesgo se definió el punto de corte de los biomarcadores
mediante curvas operador-receptor. Se consideró un valor de p <0,05 como
significativa.
Resultados: 219 individuos cumplieron los criterios de
inclusión. La edad promedio fue 60,7±13,5 años. El 74.5% hombres. La mortalidad
intrahospitalaria fue del 11%. El 55.1% era hipertenso, el 41.9% obeso y el 20%
tenía enfermedad cardiovascular previa. Algunos biomarcadores presentaron
diferencias entre los grupos de sobrevivientes vs no sobrevivientes (Tabla I).
Se encontró asociación entre el nivel de los biomarcadores a la admisión y la
mortalidad intrahospitalaria (Tabla II).
Conclusión: Nuestro estudio mostró que un perfil de
biomarcadores alterado a la admisión hospitalaria en pacientes con las formas
moderada severa de la infección por SARS-CoV-2 se asocia con peor pronóstico y
mayor mortalidad intrahospitalaria.


0130 Abordaje
transdisciplinario en una sala de rehabilitación de pacientes post-covid
(SaRh): experiencia de trabajo en equipo
M Rubio(1), JI
Lisazú(1), N Cristiani(1), M Pirovani(1), M Neira(1), N Davidjan(1), A Duttweiler(1),
J Gurrisi(1), V Martin(1), A Aisenberg(1), S Tedesco(1), K Pérez(1), P
Pisano(1), MC Pogliani(1), J Grinberg(1), G Inga Salazar(1), MS Maggini(1), A
Gómez(1), K Díaz(1), G Muntaabski(1), M Previgliano(2), M Rodríguez Ruíz(1)
(1) Pirovano. (2) Fernandez
Introducción: Los pacientes hospitalizados en la Unidad de
Cuidados Intensivos (UCI) pueden desarrollar síndrome post cuidados intensivos,
sufriendo trastornos físicos, cognitivos y/o de salud mental; se desprende
entonces la necesidad de un dispositivo de intervención transdisciplinario para
su rehabilitación que tendrá como objetivo alcanzar la máxima funcionalidad
optimizando su calidad de vida.
A raíz de la emergencia sanitaria surgió un
dispositivo de rehabilitación transdisciplinaria e intensiva para pacientes que
cursaron internación por COVID-19. Esta sala en el contexto de un un hospital
de agudos resulta novedosa y nos ha motivado a documentar la evolución de los
pacientes.
El objetivo fue describir las características
clínico-demográficas y la evolución de las variables de cada especialidad.
Métodos: Diseño observacional, descriptivo,
retrospectivo, longitudinal. Se incluyeron pacientes que cursaron internación
en UCI e ingresaron a la SaRh durante 09/2020-08/2021. Se excluyeron pacientes
no COVID-19. Eliminados: intercurrencia médica. Se recolectaron variables
respectivas a cada especialidad.
Resultados: n=73. Edad: media y desvío estándar
73(+-14,6) años, 67,1%(49) masculinos. Diagnóstico ingreso: 93,2%(68) neumonía
por COVID-19; 49,3%(36) residentes en área programática del nosocomio. Días de
internación en rehabilitación: mediana y rango intercuartil 15(9;25) días.
Ingreso: dependencia funcional 91,8%(67), polineuropatía 52,5%(32),
oxigenoterapia 31,5%(23), 69,9%(51) sin deambulación, 28,8%(21) vía de
alimentación enteral, 78,9%(45) alteración de función cognitiva. Egreso:
89%(65) alta por especialidades, 58,5%(38) independencia funcional,
deambulación 90,7%(59), 100%(65) alimentación exclusiva vía oral y 1,5%(1) con
oxigenoterapia.
Conclusión: Concluimos que los pacientes que cursaron
internación en la SaRh presentaron condiciones de alta notablemente favorables
en relación al ingreso a la misma en actividades de la vida diaria,
deambulación, vía de alimentación y requerimiento de oxígeno suplementario.
0131 Importancia de los gases
en sangre arterial en la evaluación del paciente COVID al ingreso hospitalario
BN Garcia
Rosolen(2), BF Capecce(1), LMC Rodriguez(2), LG Ballarino(3), TD Lopez(2), BC
Zuanich(2)
(1) Hospital General de Niños Pedro de
Elizalde. (2) Hospital de Rehabilitación Respiratoria Maria Ferrer. (3) Uces
Introducción: La gasometría arterial (GSA) evalúa estado
ventilatorio, de oxigenación y equilibrio ácido-base. En COVID-19 son
características las manifestaciones pulmonares y se ha descrito la “hipoxemia
silenciosa” como hipoxemia sin disnea. La SpO2 (pulsioximetría) puede diferir
de la oxihemoglobina (O2Hb%) medida por cooximetría y es menos exacta en
valores menores a 80%.
Objetivo: Evaluar al ingreso al hospital GSA,
correlación entre SpO
2 y O2Hb% e “hipoxemia silenciosa” en
pacientes COVID-19. Identificar marcadores asociados a evolución a ARM.
Métodos: Estudio retrospectivo (abril 2020 a junio
2021). Se analizaron resultados GSA 21% (ABL90 Radiometer) e historias
clínicas: disnea, frecuencia respiratoria (FR), SpO2, comorbilidades, edad,
sexo, ARM. Estadística InfoStat v.2020; comparación de variables test Chi
cuadrado, Fisher, test T, prueba de la mediana, coeficiente de Pearson y regresión
lineal y análisis multivariado. P significativa <0,05.
Resultados: Se incluyeron 176 pacientes, 55 años ±13,3,
61% varones. Disnea 76%, FR 24/min ±5,4, comorbilidades 64% (56% patología
respiratoria crónica), pO2 68,9mmHg ±13,6, SpO2 92,6% ±4,6, 87% presentaron
hipoxemia (pO2<85mmHg) y 59% hipocapnia (pCO2<35mmHg). La pO2 en los
pacientes con disnea fue menor (p=0,03). El 19,3% de los hipoxémicos no
presentaron disnea. Correlación de Pearson entre SpO2 y O2Hb% (p=0,001),
regresión lineal R2=0,431. En el 27% que requirió ARM, la pO2 al ingreso fue
menor (p=0,031) aunque la hipoxemia no se asoció a ARM, mientras que sí la
patología respiratoria crónica (p=0,003). El 18% falleció.
Conclusiones: La patología
respiratoria crónica preexistente se asoció a ARM (riesgo 66.3% mayor), no se
hallaron otros marcadores al ingreso asociados. “Hipoxemia silenciosa” se
observó en 19.3%. El 43% de las SpO2 estimaron correctamente la verdadera
saturación, en los valores bajos la subestimación del pulsioxímetro es mayor.
0132 Trabajo observacional de
HELMET como herramienta terapéutica en neumonía por COVID-19
JP Arduino(1), D
Cattalini(1), S Pulcinelli(1), D Sanchez(1), D Souto(1), C Suarez(1)
(1) Heca
El Hospital de Emergencias Dr. Clemente
Álvarez (HECA), es un centro de 3° nivel de atención dentro del Sistema de
Salud Pública de la Municipalidad de Rosario.
La pandemia por COVID-19 supuso un nuevo
desafío al tener que garantizar la atención de pacientes frente a las nuevas
necesidades sanitarias.
Entre Abril de 2020 y Agosto de 2021
ingresaron al Servicio de Terapia Intensiva 349 pacientes, de los cuales 209
tuvieron diagnóstico de neumonía por COVID 19 confirmado por PCR. De éstos, el
65% fueron hombres y el 35% mujeres, con una edad promedio de 50,2 años. El 88,2%
presentaron algún tipo de co-morbilidad.
En este contexto, del total de pacientes
asistidos por COVID-19 (209), 190 requirieron asistencia ventilatoria (90,9%),
de los cuáles a 149 (78%) se los colocó en ventilación invasiva (VI) al momento
del ingreso a la unidad, mientras que a 41 pacientes (22%) se los vinculó a VNI
con Helmet.
De esta manera, se implementó la
oxigenoterapia con alto flujo con CPAP mediante Helmet como herramienta
terapéutica para determinados pacientes que presentaban hipoxemia refractaria
al tratamiento con oxígeno con mascarilla y criterios gasométricos de
vinculación mecánica ventilatoria.
La mortalidad total observada en nuestro
Servicio fue del 51% en pacientes admitidos por COVID-19; siendo la mortalidad
en los pacientes con ventilación invasiva del 61,9%.
De los 41 pacientes tratados con Helmet, 63%
fueron hombres y 37% mujeres, con una edad promedio de 49 años. La mortalidad
observada en este grupo fue del 39% (23 pacientes requirieron ventilación
invasiva, de los cuáles 16 fallecieron). La estadía promedio fue de 14,7 días,
con un promedio de uso de Helmet de 4,7 días.
En este sentido, consideramos que la
ventilación con Helmet, puede ser una opción terapéutica eficiente y aceptable
para el tratamiento en determinados tipos de pacientes con neumonía por
COVID-19.
0133 Analisis epidemiologico de
los pacientes ingresados a la Terapia
Intensiva del Complejo Medico Policial Churruca-Visca por neumonia por covid-19
A Feldman(1), D
Quaranta(1), D Varela(1), J Aguirre(1), C Lopez(1), G Sibila(1), P Coronado(1),
J Yaloske(1), J Capella(1), R Alvarado(1), A Perazzi(1), S Tomez(1), M De
Gaurdia(1), C Benay(1), N Tiribelli, M Lompinzano(1), S Fredes(1), N Falcon(2),
M Vazquez(1), S Racero(1), C Pozo(1), E Arista(1), C Canessa(1), R Sanchez(1),
C Pino(1), P Revel Chion(1), P Escalante(1), M Guaymas(1)
(1) Churruca. (2) Perez
Introducción: Desde el 31 de diciembre de 2019, hasta la
fecha se han registrado más de 238.700.000 de casos de COVID -19 .
Objetivo: Describir la epidemiología de los pacientes
ingresados a la Unidad de Terapia Intensiva con diagnóstico de neumonía por
COVID-19.
Material y metodos: Estudio descriptivo, retrospectivo y
observacional de pacientes >15 años de edad ingresados a UTI con diagnóstico
de COVID-19 confirmado por RT-PCR desde enero del 2021 hasta junio del 2021.Las
variables registradas: edad, sexo, escores de gravedad, síntomas ,fallas
orgánicas, ventilación mecánica (VM), días de estadía y mortalidad. Los datos
se presentan como media ± DE, mediana + RI y porcentajes % .
Resultados: Ingresaron a UTI 190 pacientes con neumonía
con COVID-19, 155 requirieron ARM (81 %) por más de 24 hs. La edad fue de 59±16
y el 68 % hombres. El APACHE II 24±8 con riesgo de mortalidad del 53 %, el SOFA
4 ± 2. El tiempo de inicio de los síntomas hasta el ingreso a UTI de 8 [RI
3-8]. Los síntomas fueron: fiebre 129 (68%), tos 123 (65%), disnea 40 (21%).
Los factores de riesgo HTA 80 (42%), obesidad 74 (39%), diabetes 38 (20 %),
EPOC 8 (4%). Al ingreso se observó shock en el 133 (70 %) y 165 (87 %)
desarrollo SDRA. De los 45 pacientes que no requirieron ARM, 12 (22%)
recibieron cánula de alto flujo (CAF) y mascara reservorio 23 (43%).Solo
requirio AMS (3%), dexametasona 190 (100 %) y tocolizumab 4 (2%) y remdesivir 6
(3%). Requirieron traqueostomías percutáneas (TQTP) 91 (48%) pacientes, días a
TQTP 15 [RI 8-20]. La PAFI de ingreso 112 [110-180], decúbito prono 114 [60%].
Complicaciones: shock séptico 114 (60%), fallo renal 38 (20%), neumotórax 19
(10%), fistula traqueo-esofágica 3 (6%). Los días de VM 16 [RI 3-15] y días de
estadía en UTI 24 [4-30], la mortalidad fue del 58 %.
Conclusion: Nuestra población muestra predominio en
pacientes en edad media y sexo masculino, con scores de gravedad elevados. Es notable
lo tardío de el ingreso a UTI desde el inicio de los síntomas. La mortalidad
observada concuerda con la mayoría de las publicaciones.
0134 ¿La vacunación mejora la
evolución de los pacientes con COVID-19 en Terapia Intensiva? Experiencia en 3
centros de CABA
V Chediack(1), E
Cunto(1), L De Vedia(1), P Saul(1), N Chacon(1), A Rodriguez(1), N Lista(1), C
Dominguez(1), R Gregori Sabelli(1), J Fernandez(1), M Flores(1), I Prieto(1), Y
Lamberto(1), L Nicolosi(2), P Velazquez(3), M Sanchez Cunto(3), M Bertelli(3),
K Schiavino(3)
(1) Muñiz. (2) Español. (3) Policlinico
Central Uom
Introducción: Entre los beneficios de las vacunas para
COVID-19 se mencionan la menor probabilidad de progresión a casos
graves/críticos, con reducción de la tasa de ingreso a Terapia Intensiva (TI) y
mortalidad.
Hipótesis: La vacunación contra COVID es protectora en
los pacientes ingresados a TI, con disminución de necesidad de ventilación
mecánica (VM) y mortalidad.
Material y métodos: Estudio observacional, retrospectivo, caso
control, multicéntrico. Se analizaron 467 pacientes ingresados a TI con
COVID-19, 85 vacunados y 382 no vacunados, en el periodo marzo-agosto 2021. Se
uso planilla Microsoft Excel y estadística descriptiva. Significancia
estadística p< 0,05.
Resultados: Entre los vacunados, 79 (93%) tenían una
dosis y 6 (7%) dos dosis. El 39% eran mujeres. Comorbilidades asociadas:
hipertensión arterial (61%), obesidad (51%) y diabetes (34%). Mediana: edad 70
años, fecha de inicio de síntomas (FIS) e ingreso hospitalario: 6 días, 8 días
hasta el ingreso a TI y estadía en TI fue 12 días. 81% requirió VM, y 72%
decúbito prono. El 75% requirió vasopresores, 37% evolucionó con bradicardia y
32% con insuficiencia renal. El 38% presentó neumonía asociada a VM ( NAV).
Falleció el 71% (62% hombres). Las variables asociadas con mortalidad: edad ≥
70 años; VM, decúbito prono y vasopresores, días de VM; bradicardia,
insuficiencia renal y NAV.
Entre los pacientes no vacunados, el 32% eran
mujeres; edad mediana 57 años; requirieron VM 67%; mortalidad 48% (ventilados
65% ventilados).
Comparando ambos grupos se observó que entre
los pacientes vacunados fueron significativamente mayores las tasas de
requerimiento de VM y la mortalidad.
Conclusión: En nuestro grupo de pacientes graves y
críticos la vacunación no fue protectora para evitar la VM o mejorar la
sobrevida. Sin embargo, cabe consignar que solo 6 de los 85 pacientes habían
completado el esquema de vacunación al momento de ingresar a TI.
0136 CREACION DE UN PROGRAMA DE
CUIDADOS POSTERIORES AL COVID 19 EN UNA UCI DE IV NIVEL
LA Dulcey
Sarmiento(1), DM Villamizar Olarte(2), JF Castillo Blanco(3), LM Martinez
Martinez(3), EA Villarreal Rojas(4), R Caltagirone(5), GP Salamanca Coy(2)
(1) Universitario de los Andes. (2) Universidad
Industrial de Santander. (3) Universidad de Santander. (4) Universidad Libre.
(5) Universidad de los Andes
Introducción: La enfermedad por COVID-19 puede provocar una
gran variedad de problemas de salud a largo plazo, como deteriorar la función
pulmonar, reducción del rendimiento del ejercicio y disminución de la calidad
de vida. Nuestro estudio tuvo como objetivo investigar la eficacia, viabilidad
y seguridad de la rehabilitación pulmonar en pacientes con COVID-19 y comparar
los resultados entre pacientes con un curso leve / moderado y grave / crítico
de la enfermedad.
Métodos: Los pacientes en la fase posaguda de un curso
leve a crítico de COVID-19 ingresados en un programa integral de rehabilitación
pulmonar, se incluyeron en este estudio de cohorte prospectivo y observacional.
Se evaluaron antes y después varias medidas de rendimiento del ejercicio,
distancia de caminata de 6 minutos, función pulmonar (capacidad vital forzada
(CVF)) y calidad de vida (encuesta de salud de formato corto de 36 preguntas
(SF-36)). Resultados: Se incluyeron 43 pacientes en el estudio (20 con COVID
leve / moderado y 23 con COVID grave / crítico- 19).
Resultados: Al ingreso, los pacientes tenían una
distancia de caminata reducida (leve: mediana 401 m, rango intercuartílico
(IQR) 335-467 m; severo: 108 m, 84-132 m), una CVF deteriorada (leve: 72%,;
severo: 35%,) y una puntuación baja de salud mental SF-36 (leve: 52 puntos,
severo: 32 puntos. Los pacientes recibieron sesiones ajustadas a sus
capacidades fisicas, los pacientes de ambos subgrupos mejoraron en la prueba de
caminata de 6 minutos (leve / moderada: +54 m, severo / crítico: +117 m, ambos
p <0,002), CVF (leve / moderada: + 8,9%, p = 0,004; severo / crítico: +
12,4%, p <0,003) y componente mental SF-36 (leve / moderado: +6,8 puntos, p
= 0,062; severo / crítico: +16,7 puntos,-p <0,005).
Conclusiones: Un programa
de ejercicio bien estructurado resulta en un beneficio en las esferas de
capacidad aerobica, volúmenes pulmonares y calidad de vida, en tal sentido se recomienda
ampliar muestras poblacionales para poder aplicar nuestro protocolo a otros
centros encargados en la rehabilitación de pacientes COVID-19.
0137 Comparación entre la
primera y segunda ola de pacientes con COVID-19 que requirieron asistencia
respiratoria mecánica en una UCI Argentina
G Musso(1), C
Gonzalez(1), MC Gomez(1), G Appoendino(1), L Clemente(1), A Abarca(1), L
Friscione(2), G Plotnikow(3), F Montagner(1), O Abbondanzieri(1), L Id
Betan(1), F Braconi(1), A Bianco(1), P Guerrero(1), Y Garrido(1), H
Carranza(1), L Berloni(1), C Lovesio(1), M Manago(1)
(1) Sanatorio Parque. (2) Instituto
Cardiovascular de Rosario. (3) Británico.
Introducción: La información sobre las características y
resultados ventilatorios que comparen la primera (O1) y segunda (O2) ola de
COVID19 en Argentina son limitados.
Objetivos: Describir las características generales y
variables ventilatorias en pacientes COVID19 que requirieron asistencia
mecánica ventilatoria invasiva (ARM), y comparar las diferencias entre las
olas. Secundariamente se estudiarán los factores asociados con mortalidad.
Materiales y Métodos: Realizamos un estudio observacional analítico
de cohorte retrospectiva que incluyó pacientes mayores de 18 años infectados
por SARS-CoV-2 ingresados de forma consecutiva a la unidad de cuidados
intensivos, en ARM, entre el 1 de agosto de 2020 y el 30 de junio de 2021. Las
características al ingreso de los pacientes y las variables ventilatorias se
recopilaron para su posterior análisis.
Resultados: De los 412 pacientes analizados el 73.8% eran
hombres y la mediana de edad fue 61 años. Encontramos diferencias en la edad
[O1 64 (55-72) años vs O2 59 (50-66) años]; presencia de EPOC [O1 n=41 (19.8%)
vs O2 n=13 (6.3%)]; Presión plateau [O1 27 (25-30) cmH2O vs O2 24 (22-27)
cmH2O], driving pressure (ΔP) [O1 15 (13-17)
cmH2O vs O2 12 (11-14) cmH2O]; complacencia [O1 40 ml/cmH2O (32-46) vs O2 33
ml/cmH2O (27-40)]; reintubación [O1 30,4% (n=63/207) vs O2 13,7% (n=28/205)].
La regresión de Cox identificó la edad [(OR 1.07 (IC 95% 1.05 - 1.09)], el ΔP en las primeras 24 hs [(OR 1.19 (IC 95%
1.10 -1.28)] y O2 [OR 1.81 (IC 95% 1.12 - 2.93)] como predictores
independientes de mortalidad.
Conclusión: Los pacientes con COVID19 durante la O2
fueron más jóvenes y se logró alcanzar variables de monitoreo de mecánica
ventilatoria más ajustadas a una estrategia de ventilación protectora.
Condiciones preexistentes como la edad y variables ventilatorias como el ΔP fueron predictoras independientes de
mortalidad.
0138 Asociación entre estado
nutricional, comorbilidades y tiempo de estadía hospitalaria de los pacientes
internados con COVID-19 en el Nuevo Hospital San Roque en la ciudad de Córdoba
S Camisassa(1), ML
Coluccini(1), V Castro(1), A Martini(1), N Salazar(1), ML Visentini(1)
(1) Nuevo Hospital San Roque
Introducción: La COVID-19 planteó desafíos y amenazas sin
precedentes para pacientes y sistemas de salud en todo el mundo. La evaluación
y el tratamiento nutricional oportuno y adecuado, reducen efectivamente las
complicaciones y mejoran los resultados clínicos.
Pregunta de investigación: ¿Existe asociación entre el estado
nutricional, las comorbilidades y el tiempo de estadía hospitalaria de los
pacientes internados con COVID-19 en el Nuevo Hospital San Roque desde abril a
diciembre de 2020 en la ciudad de Córdoba?
Método y Metodología: Estudio descriptivo, retrospectivo,
correlacional y de corte transversal. Los datos fueron recabados de la historia
clínica digital de cada paciente, desde abril a diciembre de 2020
(sociodemográficos, medidas antropométricas, estadía hospitalaria, estado
nutricional, atención en cuidados intensivos). Se registraron en una tabla de
recolección de datos y se procesaron en tablas y gráficos pertinentes,
empleando el programa Microsoft Excel versión 365.
Resultados: Muestra conformada por 477 pacientes.
El Estado Nutricional Sobrepeso y Obesidad,
fue más frecuente en pacientes entre los 36 y 64 años. Las comorbilidades de
mayor prevalencia fueron las Metabólicas y Cardiovasculares. La estadía
hospitalaria predominante fue la Intermedia. A medida que el IMC aumentaba, los
días de internación hospitalaria se prolongaban. A medida que aumenta el número
de comorbilidades la estadía hospitalaria disminuye. Se observó que quienes
presentaban 1 o 2 comorbilidades tuvieron una estadía hospitalaria intermedia.
Un 40% del total de los pacientes internados en la unidad de cuidados
intensivos fue diagnosticado con Obesidad según su IMC.
Conclusión: Es fundamental el trabajo interdisciplinario,
siendo indispensable el rol de las/os Licenciados en Nutrición, en el proceso
de atención nutricional, identificando pacientes malnutridos y/o en riesgo,
realizando una intervención temprana y oportuna, evitando el deterioro
nutricional el cual afecta su recuperación y calidad de vida post internación de
los pacientes con COVID-19.
0140 Analgosedación y
características de pacientes COVID-19 ventilados en una UCI de adultos de un
hospital de alta complejidad: estudio de cohorte prospectivo
J Vilca(1), CI
Loudet(1), MJ Meschini(1), M García Sarubbio(1), V Pazos(1), G Saenz(1), S Tal
Benzecry(1), A Barbieri(1), V Aramendi(1), C Trovatto(1), C Colavita(1), A
Mazzoleni(1), C Paez(1), A Garroni(1)
(1) Higa Gral San Martín
Introducción: La COVID-19 se asoció a altas, aunque
dispares, tasas de mortalidad y desafió a los equipos en relación al manejo del
SDRA. Un protocolo de analgosedación (AS) vigente desde 2016 en nuestra UCI se
puso a prueba durante la pandemia.
Objetivos: Analizar características de pacientes y la
estrategia de AS y bloqueo neuromuscular (BNM) en pacientes COVID-19
ventilados.
Determinar mortalidad hospitalaria e
identificar predictores de mortalidad.
Método: Cohorte prospectiva en UCI adultos de 28
camas de un Hospital público de alta complejidad de la Pcia de Bs As. Se incluyeron
pacientes consecutivos con COVID-19 (PCR), ≥16 años en VM >2 días, desde
julio 2020 a junio 2021. Se registraron características de pacientes, scores de
gravedad al ingreso, días ARM, días hospital, días UCI, mortalidad
hospitalaria, requerimiento de prono y de BNM. Además, de la prescripción
electrónica se obtuvieron las dosis y días de tratamiento de analgosedantes y
BNM. Se compararon resultados entre vivos y muertos. Para todas las
comparaciones se consideró significativa p<0.05.
Resultados: Se incluyeron 163 pacientes. El 94.5% recibió
FNT, 90.2% MDZ, 39.9% DEX, 34.4% PROP y 60.7%ATRA. Las características de la
población se muestran en tabla 1 y las dosis y días de AS en tabla 2. La
mortalidad hospitalaria fue 60.1%. En modelo de regresión logística múltiple el
SOFA (OR e IC), edad>55 (OR e IC) y días FNT (OR e IC) fueron predictores
independientes de mortalidad.
Conclusiones: El manejo de la AS fue consistente con el
protocolo de la unidad, no se observó diferencia entre vivos y muertos, pese a
la severidad, reflejando la importancia de contar con un programa de AS
afianzado. Se determinó elevada mortalidad hospitalaria observándose relación
inversa entre días de FNT y esta variable. SOFA y edad >55 resultaron
predictores de mortalidad


0142 Detección y rehabilitación
precoz de la disfagia en una Unidad de Accidente Cerebro Vascular (UACV)
M Albeverio(1), MF
Guarriello(1), A Davancens(1), C Baigorri(1), CM Costilla(1), N Mantiñan(1), CJ
Estol(1)
(1) Sanatorio Güemes
Introducción: La disfagia es una complicación frecuente en
pacientes con ACV repercutiendo negativamente en el resultado funcional. La
evaluación e intervención oportuna realizada por fonoaudiólogos especialistas
en deglución, permite detectar disfagia, reducir malnutrición, deshidratación y
neumonía aspirativa (NA).
Objetivo: Describir y analizar la detección y
rehabilitación precoz de disfagia. Materiales: Evaluamos 1221 pacientes
internados en la UACV entre agosto del 2017 y septiembre del 2021 mediante un protocolo
de evaluación clínica de disfagia complementado con test GUSS (Guggin
Swallowing Screen) para determinar disfagia y vía de alimentación.
Resultados: De los 1221 pacientes con ACV evaluados (83%
isquémicos y 17% hemorrágicos), 623 tuvieron disfagia (51%). Los predictores
clínicos de disfagia más frecuentes fueron afasia (5%), déficit facial
(5%),disartria (9%), combinación de afasia - déficit facial (15%) y disartria -
déficit facial (34%). En el 51% (317) de los casos con disfagia la nutrición fue
mediante sonda nasogástrica (SNG) y el 25% (158) de ellos, además necesitó
intubación orotraqueal para protección de la vía aérea. En el 22% (137) de los
pacientes con disfagia utilizamos la combinación de SNG y vía oral (VO) y en el
27% (169) la adaptación de consistencias. El seguimiento diario registró que el
7% (11) de pacientes con SNG sin AVM (159) iniciaron VO exclusiva y el 46% (64)
de aquellos con alimentación mixta (137) progresaron a VO, siendo el promedio
de estadía en la UACV 6 días. De los 623 pacientes con disfagia 4% (25)
tuvieron NA con puntaje GUSS < 4.
Conclusiones: En la UACV la disfagia afecta a la mitad de
los pacientes, siendo disartria/déficit facial el predictor clínico más
frecuente. El puntaje bajo en la prueba indirecta de GUSS fue predictor de NA.
La rehabilitación fonoaudiológica durante la primera semana permite el retiro
de SNG en el 25% de los pacientes sin AVM.
0143 THERAPEUTIC INTERVENTION
SCORING SYSTEM28 Y NURSING ACTIVITIES SCORE PARA VALORAR CARGA DE TRABAJO DE
ENFERMERIA EN PACIENTES CON COVID-19 EN VENTILACION MECANICA INVASIVA
SL Fernandez, CI
Loudet(1), J Becerra Vilca(1)
(1) Hospital San Martín de La Plata
Introducción: El uso de escalas que valoran cargas de
trabajo de enfermería son fundamentales para la adecuación de recursos
materiales y humanos de las UCIs, y también se los ha vinculado con mortalidad.
El Therapeutic Intervention Scoring System28 (TISS28) es el más ampliamente
utilizado, pero el Nursing Activities Score (NAS) contempla más aspectos y su
valor permite extrapolar directamente el tiempo porcentual de trabajo del
enfermero por paciente.
Objetivos: Describir la puntuación de TISS28 y NAS
escores para valorar carga de trabajo de enfermería y relación
enfermero:paciente en pacientes con COVID-19.
Métodos: Corte transversal en UCI-COVID de 14 camas.
Se incluyeron pacientes con COVID19 con requerimiento de ventilación mecánica
invasiva (VMI). Se registraron datos epidemiológicos, APACHEII, SOFA24, TISS28,
NAS, relación enfermero:paciente, días de VMI, días en la UCI y mortalidad en
UCI. Los valores de TISS28 y NAS se registraron al ingreso y su peor valor
durante la internación. Se buscó identificar el factor que más impactó en el
puntaje del peorNAS. Los datos son presentados como N (%), media ± DS o mediana
[p25-p75] según su naturaleza y distribución. Programa STATA 14.
Resultados: Entre mayo-octubre 2020
ingresaron 50 pacientes consecutivos con diagnóstico confirmado para COVID-19 y
requerimiento de VMI. Edad 54±16 años, género masc 64%, shock ingreso 65%,
APACHEII 18±7, SOFA24 7[6-9], diálisis 33%, días VM 18[10-29], días UCI
18[11-33], requerimiento decúbito prono 49%, mortalidad UCI 54%. El TISS28 de
fue inicio 32±6, y el NAS 58±5; peorTISS28: 35±6 y peor NAS 67±5; la relación
promedio enfermero: paciente 1:2. El factor que más impactó en el peorNAS fue
el decúbito prono (NAS en pac con prono 77±5, vs 58±7; p<0.01).
Conclusiones: • El NAS escore reflejó fuertemente en esta
población la carga de trabajo de enfermería, siendo en su peor valor del 67%,
indicando que la relación enfermero:paciente necesaria hubiera sido 1:1. Este
escore contempla y pondera el ítem decúbito prono (requerimiento de 3
enfermeros).
• La relación enfermero:paciente resultó
insuficiente de acuerdo a los resultados del NAS, evidenciando dificultades
para aumentar la dotación de personal especializado y el riesgo y desgaste
laboral para el personal.
0144 NEUMONÍA ASOCIADA A LA
VENTILACIÓN MECÁNICA EN PACIENTES CON COVID-19 GRAVE: ESTUDIO DESCRIPTIVO SOBRE
CARACTERÍSTICAS CLÍNICAS Y MORTALIDAD
AN Pérez Murúa(1),
MH Junco Cubillas(1), M Jaume(1), MF Piñeiro(1), L Pero(1), MP Cordero(1), AJ
Herrera(1), C Moreno(1), A Tristaíno(1), D Lafosse(1), J Romero(1), B
Castro(1), G Llarrul(1), J Ochoa(1), P Lucero(1), K Cisneros(1), E
Porjolovsky(1), L Franconieri(1)
(1) Sanatorio Antártida
Introducción: Los pacientes con COVID-19 grave pueden
presentar insuficiencia respiratoria y requerir ventilación mecánica (VM). En
estos casos, la neumonía asociada a la ventilación mecánica (NAVM) es una
complicación frecuente que puede asociarse a mayor morbi-mortalidad.
Objetivo: Describir las características demográficas,
clínicas y mortalidad global en pacientes con COVID-19 grave con requerimiento
de VM e identificar factores asociados al desarrollo de NAVM.
Materiales y métodos: Estudio descriptivo retrospectivo realizado
en un sanatorio de CABA entre abril-2020 y agosto-2021. Se incluyeron pacientes
mayores de 18 años con diagnóstico de COVID-19 grave con requerimiento de VM.
Se analizaron características demográficas, clínicas y mortalidad global, tanto
en pacientes con o sin desarrollo de NAVM. Para el diagnóstico de NAVM se
utilizaron criterios de la Infectious Disease Society of America (IDSA). Se realizó
un análisis bivariado para identificar factores asociados al desarrollo de
NAVM.
Resultados: Se incluyeron 440 pacientes con COVID-19 con
requerimiento de VM en el periodo en estudio, de los cuales 193 (43.9%)
cumplieron con los criterios diagnósticos de NAVM. La media de tiempo desde el
requerimiento de VM hasta el desarrollo de NAVM fue de 10,6 días (DE 6,4). Las
características demográficas y clínicas, tanto en los pacientes con y sin NAVM,
se muestran en las tablas 1 y 2 respectivamente.
Conclusión: No hubo diferencia significativa en cuanto a
variables demográficas y comorbilidad. Una gran proporción de pacientes
requirió por lo menos un ciclo de prono previo a la NAVM (83,4%), y se observó
mayor duración de la VM (24,4 vs 11 días), sin diferencias en la mortalidad
global en comparación con los pacientes que no desarrollaron NAVM.


0145 INCIDENCIA DE TRAUMATISMO
CRANEOENCEFÁLICO INGRESADOS EN LA UNIDAD DE TERAPIA INTENSIVA DEL HOSPITAL
ESCUELA DE AGUDOS DOCTOR RAMÓN MADARIAGA DURANTE LA PANDEMIA POR COVID-19
MM Kaechele(1), M
Kaechele(1), M Argüello(1), R Villalba(1), M Pohlemann(1), D Acosta(1), A
Alarcon(1), L Jose Santana(1), I Cruz(1), M Rodriguez(1), A Carrera(1), S
Ribak(1), C Correia Da Silva(1), C Farquarson(1), N Barreto(1)
(1) Madariaga
Introducción: El TEC es la principal causa de muerte e
incapacidad en menores de 40 años. Durante la pandemia por COVID-19 las medidas
sanitarias llevaron a las restricciones en la circulación por el aislamiento
obligatorio; los accidentes viales descendieron el 80% según la Agencia
Nacional de Seguridad Vial de Argentina.
Objetivo: Conocer la incidencia de TEC en la UTI
durante la pandemia por COVID-19; comparar con un periodo antes del inicio de
la pandemia.
Materiales y métodos: Estudio observacional de serie de casos; se
incluyeron pacientes mayores de 15 años con TEC internados en la UTI del
Hospital Escuela de Agudos Doctor Ramón Madariaga entre marzo del 2020 a julio
de 2021, y se compararon con un periodos antes de la pandemia
Resultados: Durante el periodo se evaluaron a 18
pacientes, que ingresaron a UTI del HEADRM con diagnóstico de TEC; 11 eran
masculinos y 7 femenino, la edad media fue de 21 años. El mecanismo lesional
más frecuente fueron los accidentes viales 94.4%, 1 por caída de altura; todos
los casos fueron TEC grave. La estadía en UTI fue de 32.2 días, y los días de
AVM de 18.9. La mortalidad fue 16.6%. En el periodo antes de la pandemia
(Arguello et Al. 2020) se evaluaron 78 pacientes, 68 masculino, media de edad 32
años; mecanismo lesional más frecuente accidentes viales 96.15%; el TEC grave
76.9%; estadía en UTI fue 24.9 días, y los días de AVM 20.4 días. La mortalidad
por TEC grave fue 30.7%.
Conclusiones: Pudimos observar una disminución de la
incidencia del TEC durante la pandemia por COVID-19, con predominio del TEC
grave; y una disminución en la mortalidad. Esta disminución estaría relacionada
con una merma en la circulación dado el contexto de la pandemia.
0146 Asociación entre la fecha
de inicio de síntomas (FIS) y la sobrevida en pacientes con Covid-19
ML Quiles(1), X
Gambetta(1)
(1) Clinica del Valle
En diciembre de 2019 en Wuhan, China se
reportó una neumonía, producida por el SARS-CoV-2.
El espectro clínico de este virus es
variable, desde una infección asintomática a una condición crítica.
La incidencia a nivel mundial de falla
respiratoria aguda es de aproximadamente el 20%, mientras que el ingreso a la
UCI es del 25%.
La identificación precoz de los criterios de
inclusión a la ventilación mecánica invasiva (VMI) son de vital importancia
para mejorar el pronóstico de los pacientes.
El objetivo es encontrar asociación
estadística entre el tiempo transcurrido entre el FIS y el inicio de la VMI con
respecto a la sobrevida de los pacientes.
Estudio analítico, observacional y
prospectivo, de 101 pacientes, mayor o igual de 18 años con Covid-19,
ingresados a UCI con falla respiratoria aguda en Clínica del Valle. Entre el 20
julio del 2020 y 30 de julio del 2021. Se excluyen pacientes con requerimiento
de ventilación mecánica no invasiva, óbito dentro de las 24 hs y distrés leve.
La población de estudio fue dividida en FIS
temprano, quienes comienzan con síntomas y antes del noveno día ingresan a VMI,
y FIS tardío, luego del noveno día.
El género masculino fue el predominante con
el 60.4%, la media de edad fue de 57. El 70.29% presentaba comorbilidades. El
APACHE II tuvo un promedio de 20.37. La media de VMI en temprano fue de 11 días
y de 16 en el tardío. La media de estadía hospitalaria fue de 17 días. La
mortalidad fue significativamente mayor en el grupo tardío vs temprano
(p=0.0005).
Conclusión: Nuestro estudio sugiere que existe relación
estadística relacionando las variables de FIS y el tiempo transcurrido hasta el
ingreso a la VMI. Creemos necesario continuar con futuras investigaciones que
analicen este resultado.
0148 ANÁLISIS DE LAS
CARACTERÍSTICAS DEMOGRÁFICAS Y COMORBILIDAD DE LOS PACIENTES CON COVID-19
INGRESADOS EN LA UNIDAD DE TERAPIA INTENSIVA DEL HOSPITAL ESCUELA DE AGUDOS
DOCTOR RAMÓN MADARIAGA DE LA PROVINCIA DE MISIONES
HD Acosta(1), M
Arguello(1), R Villalba(1), M Pohlemann(1), M Kaechele(1), A Alarcon(1), L
Santana(1), I Cruz(1), M Rodruiguez(1), A Carrera(1), S Ribak(1), C Correia(1),
C Farquarson(1), N Barreto(1)
(1) Hospital Agudos Ramón Madariaga
Introducción: Cuando la OMS declaró que el brote de
SARS-CoV-2 era una pandemia debido al número cada vez mayor de casos fuera de
China, en la Provincia de Misiones hubo un aumento creciente de casos y la
información sobre pacientes críticos con infección por SARS-CoV-2 es escasa en
Misiones.
Objetivo: Describir las características demográficas,
comorbilidades y la mortalidad de los pacientes ingresados en la UTI durante un
periodo de 16 meses.
Materiales y métodos: Estudio observacional de serie de casos en un
único centro; se incluyeron los datos de pacientes mayores de 15 años con
neumonía por COVID-19 internados en la UTI de adultos del Hospital Doctor Ramón
Madariaga entre marzo del 2020 y julio del 2021.
El diagnóstico de COVID-19 fue establecido
por el resultado del hisopado nasofaríngeo; detectado por reacción en cadena de
la polimerasa RT-PCR. El diagnóstico de SDRA según los criterios de Berlín.
Resultados: Se evaluaron 167 pacientes, 113 masculinos y
54 femenino, la edad media fue de 56 años; las comorbilidades más frecuentes
fueron HTA 53.89%, DBT2 26.9%, obesidad 19.7%, además de TBQ, ERC, Miastenia
Gravis. Todos los pacientes presentaron criterios para SDRA según consenso de
Berlín, el promedio de APACHEII fue de 20 (20.5%). El promedio de estadia en
UTI fue de 16.8 dias, los dias de AVM fueron 16.7; todos los pacientes
requirieron al menos una sesion de decubito prono, y el uso de drogas
inotropicas, la mortalidad fue 78.44%, con predominio en el sexo masculino
70.9%.
Conclusión: En nuestra serie de casos confirmados con
diagnostico de COVID-19 y SDRA que ingresaron a UTI predomino el sexo
masculino, la comorbilidad mas frecuente fue la HTA y la DBT2, la mortalidad
fue del 78.44%. Primer reporte de pacientes graves en la Provincia de Misiones.
0149 Complicaciones
Neurológicas en una Sala de Rehabilitación post COVID. Estudio Retrospectivo
A Gómez(2), C
Balasini(1), A Aller(2), N Davidjan(2), E Fulgenzi(2), V Martín(2), G
Muntaabski(3), P Paula(2), M Rodríguez Ruiz(2)
(1) General de Agudos Dr. Ignacio Pirovano.
(2) General de Agudos Dr. Ignacio Pirovano. (3) Hospital General de Agudos Dr.
Ignacio Pirovano
Introducción: Desde el 07-09-2020 funciona en nuestra
Institución una Sala de Rehabilitación Intensiva de pacientes post COVID
(SaRIP), para el tratamiento de pacientes que presentaron complicaciones y
secuelas de una infección por SARS-COV2.
Objetivos: Describir las complicaciones neurológicas
observadas en los pacientes internados en una sala de rehabilitación de
pacientes post COVID.
Se evaluaron retrospectivamente las historias
clínicas de los pacientes internados en nuestra sala desde el 07-09-2020 al
15-07-2021. Se registraron sus características epidemiológicas, días de internación
en UTI y las complicaciones neurológicas observadas y tratadas durante su
internación.
Resultados: Sobre 109 pacientes internados en SaRIP en
ese período, 93 habían ingresado por complicaciones derivadas de la infección
por SARS-COV2 y sus datos fueron incluidos en el presente estudio. 51 eran
hombres; la edad promedio era de 61 +/- 15 años. El tiempo promedio de
internación en UTI fue 33 días. El hallazgo más común fue debilidad muscular
generalizada en 62 (67%) pacientes, en 8 (9%) plexopatía braquial, o en algunos
casos un cuadro que impresionaba como una combinación de ambos. 1 paciente
presentó hallazgos sugestivos de mononeuropatía. El hallazgo más común en la
afectación del sistema nervioso central fue la presencia de alteraciones
cognitivas en 30 (32%) pacientes. 20 (22%) presentaron confusión o delirio, 2
temblor/mioclonías, en un caso ageusia y anosmia. 6 (67%) pacientes presentaron
vértigo, en un caso asociado a hipoacusia.
Conclusiones: Las complicaciones neurológicas fueron muy frecuentes
en los pacientes internados en nuestra sala de rehabilitación, tanto en el
sistema nervioso periférico como en el central, relacionadas con la severidad
de cuadro que presentaron y el prolongado tiempo de internación en UTI. Las
complicaciones post COVID halladas en el presente estudio difieren de las
descriptas en otros trabajos por las particularidades de la población evaluada.
0150 ¿Se Puede Prevenir la
Disfagia Pos-Extubación? Tratamiento Fonoaudiológico oportuno en pacientes
ventilados en la UTIGO de la MPTB
ADV Velez(1)
(1) Maternidad Teresita Baigorria
La Disfagia post extubación es el trastorno
de deglución que se presenta comunmente en pacientes sobrevivientes a
enfermedades críticas, después de la extubación. Actualmente no existen pautas
establecidas basadas en evidencia sobre prevención de la Disfagia Post
Extubación y más aún, del conocimento sobre el trabajo fonoaudiológico en
relación a ello. Actualmente muchas de las UTIs de nuestro país cuentan con un
profesional fonoaudiólogo, quien se ocupa de rehabilitar la función deglutoria
una vez que el paciente es extubado.
La UTIGO de la Maternidad (MPTB), cuenta
desde hace un año con el servicio de fonoaudiología al cual se le realizaba la
interconsulta una vez extubado el paciente. Luego de 6 meses se sugiere la
intervención precoz en pacientes con ventilación mecánica (VM) para así
prevenir las disfagias y derivar al paciente a sala con alimentacion oral.
El objetivo de este trabajo fue determinar la
existencia de diferencias en la mecánica deglutoria en 5 paciente extubados
(Grupo1) y 11 pacientes en VM (Grupo 2).
Se realizaron intervenciones especificas para
cada uno de los grupos. Grupo 1: Abordaje de minimización de secuelas y
Abordaje de Rehabilitación temprana. mientras que al Grupo 2 se le sumó el
Abordaje de mantención de funciones.
Los resultados obtenidos mostraron que los 6
pacientes del Grupo 1 lograron el manejo de semisólido, sólido y liquido luego
de la primer semana de extubación, mientras que todos los paceintes del Grupo
2, manejaron todas las consistencias de los alimentos entre las 24 y 48 hs de
ser extubados.
En conclusión, ¿Se puede prevenir la disfagia
pos extubación? Un tratamiento fonoaudiológico precoz bien definido y
personalizado a cada situación clínica del paciente, resulta oportuno no solo
para reducir significativamente las complicaciones relacionadas con la
morbilidad y mortalidad de los pacientes en Unidades Críticas sino también para
la prevención de trastornos deglutorios.
0151 Infecciones Respiratorias
Virales. Análisis del comportamiento Viral en Terapia Intensiva antes, durante
y después del inicio de la pandemia por Sars-CoV2
FM Jerez(1), M
D´urso(1), PD Juarez(1), MV Leguina(1), JC Pedraza Coronel(1), AS Rearte(1), NA
Aybar(1)
(1) Hospital del Niño Jesús
Introducción: El aislamiento 2020 redujo la circulación y
por ende el contacto de niños con agentes virales, alterando la epidemiología
habitual.
Hipótesis: El aislamiento habría producido
desplazamiento etario para bronquiolitis por VSR en 2021 y modificación de la
epidemiología viral. En niños COVID con comorbilidades existiría mayor
mortalidad, días ARM y UTI. El uso de CAFO aumentaría los días de ARM y UTI.
Material y método: Estudio retrospectivo observacional. Se analizaron historias clínicas
de pacientes ingresados a UTI de 0 a 4 años entre enero 2019 y septiembre 2021
con diagnóstico de bronquiolitis. Análisis descriptivo mediante test t no
pareado, test chi cuadrado y coeficiente de correlación de Pearson con significancia
de 5%.
Resultados: Se incluyeron 111 pacientes con media de edad
de 13.36 meses (DS+14.2). Requirieron ARM
106 pacientes con media de días UTI de 12,2 días (DS+ 7.66). En el grupo de VSR se observó un cambio etario siendo 71%
de 0 a 6 meses en 2019 y 37% en 2021 con un 63% entre 6 a 36 meses en igual
año. Virus predominantes: VSR 79% (n=57) en 2019, en 2020 63% SarsCoV2 (n=13) y
en 2021 83% VSR con 15% SarsCoV2 (n=46). Se registraron 15 pacientes COVID, con
una mortalidad de 11% (n=3). Al analizar su asociación con comorbilidades no
fue significativo para mortalidad (p=0.792) pero si para días UTI (p=0.0418) y
ARM (p=0.0188). Previo al ingreso 60 niños requirieron CAFO no encontrándose
asociación con días de ARM (p=0.8961) y días UTI (p=0,9357).
Conclusión: Pudimos determinar un desplazamiento del grupo
etario en bronquiolitis por VSR a edades más tardías. Se modificó la
epidemiología viral habitual no registrándose casos de Influenza, manteniendo
niveles altos de VSR. En niños COVID sin comorbilidades la media días ARM y UTI
fue significativamente menor. El uso previo de CAFO no afectó la evolución de
los pacientes.


0152 Características de la plexopatía
braquial en una Sala de Rehabilitación de pacientes post COVID. Serie de casos
E Fulgenzi(1), C
Balasini(1), A Aller(1), G Andrea(1), S Huespi(1), V Martín(1), G
Muntaabski(1), M Rodríguez Ruiz(1)
(1) General de Agudos Dr. Ignacio Pirovano
Introducción: Se ha reportado la apaición de plexopatías
braquiales en pacientes con neumopatía por COVID que recibieron asistencia
respiratoria mecánica (ARM), probablemente relacionadas con las maniobras de
pronación utilizadas. Por otra parte, desde septiembre 2020 funciona en nuestro
Hospital una Sala de Rehabilitación Intensiva de pacientes post COVID (SaRIP).
Objetivo: Describir una serie de pacientes internados en
SaRIP con cuadro compatible con plexopatía braquial. Evaluar los patrones de
afectación y factores de riesgo más importantes para la misma.
Material y métodos: Se evaluaron retrospectivamente las historias
clínicas de pacientes internados en SaRIP desde el 07-09-2020 al 15-07-2021 con
debilidad uni o bilateral en miembros superiores compatible con plexopatía
braquial. Se consideraron datos epidemiológicos, tiempo de internación en UTI,
tiempo de ARM y antecedentes de pronación.
Resultados: De 93 pacientes post COVID internados, 8 (9%)
presentaron debilidad uni o bilateral en miembros superiores compatible con
plexopatía braquial. 5 (62%) eran hombres. La edad promedio fue de 53 años.
Todos recibieron ARM y pronación. El tiempo promedio de internación en UTI fue
de 51 días, el de ARM 41 días. El patrón clínico más frecuente fue el
compromiso severo y global de la fuerza muscular en el miembro afectado.
Conclusiones: La plexopatía braquial es una complicación
frecuente en pacientes internados en una sala de rehabilitación post COVID. Su
aparición se relaciona con cuadros severos, ARM prolongada y pronación.


0153 PREDICCION DE VENTILACION
MECANICA MAYOR A 7 DIAS COMO CRITERIO DE RIESGO NUTRICIONAL. ESTUDIO
PROSPECTIVO EN UNA POBLACION MIXTA DE PACIENTES CRITICOS
D Moretti(1), MG
Buncuga(1), NS Rochetti(1), S Gattino(1), M Re(1), R Gimenez(1), S Radimack(1),
CJ Settecase(1), DH Bagilet(1)
(1) Hospital Escuela Eva Perón
Introducción:
El riesgo
nutricional (RN) en pacientes críticos se define como el riesgo de adquirir
complicaciones o eventos adversos, prevenibles a través del soporte nutricional
óptimo. Se postulo que la estadía en UCI con ventilación mecánica (VM) >1
semana, individualizaría una población sometida a estrés metabólico prolongado
con RN elevado. La puntuación NUTRIC, propuesta para evaluar el RN en críticos,
carece de criterios explícitos de temporalidad y su capacidad predictora de VM
prolongada (VMP) no se estudió en profundidad.
Objetivo: Evaluar modelos de predicción de VM >7
días, definida como VMP con un criterio de RN. Estudiar la capacidad
discriminativa de VMP del NUTRIC y comparar la misma entre aquellos con
puntajes altos y bajos de dicha escala.
Métodos: Cohorte prospectiva observacional. Como
modelo predictivo se utilizó Regresión Logística, Random Forest y C5.0 con las
variables de las primeras 72 horas de VM. Variante del NUTRIC con PCR.
Resultados: Se analizaron 550 enfermos ventilados. El 57%
tuvo VMP. Clasifico como bajo RN por NUTRICpcr el 86% y la mortalidad fue del
32.5% (179/550). Exactitud (IC95%) para predecir VMP de la regresión logística,
Random Forest y C5.0: 0.479 (0.375-0.584), 0.500 (0.395-0.605) y 0.543
(0.437-0.646) respectivamente. La capacidad discriminativa de la VMP del
NUTRICpcr es baja (AUCROC: 0.543 IC95% 0.495-0591). La presencia de VMP entre
aquellos de alto y bajo RN por NUTRICpcr, no mostro diferencias significativas
(67.1% vs 55.4%, p 0.069). Dentro de aquellos con bajo RN por NUTRICpcr la
mortalidad fue mayor en los que tuvieron VMP (34.1% vs 21.4% p=0.0034; OR 1.897
IC95%1.249-2.879).
Conclusiones: Ningún modelo predice la VMP con un criterio
de RN. La puntuación NUTRICpcr no discrimina la VMP y por lo tanto no estimaría
el RN asociado a la misma. La VMP es prevalente en el grupo de bajo RN por
NUTRICpcr y se asocia a una mayor mortalidad.
0154 Caracterización de
pacientes sometidos a Trasplante Renal en un Departamento de Cuidados
Intensivos Pediátricos
GE Mora Mendoza, LI
Delgadillo Vester(1), DN Núñez Arias(1), HJ Jiménez Rolón(1)
(1) Hospital de Clínicas
Introducción: El trasplante renal es la mejor alternativa
terapéutica para el tratamiento de la insuficiencia renal crónica terminal de
diversas causas. Actualmente es un procedimiento electivo para pacientes a los
que se les ha efectuado una preparación y evaluación preoperatoria cuidadosa.
En la actualidad las cifras de mortalidad fluctúan entre 0-0,5%.
Objetivo: Caracterizar a los pacientes sometidos a
trasplante renal pediátrico en un Departamento de Cuidados Intensivos
Pediátricos durante el periodo 2016-2020.
Materiales y Métodos: Estudio observacional, descriptivo y
retrospectivo, de corte transversal.
Criterios de inclusión: Pacientes pediátricos (0-18 años) ingresados
a un Departamento de Cuidados Intensivos Pediátricos en su post operatorio
inmediato de Trasplante Renal.
Resultados: Se efectuaron 11 trasplantes renales
pediátricos; en su mayoría fueron de sexo femenino, adolescentes y escolares;
todos con más de 20 kg de peso. La mayoría provenía de zona urbana del país. El
55% de los donantes correspondió al tipo cadavérico y entre los donantes vivos
en su mayoría fueron los padres. En los receptores de riñón cadavérico, en
todos los casos tuvieron menos de 24hs de isquemia. Entre las complicaciones
postquirúrgicas, la hipertensión arterial fue la más frecuente, seguida de
causa infecciosa (neumonía nosocomial) y shock hemorrágico secundario a
dehiscencia de suturas y hemorragia en el lecho operatorio, los mismos
requirieron transfusiones de hemoderivados. Se registró pérdida del injerto
renal en un paciente secundario a trombosis vascular renal. Ningún paciente
requirió de asistencia respiratoria mecánica, y solo 1 requirió infusión de
droga vasoactiva. No se registró óbito de receptores renales y el PIM2 promedio
para los pacientes fue de 0,7%.
Conclusión: La mayoría de los pacientes trasplantados
fueron adolescentes y escolares, siendo los donantes, en su mayoría,
cadavéricos; El PIM2 promedio fue de 0,7%, correspondiéndose con los reportes
internacionales.
0156 ENFERMEDAD POR SARS-CoV-2
EN UNA UNIDAD DE CUIDADOS INTENSIVOS PEDIÁTRICOS
G Aparicio(1), D
Bergna(1), AC Bordogna(1), P Castellani(1), SN Giacobino(1), ME Gutiérrez
Meyer(1), M Mendoza(1)
(1) Hiaep Sor María Ludovica
Introducción: La infección grave por SARS-CoV-2 en
pacientes pediátricos es una entidad poco frecuente que se caracteriza por
manifestaciones clínicas muy variables que incluyen síndrome de distrés
respiratorio agudo pediátrico (PARDS), Síndrome Inflamatorio Multisistémico
(PIMS) y cuadros neurológicos, entre otros. Presentamos la experiencia en
nuestra unidad para aportar evidencia de valor en el conocimiento de esta
enfermedad.
Objetivos: • Describir la incidencia, características y
evolución de la infección por SARS-CoV-2.
• Comparar la evolución de los diferentes
cuadros clínicos.
Material y métodos: Estudio descriptivo, retrospectivo,
observacional de pacientes con enfermedad por SARS-CoV-2 que ingresaron a una
unidad de cuidados intensivos pediátricos entre el 1/3/2020 y el 31/9/2021.
Los datos se obtuvieron de revisión de
historia clínica y base de datos SATI-Q.
Resultados: Ingresaron al hospital 137 pacientes con
enfermedad por SARS-CoV-2, 104 con cuadro típico de COVID-19 y 33 con PIMS.
En la tabla se describen los datos
clínico-epidemiológicos
Conclusión: El 13,8% de los pacientes ingresados al
hospital requirieron internación en UCIP. No hubo diferencia en la incidencia
de ambas presentaciones clínicas SI bien la mediana de edad fue similar en
ambos grupos, solo se observaron niños menores de 4 años en el grupo COVID
típico.
Se observaron comorbilidades en el 50% de los
pacientes con cuadro típico, una mediana de estadía en UCIP de 14 días,
requiriendo AVM el 100% de los pacientes, mientras que en el grupo con PIMS no
se observaron comorbilidades, la mediana de estadía fue de 4 y solo el 55,5%
requirió AVM.
Con respecto a la mortalidad fue similar en
ambos grupos, destacándose que 66,6% de los fallecidos con cuadro típico
presentaban CCC y el 100% del grupo con PIMS tenían más de 4 fallos de órganos.
Resulta difícil comparar nuestros datos con
la evidencia publicada ya que no hay protocolos unificados en cuanto a
diagnóstico, tratamiento y criterios de internación debido al continuo cambio
en el conocimiento de la enfermedad.

0157 Comportamiento de
parámetros de perfusión tisular y de resistencia de la arteria radial en
pacientes con presión arterial diastólica menor a 50 mmHg
JI Ibarzabal(1), JC
Pendino(1), VG Torres(1), LR Bettini(1)
(1) Hospital Centenario
Se ha sugerido que una presión diastólica
(PAD) menor a 50 mmHg podría relacionarse con una disminución del tono
vascular. Lee E-P y cols. han demostrado adecuada correlación entre el índice
de resistencia (IR) medido por ecografía doppler de la arteria radial a nivel
de la tabaquera anatómica y la medida de resistencias vasculares sistémicas
(RVS) por termodilución transpulmonar, siendo índices menores a 0.97
indicativos de RVS bajas.
El objetivo fue relacionar parámetros de
perfusión tisular (monitoreo multimodal) con el índice de resistencia de la
arteria radial en pacientes con PAD menor a 50 mmHg.
Se incluyeron pacientes internados en UCI,
con PAD menor a 50 mmHg entre en los meses de agosto y septiembre de 2021. Se
realizó medición del IR según técnica descripta. Se definieron dos grupos: IR
< 0.97 “IR bajo” o 0.97-1 “IR normal”. Se realizaron determinaciones de
SVcO2, Lactato, Dva-CO2, presión de pulso, tiempo de relleno capilar (TRC), pH
y exceso de base entre otras variables. El test t- Student o la U de Mann-Whitney
se utilizaron para el analisis.
Se incluyeron 13 pacientes, divididos en 2
grupos: IR bajo (n=8) e IR normal (n=5), de los cuales 4 tenían noradrenalina
en cada uno de los grupos. Se hallaron diferencias estadísticamente
significativas en frecuencia cardíaca en el grupo “IR normal” con 69 (IQR [7])
vs 80 (IQR [23]) lpm (p=0.03) en el grupo “IR bajo”. No se hallaron diferencias
entre los otros parámetros medidos.
Como limitantes, es un estudio observacional
y con un pequeño número de pacientes. Es posible que la diferencia en
frecuencia cardíaca refleje un mecanismo compensador ante la caída de la RVS.
No se encontraron diferencias en otros parámetros de monitoreo multimodal
recabados. Se requieren más estudios para determinar la utilidad de la
determinación del IR en la arteria radial en pacientes con PAD bajas.
0158 Epidemiología de la
ventilación mecánica durante la pandemia COVID-19, durante la 2° ola del año
2021
C Torancio(1), N
Dargains(1)
(1) Hieayc
San Juan de Dios
Introducción: Nuestro objetivo fue analizar la mortalidad
durante los meses de mayor demanda en el 2021 por COVID-19 y su relación con
las variables de monitoreo en pacientes que recibieron ventilación mecánica
invasiva hasta el día 28 en la Unidad de Cuidados Intensivos (UCI) del Hospital
San Juan de Dios de La Plata.
Materiales y métodos: Se trata de un estudio, observacional,
prospectivo, analítico y longitudinal. Se incluyeron todos los pacientes (N=57)
mayores de 18 años que ingresaron de forma consecutiva en UCI y requirieron
ventilación mecánica invasiva durante el periodo 1 de Abril 2021 hasta el 31 de
Julio 2021. Se recolectaron datos de monitoreo mecánico y otras variables
durante un periodo de 28 días corridos desde el momento de inclusión.
Resultados: La mortalidad observada fue 61% (35/57). En
el análisis discriminado por semana se observó: Semana 1 la mortalidad fue del
20%(7), (DP 15 cmH2O – Cest 24 ml/cmH2O – PH 7,33 – PAFI 172) y sobrevivientes
desvinculados (SD) fue del 18%(4),(DP 12 cmH2O - Cest 29 ml/cmH2O – PH 7,37 -
PAFI 202). Semana 2 la mortalidad fue del 31%(11), (DP 16 cmH2O - Cest 24
ml/cmH2O - PH 7,35 - PAFI 150) y (SD) fue del 14%(3), (DP 12 cmH2O - Cest 33
ml/cmH2O - PH 7,40 – PAFI 196). Semana 3 la mortalidad fue del 31%(11), (DP 20
cmH2O – Cest 17,5 ml/cmH2O – PH 7,37 – PAFI 138) y (SD) fue del 23%(5), (DP 14
cmH2O - Cest 26,5 ml/cmH2O - PH 7,40 - PAFI 203). Semana 4: la mortalidad fue
del 18%(6), (DP 21 cmH2O – Cest 19 ml/cmH20 – PH 7,30 – PAFI 99) y (SD) fue del
45% (DP 12 cmH2O – Cest 25 ml/cmH2O - PH 7.41 – PAFI 198).
Conclusión: El presente estudio muestra una alta
mortalidad, siendo la segunda y tercer semana las más críticas. De las
variables analizadas se observó que niveles menores a 15 de DP se asociaron a
una mayor sobrevida.
0159 Características clínicas,
seguimiento y evolución de pacientes con neumonía por SARS CoV-2 bajo
ventilación mecánica invasiva en un hospital de agudos de CABA
D Canale, R
Moracci(1), H Tolay(1)
(1) Fernández
Introducción: Conocer las características basales y
evolución de los pacientes de terapia intensiva (UTI) permite determinar el
pronóstico e individualizar el tratamiento más adecuado de acuerdo a la
evidencia científica.
Materiales y método: Estudio observacional, analítico y retrospectivo. Variables continuas
presentadas como media o mediana según su distribución, variables categóricas
como porcentaje y número absoluto. Para la comparación de las medias se utilizó
el test de student para muestras independientes, para las variables no
paramétricas la prueba U de Mann-Whitney para muestras independientes.
Hipótesis: Las variables clínicas y de ventilación
mecánica (VM) presentan diferencias en mortalidad.
Resultados: Ingresaron 61 pacientes, 24,6%(15) eran
mujeres. La mortalidad en UTI fue 34,4%(21). Se agruparon los pacientes de
acuerdo a la mortalidad en UTI en vivos y muertos respectivamente. Presentaron
una edad media de 54,9 vs 61,1(p=0,12), estadía de 22 vs 16,2 (p=0,015),
mediana de días de VM 19(RIQ12-25) vs 14(RIQ11-22) (p=0,26), traqueotomía
22(55%) vs 2(9,5%) (p=0,01), decúbito prono en 26(65%) vs 18(85,7%) (p=0,08),
mediana de ciclos de prono 1(RIQ1-3) vs 2(RIQ2-2,8) (p=0,014); se hallaron
diferencias significativas entre las medias de PaFiO2 días 3 (221 vs 187,p=0,04),
4 (218 vs 170, p=0,011), 5 (206 vs 162, p=0,018) y 10 (230 vs 137, p=0,00), pH
día 10 (7,35 vs 7,28, p=0,004), PaCO2 día 3 (47,4 vs 57,1, p=0,04), día 10
(51,2 vs 64,2, p=0,002) y 14 (52,9 vs 62,3,p=0,04), PaO2 día 10 (91,8 vs 78,4,
p=0,018), compliance día 10 (41 vs 29,p=0,008), plateau día 3 (22,2 vs 24,2,
p=0,028), 4 (21,8 vs 24, p=0,048), 5 (21,7 vs 25,6, p=0,003) y 10 (21,5 vs 26,
p=0,01), driving pressure día 5 (11,3 vs 14,2, p=0,027) y 10 (11,2 vs 16,
p=0,019) y 4xDP+FR al día 10 (68,6 vs 90,2, p=0,016).
Conclusión: Se observó una mortalidad en UTI del 34%. Se
encontraron variables con diferencias estadísticamente significativas entre
vivos y muertos pero se requieren estudios analíticos más grandes.
0162 TRAQUEOSTOMÍA PERCUTÁNEA
EN PACIENTES CON COVID-19 EN LA UNIDAD DE TERAPIA INTENSIVA DEL HOSPITAL
ESCUELA DE AGUDOS DOCTOR RAMÓN MADARIAGA DE LA PROVINCIA DE MISIONES
MC Pohlemann
Tarnovski, A Carrera(1), S Ribak(1), M Arguello(1), RA Villalba(1), A
Alarcón(1), M Kaechelle(1), L Santana(1), I Cruz Muñoz(1), M Rodríguez(1), C
Correia(1), C Farquharson(1), N Barreto(1)
(1) Hospital Escuela de Agudos Dr Ramón
Madariaga
Introducción: La traqueotomía se realiza en pacientes
críticos que necesitan ventilación mecánica prolongada. La pandemia de COVID-19
provocó un aumento de pacientes que requieren ventilación mecánica invasiva
prolongada y un aumento de pacientes que necesitan una traqueotomía para
facilitar el destete del soporte respiratorio. Las recomendaciones actuales
sugieren retrasar o evitar la traqueotomía en pacientes con COVID-19. Sin
embargo en ausencia de evidencia definitiva sobre el riesgo de traqueotomía
para los operadores involucrados decidimos realizar una traqueotomía percutánea
en los pacientes con COVID-19.
Objetivo: El objetivo es analizar la mortalidad de la
enfermedad por coronavirus 2019 en pacientes que recibieron traqueotomía
percutánea.
Materiales y métodos: Estudio retrospectivo, observacional, con
pacientes que ingresan a UTI del HEADRM con diagnóstico de neumonía por
COVID-19. Se analizan todos los pacientes en se realizó traqueostomía
percutánea durante su manejo, en un periodo de 16 meses entre marzo del 2020 y
julio 2021.
Resultados: De un total de 167 pacientes con diagnóstico
de neumonía por COVID-19; se analizaron 33 (19.76%) pacientes. El 60.6% eran
varones; edad media 55.5 y APACHE II 20.6. Los días medios de ventilación
mecánica previa a la realización de traqueostomía fueron de 21 días. Se realizó
traqueostomía percutánea en todos los casos, todos los pacientes presentaban
SDRA grave. La mortalidad en los paciente traqueostomizados fue de 54.4%, y los
paciente que sobrevivieron fueron 15. La mortalidad global de nuestra serie de
casos fue de 78.44%.
Conclusión: La mediana de días hasta la realización de la
traqueotomía supera los siete días recomendados, y la mortalidad en los
pacientes traqueostomizado fue de 54.4%, si bien es menor a la mortalidad
global de nuestra serie de casos, con estos datos no podemos aseverar que la
realización de la traqueostomía percutánea disminuya la mortalidad de estos
pacientes.
0163 Factores iniciales
asociados al fallo de la terapia con cánula nasal de alto flujo en pacientes
con insuficiencia respiratoria aguda secundaria a neumonía por COVID-19
L Diaz Ballve(1), J
Gomez(1), F Puzzo(1), C María Belén(1), V Janet(1), Y Romina(1)
(1) Hospital Cuenca Alta C. N. Kirchner
Introducción: La insuficiencia respiratoria aguda
hipoxémica (IRAH) que se desarrolla por COVID-19 lleva a un gran número de
pacientes a la asistencia respiratoria mecánica (ARM) aumentando la mortalidad.
Recientemente la terapia con cánula nasal de alto flujo (CNAF) se ha
introducido para el tratamiento de IRAH, sin embargo es limitada su evidencia.
Objetivo: Analizar e identificar variables iniciales
que estén asociadas al fracaso de la CNAF en pacientes con IRAH, diagnosticados
con neumonía por COVID-19
Métodos: Estudio de diseño prospectivo de tipo serie
de casos. Se incluyeron pacientes mayores de 18 años, con IRAH grave secundaria
a neumonía por COVID-19 ingresados de forma consecutiva en el período 01 de
julio de 2020 al 30 de junio de 2021. Se excluyeron aquellos que utilizaron
CNAF por un tiempo menor a 2 horas, una PCO2 mayor a 45 mmHg y aquellos con
adecuación del esfuerzo terapéutico. Se determinó falla a la necesidad de
intubación endotraqueal y conexión a ventilación mecánica invasiva.
Resultados: Se incluyeron 166 pacientes. Sesenta y tres
(38%) presentaron criterios de falla y debieron ser intubados. Se observaron diferencias
significativas entre quienes fallaron y aquellos que no en la edad, el puntaje
de APACHE, el score de Charlson, antecedentes cardiovasculares, respiratorios,
HTA, el índice ROX a las 2 horas. Como así también en los días de internación,
días con CNAF y la mortalidad. Se identificó mediante análisis multivariado de
regresión logística a la edad mayor a 65.5 años, en índice ROX a las 2 horas
menor a 4.32, antecedentes cardiovasculares y la obesidad. como predictores
independientes de falla al inicio de la CNAF.
Conclusión: Observamos que la edad ≥ a 65.5 años, el
índice ROX a 2 horas ≤ a 4.32, los antecedentes cardiovasculares y la obesidad
podrían ser predictores independientes de falla de CNAF en neumonía por
COVID-19.
0164 USO DE SUSTANCIAS TOXICAS
EN PROFESIONALES DE LAS TERAPIAS INTENSIVAS CON BURNOUT DE ARGENTINA DURANTE LA
PANDEMIA COVID-19
L Tumino(1), P
Canavessi(2), C Balasini(3)
(1) San Martin-San Camilo. (2) San
Martin-Español. (3) San Martin Pirovano
Introducción: Los profesionales de terapia intensiva
trabajaron en primera línea en la Pandemia COVID-19, sometidos a estrés, miedo,
cansancio, multiplicando horas de 9trabajo e inclusive aislándose de la
familia. Pero el Burnout deja secuelas físicas y psicológicas que son difíciles
de borrar y llevan a buscar modos de vida incorrectos y autodestructivos.
Objetivo: Evaluar el uso de sustancias toxicas en
profesionales de la salud de UTI de Argentina con BURNOUT al finalizar la
segunda ola
Materiales y métodos: Estudio trasversal, descriptivo realizado
mediante una encuesta por redes sociales y whatsapp. Se evaluaron variables
demográficas y uso de sustancia toxicas. Se utilizó el cuestionario de Maslach
Burnout Inventory (MBI) y una sola dimensión que supere el punto de cohorte fue
considerado Burnout. Los datos se presentan como media, DS, Mediana, RI y %.
Resultado: Al final de la segunda ola 1469 profesionales
de 1509 presentaron Burnout. Edad 40±9, mayores de 60 años 15%, masculinos 31%,
de todas las provincias. Eran: médicos 37%, enfermeros 38%, kinesiólogos 17%,
residentes 6% y otros 1%. Años de recibido 16±20, especialistas 67%,
pluriempleo 64%.
Consumo de sustancias toxicas: tabaco 22%,
ansiolíticos 12%, antidepresivos 1%, marihuana 3%, cocaína 1%, alcohol 24%,
analgésicos 30%
Conclusiones: Los profesionales de las UTIs con Burnout
luego de la segunda ola tienen un alto consumo de sustancias toxicas,
principalmente tabaco, alcohol y analgésicos.
Es necesario la evaluación preventiva del
equipo de salud para diagnosticar el síndrome e implantar un tratamiento
temprano que mejore la calidad de vida de los profesionales.
0165 ECOGRAFIA DIAFRAGMÁTICA Y
SU CORRELACIÓN CON DEBILIDAD ADQUIRIDA EN EL PACIENTE CRÍTICO DURANTE EL
PROCESO DE LIBERACIÓN DE LA VENTILACIÓN MECÁNICA
D Gelabert(1), D
Garcia Davi(1)
(1) Clinica 25 de Mayo
Introducción: La disfunción diafragmática sigue siendo la
principal causa de dificultad o fracaso del destete.
Hipótesis: Evaluar si existe correlación por ultrasonido
(US) entre parámetros diafragmáticos y debilidad adquirida del paciente crítico
(DAUCI) con el fin de predecir éxito de liberación de la ventilación mecánica
invasiva (VMI).
Métodos: Se realizó un estudio prospectivo de
investigación transversal de la función diafragmática en términos de movimiento
y función de acortamiento (FACO) con el uso de la ecografía al pie de cama del
paciente durante una prueba de respiración espontánea (PRE). Fueron ingresados
30 pacientes a lTerapia Intensiva durante un período de 12 meses del 2019.
Se evaluó MRC Score para valorar fuerza
muscular con corte inferior a 48 puntos para DAUCI.
Las características de la población se
agruparon según edad, sexo, causa de la insuficiencia respiratoria y duración
de la VMI.
Las mediciones diafragmáticas ED, índice
frecuencia respiratoria/ ED(RSBI-D)/FACO y perfiles pulmonares se realizaron
con equipo marca Sonosite Turbo a los 30 minutos de una PRE pieza en T.
La ED y FACO se midieron con transductor
sectorial convexo de 3.5-5 MHZ para ED y lineal de 7.5-10 MHZ para FACO.
Resultados: El resultado primario fue la precisión
diagnóstica del US para predecir liberación de la VMI y su correlación con la
DAUCI.
La mediana de días de VMI fue de 6,5 días
(1-14). Los parámetros ecográficos representaron ED 14mm (10-34), RSBI-D 1,4
(0,58-3) y FACO >35%.
La mediana del MRC score fue 48 (16-60),
media de 44 puntos.
Los perfiles A, B, C y derrame pleural en el
53,3%(n:16),43,3%(n:13),3,3%(n:1),16,67%(n:5).
El 97% presentó función sistólica (n:29).
La extubación fue exitosa en el 86,2% (n:25),
requirieron traqueostomía el 10% (n:3) y 6.6%(n:2) no superaron la PRE.
Del total de pacientes, recibieron el alta el
93.3%(n:28) y el 6,6% (n:2) fallecieron por sepsis y falla multiorgánica.
Conclusiones: La ED, RSBI-D Y FACO medidos por ecografía
son herramientas útiles para predecir éxito de una PRE y no se correlacionaron
con DAUCI.
0166 REANIMACIÓN CARDIOPULMONAR
EN PACIENTES COVID 19, EN LA UNIDAD DE TERAPIA INTENSIVA DEL HOSPITAL DR RAMÓN
MADARIAGA DE LA PROVINCIA DE MISIONES
I Cruz Muñoz(1), R
Villalba(2), M Pholeman(2), M Arguello(2), D Acosta(2), A Alarcon(2), LJ
Santana(2), M Rodriguez(2), M Kaechele(2), AE Carrera(2), S Riback(2), C
Correia Da Silva(2), C Farquiarson(2), N Barreto(2)
(1) Hospital Escuela Dr Ramon Madariaga. (2) Hospital Madariaga
Introducción: Hay datos limitados con respecto a los
resultados después de un paro cardíaco intrahospitalario entre los pacientes
con COVID-19, nuestro estudio busca contribuir a este conocimientos al
describir los resultados y la mortalidad en pacientes con COVID-19 en nuestra
institución, un hospital Público, centro de referencia de la provincia de
Misiones. El estudio de Fei Shao et Al (2020), es uno de los primeros en que
detalla estos resultados en la población en Wuhan, China.
Objetivo: Describir las características y los
resultados del paro cardíaco intrahospitalario en pacientes con enfermedad por
COVID-19, internados en UTI del HEADRM y conocer la mortalidad.
Materiales y métodos: Estudio observacional retrospectivo en un
centro de la provincia de Misiones. Se incluyeron pacientes consecutivos con
enfermedad por COVID-19 que experimentaron un paro cardíaco en la UTI del
HEADRM con al menos un intento de reanimación siguiendo las recomendaciones del
Comité de Reanimación Cardio-Cerebro-Pulmonar de la Sociedad Argentina de
Terapia Intensiva.
Resultados: De 167 pacientes en UTI por COVID- 19 durante
el período de estudio, 131 pacientes sufrieron un paro cardíaco
intrahospitalario; y tuvieron un intento de reanimación, el ritmo más frecuente
fue la asistolia y la AESP; solo en 5 casos se logró la recuperación de la
circulación espontánea (ROSC), pero fue transitoria luego de un segundo intento
de reanimación no se logró la ROSC. La causa más frecuente del paro cardiaco
fue la hipoxemia refractaria. Las comorbilidades más frecuentes fueron HTA
53.89%, DBT2 26.9%, obesidad 19.7%. La mediana de edad fue de 56 años y el
70.9% eran varones, el promedio de estadía en UTI fue de 15 días. La mortalidad
fue del 100%.
Conclusión: En nuestra serie de casos, los pacientes con
enfermedad por COVID-19 que sufrieron un paro cardíaco tuvieron una mortalidad
del 100%.
0167 SINDROME DE BURNOUT Y
DESEMPEÑO LABORAL EN PROFESIONALES DE TERAPIA INTENSIVA DE ARGENTINA DURANTE LA
PANDEMIA COVID-19
L Tumino(1), P
Canavessi(2), C Balasini(3)
(1) San Martín-San Camilo. (2) San
Martín-Español. (3) Pirovano-San Martín
Introducción: Los profesionales de Terapia Intensiva
neonatal, adultos y niños con Burnout tienen mas tendencia a aislarse, faltar
al trabajo y estar irritable con su familia y sus compañeros de trabajo
Objetivo: Evaluar el auto percibimiento de BURNOUT (SB)
y como afecta a la familia y al trabajo
Materiales y métodos: Estudio trasversal, descriptivo realizado mediante
una encuesta por redes sociales y whatsapp. Se evaluaron variables demográficas
Se utilizó el cuestionario de Maslach Burnout Inventory (MBI) y una sola
dimensión que supere el punto de cohorte fue considerado Burnout. Los datos se
presentan como media, DS, Mediana, RI y %.
Resultado: Al final de la segunda ola 1469 profesionales
de 1509 presentaron Burnout. Edad 40±9, mayores de 60 años 15%, masculinos 31%.
Eran: médicos 37%, enfermeros 38%, kinesiólogos 17%, residentes 6% y otros 1%.
Solo el 49% auto percibió que podía tener
Burnout.
Consideraron que: 1) 70% que el SB afectaba
la atención que le brindaban a los pacientes: 2) 76% que el SB los podía llevar
a cometer errores; 3) 43% han comentado a sus compañeros y 44% a su familia de
que podía tener SB; 4) 45% refiere que se ha aislado de la familia, amigos y/o
compañeros de trabajo; 5) 43% cree que necesita ayuda; 6) 32% va a buscar
ayuda; 7) 60% refiere estar propenso a ser mas irritable con los compañeros; 8)
31% llega tarde al trabajo; 9)18% se toma descansos prolongados durante el
horario laboral; 7% refiere cometer errores que pueden dañar a los compañeros
de trabajo; el 3% falta frecuentemente al trabajo
Conclusiones: El Burnout afecta la relación de los
profesionales con su familia y con sus compañeros de trabajo. Su estado
emocional y de agotamiento físico y psíquico lo lleva a disminuir el
rendimiento en el trabajo, ausentismo y a cometer errores exponiendo a los
pacientes y a sus propios compañeros.
Hay un pobre auto percibimiento del síndrome,
por priorizar la salud de los pacientes sobre la de uno mismo. Solo un tercio
indica que va a buscar ayuda.
0168 RIESGO DEL PERSONAL DE
SALUD DURANTE LA TRAQUEOSTOMÍA PERCUTÁNEA EN PACIENTES CON COVID-19 EN LA
UNIDAD DE TERAPIA INTENSIVA DEL HOSPITAL ESCUELA DE AGUDOS DR RAMÓN MADARIAGA
RA Villalba, M
Pohlemann(1), MD Arguello(2), D Acosta(2), A Alarcon(2), LJ Santana(2), I
Cruz(2), M Rodriguez(2), M Kaechele(2), A Carrera(2), S Ribak(2), C Correia Da
Silva(2), C Farquharson(2), N Barreto(3)
(1) Hospital Escuela De Agudos Dr Ramon
Madariaga. (2) Hospital Escuela De Agudos Dr. Ramon Madariaga. (3) Hospital
Escuela De Agudo Dr. Ramon Madariaga
Introducción: La traqueotomía en pacientes con SDRA se
considera necesaria tras una intubación orotraqueal prolongada. Se han
discutido los aspectos relativos a la realización de traqueotomías, en
pacientes con infección por COVID-19, por el alto riesgo de contagio del
personal de salud durante la manipulación y apertura de la vía aérea por la
generación de aerosoles.
Objetivos: Evaluar el impacto de la traqueotomía
percutánea en pacientes con COVID-19 y el riesgo a la exposición para los
trabajadores de salud.
Materiales y método: Estudio observacional, en pacientes que
ingresan a UTI del HEADRM con diagnóstico de neumonía por COVID-19, en quienes
se realizó traqueostomía percutánea, y en el personal de salud que
intervinieron durante el procedimiento, el personal expuesto fuero médicos;
kinesiólogos y enfermeros.
Resultados: Se realizó traqueostomía percutánea en 33
(19.76%) pacientes de un total de 167. Los días medios de ventilación mecánica
previa a la realización de traqueostomía fueron de 21 días. El equipo médico
conformado por 2 médicos fue el mismo en todas las intervenciones, los
kinesiólogos intervinientes fueron 5 que asistieron de forma alterna en los
procedimientos, e intervinieron un total de 22 enfermeros, de estos 8 tuvieron
una segunda exposición y 5 una tercera exposición, todo el personal de salud
utilizo los EPP según las normas y recomendaciones. Se realizó el seguimiento
de cada personal interviniente si presentaran síntomas dentro de los 7 a 10
días postexposición en cada procedimiento. No se registró ningún personal con
síntomas post exposición en ninguna de las 33 traqueostomía percutánea.
Conclusiones: Es un procedimiento de alto riesgo para el
personal de salud, pero puede reducirse cumpliendo estrictamente las medidas de
protección y recomendaciones. En nuestra experiencia, puede realizarse en forma
segura.
0169 Epidemiología de pacientes
con Covid 19 en asistencia respiratoria mecánica en UTI
C Torancio(1), J
Mereles(1), N Dargains(1), C Orellano(1), A Manti(1)
(1) Hieayc
San Juan de Dios
Introducción: A la fecha continuamos analizando datos que
podrían estar asociados con mortalidad en pacientes con insuficiencia
respiratoria severa por enfermedad por coronavirus (COVID-19) en ventilación
mecánica (VM).
Materiales y métodos: Se realizó un estudio retrospectivo
observacional descriptivo de pacientes internados en UTI del Hospital San Juan
de Dios de La Plata con diagnóstico de COVID-19 y requerimiento de VM durante
el período 22/1/2021- 30/6/2021. Se confeccionó una base de datos con
información de historias clínicas, registrando datos filiatorios, edad, sexo, comorbilidades,
días de: internación, ventilación mecánica (VM), bloqueantes neuromusculares
(BNM). Se calculó SOFA y APACHE al ingreso en UTI. También se registraron
aquellos que requirieron prono, traqueostomía (TQT), diálisis, y por último
extubación/mortalidad. Se compararon datos entre sobrevivientes y no
sobrevivientes a los 28 días.
Resultados: Se incluyeron 67 pacientes con una edad
promedio de 58 años (95% IC 55-61), sobrevivientes: edad promedio 45 (95% IC
39.4-50.4), no sobrevivientes: edad promedio 56.6 (95% IC 52.7-60.4) p=0.001.
Masculinos 65 %, mortalidad asociada a sexo p=0.345. Scores SOFA media: 5;
APACHE media: 9. Las comorbilidades más frecuentes fueron obesidad 49%, HTA
28%, Diabetes 25%, tabaquismo 12% sin asociación con el aumento de mortalidad.
Días promedio de VM: 17 (95% IC 14.3-19.6), días promedio de estadía en UTI: 20
(95% IC 17-23). Días desde el ingreso hospitalario hasta la ventilación
mecánica en sobrevivientes media de 2(95% IC 1.3-2.8) en no sobrevivientes 3.4
(95% IC 2.4-4.4) p=0.070. Calculado con fecha de inicio de síntomas p=0.126. 23
extubaciones, 6 Re-intubaciones de las cuales 2 se extubaron exitosamente, 2 se
realizó traqueostomía, 2 óbitos. Se realizaron 23 traqueostomías quirúrgicas,
media de días desde VM: 19.8 (95% IC 17.7-22). Mortalidad global 60%
Conclusión: Los datos presentados respecto a
comorbilidades y sexo se corresponden a datos epidemiológicos nacionales. El
tiempo de demora desde inicio de síntomas e ingreso hospitalario hasta el
ingreso a UTI fue menor en los pacientes que sobrevivieron, aunque sin
significancia estadística.
0170 PREVALENCIA DE COVID-19,
CONTENCIÓN EMOCIONAL Y EL FUTURO DE LA ESPECIALIDAD EN PROFESIONALES DE UTI CON
SINDROME DE BURNOUT LUEGO DE LA SEGUNDA OLA
P Canavessi(1), L
Tumino(2), C Balasini(3)
(1) San Martín-Español. (2) San Martín y San
Camilo. (3) San Martin. Pirovano
Introducción: Los profesionales de Terapia Intensiva
neonatal, adultos y niños con Burnout estuvieron expuestos en la primera línea
en la pandemia por Covid-19. Muchos enfermaros, varios murieron.
Objetivo: Evaluar la prevalencia de profesionales que
se contagiaron de COVID-19, la contención emocional y la visión de futuro sobre
seguir siendo intensivistas en profesionales de UTI con BURNOUT.
Materiales y métodos: Estudio trasversal, descriptivo realizado
mediante una encuesta por redes sociales y whatsapp. Se evaluaron variables
demográficas Se utilizó el cuestionario de Maslach Burnout Inventory (MBI) y
una sola dimensión que supere el punto de cohorte fue considerado Burnout. Los
datos se presentan como media, DS, Mediana, RI y %.
Resultado: Al final de la segunda ola 1469 profesionales
de 1509 presentaron Burnout. Edad 40±9, mayores de 60 años 15%, masculinos 31%.
Eran: médicos 37%, enfermeros 38%, kinesiólogos 17%, residentes 6% y otros 1%.
Los profesionales refieren que: 1) El 46%
tuvo COVID, solo el 1% estuvo en ventilación mecánica y el 2% refieren tener
secuelas; 3) El 92% tuvo miedo de contagiar a su familia; 4) El 18% tuvo
familiares directos que fallecieron por el virus; 5) El 47% tuvo miedo de
morir; 6) El 9% evita asistir pacientes COVID-19; 7) el 97% fue vacunado con
esquema completo.
Contención emocional: 1) El 95% cree que
todos deberíamos haber recibido contención emocional aun sin solicitarla; 2) El
86% refiere que hubiese sido necesario recibir contención profesional; 3) El
16% ha recibido contención emocional adecuada en su institución; 4) el 55%
refiere que la contención emocional recibida en su institución fue insuficiente;
5) el 41% ha recibido contención emocional fuera de su institución.
Visión de futuro laboral: 1) El 42% ha
pensado en dejar la especialidad; 2) El 6% ha decidido dejar la especialidad;
3) El 40% ha pensado en dejar la profesión; 4) El 3% ha decidido dejar la
profesión.
Conclusiones: Casi la mitad de los profesionales de UTIs de
Argentina que tienen Burnout se infectaron de COVID-1.
Se observa una pobre contención emocional del
equipo de salud dentro de la Institución donde trabaja.
Casi la mitad ha pensado en dejar la
especialidad y la profesión.
0171 Alteraciones del estado
acido base, electrolíticas y de oxigenación en pacientes con COVID-19
moderado-severo
L López(1), A
Villaba(2), M Ghigo(2), C Peralta(2)
(1) Instituto Modelo de Cardiología Srl. (2) Instituto Modelo de
Cardiología Privado S.r.l.
Introducción: A pesar de la alta prevalencia de neumonía e
injuria renal en pacientes con infección por SARS-CoV-2, los trastornos del
estado acido base (EAB) y electrolíticos no han sido muy bien descriptos. La
incidencia de estos a la admisión hospitalaria y la relación con el pronóstico
de la enfermedad no son del todo conocidas. El objetivo de nuestro estudio fue
evaluar la prevalencia de los trastornos del EAB, de oxigenación y
electrolíticos a la admisión hospitalaria en pacientes con COVID-19 y la
relación entre estas variables y la mortalidad.
Método y metodología: Estudio retrospectivo, observacional
realizado en 301 pacientes adultos con diagnóstico de neumonía moderada-severa
por SARS-CoV-2 que fueron internados en área crítica (UTI) o en sala COVID. Se
incluyeron solo aquellos pacientes que tuvieron gasometría arterial y perfil
electrolítico medidos a la admisión. Todos respiraban aire ambiente al momento
de la punción arterial. La clasificación de los trastornos acido base y los
cálculos oximétricos fueron realizados por personal experto y corroborado por
un software. Se realizaron análisis descriptivos, inferenciales y regresión
logística.
Resultados: La edad promedio de los participantes fue de
61,6±12,5 años. El 72% fueron hombres. La alcalosis respiratoria y la acidosis
metabólica fueron los trastornos más prevalentes, 92.7 y 21.6% (tabla I). El
74% presento hipoxemia (25% moderada y 0.5 % severa). El 97% tuvo disminuido el
gradiente alveolo-arterial de oxígeno. El 40.2% tenía hiponatremia y el 27.2%
hipokalemia. La alteración del exceso de base, la captación pulmonar y el
transporte de oxígeno a la admisión hospitalaria se asociaron con mayor mortalidad
intrahospitalaria (Tabla II).
Conclusión: La alcalosis respiratoria hipoxémica, la
hiponatremia y la disminución de la captación pulmonar de oxígeno fueron las
alteraciones del EAB más frecuentes en esta población. La alteración del EAB se
asoció con mayor riesgo de mortalidad.


0174 ADECUACIÓN Y SUSPENSIÓN
DEL SOPORTE NUTRICIONAL ENTERAL EN PACIENTES ADULTOS CRÍTICOS CON DIAGNÓSTICO
DE COVID-19
J Romero(1), M
Kemnitz(1), V Lepe(1), C Campos(1)
(1) Luis Carlos Lagomaggiore
Introducción: Durante la internación en terapia intensiva
(UTI), el paciente crítico desarrolla alteraciones metabólicas que desencadenan
un estado hipercatabólico, comprometiendo su estado nutricional y aumentando el
riesgo de debilidad adquirida en la UTI. Una intervención nutricional temprana
y suficiente contribuye a disminuir estas complicaciones.
Objetivos: Evaluar la adecuación del aporte
calórico-proteico y determinar las causas de suspensión relacionadas al SNE de
pacientes críticos con diagnóstico de COVID-19 durante las primeras dos semanas
de internación en UTI.
Material y métodos: Se estudiaron 42 pacientes con COVID-19, de
ambos sexos, de entre 25 y 80 años, que requirieron ventilación mecánica
invasiva (VMI) en las primeras 48 hs de ingreso a la UTI. Se definió el inicio
de VMI, como día 1 para el inicio del SNE, y se recopilaron datos de la
adecuación del SNE (en comparación con los requerimientos nutricionales
calculados) durante los primeros 14 días de internación. El análisis
estadístico se realizó mediante prueba T de Student para muestras relacionadas
o prueba de Wilcoxon (p<0,05).
Resultados: El 59% de los pacientes recibió SNE temprano,
y se requirieron en promedio 5,2 (±3,9) días para alcanzar la meta nutricional.
La adecuación calórico-proteica al séptimo día fue del 80,7% y 85,6%,
respectivamente. El SNE sufrió más de un día de suspensión o reducción en el
43.8% de los pacientes, siendo las causas más frecuentes la ausencia de SNG,
posición prono e inestabilidad hemodinámica. Luego del día 7, las
complicaciones gastrointestinales fueron las predominantes. No se observaron
diferencias estadísticamente significativas en cuanto a morbimortalidad y
estancia en UTI en relación al SNE.
Conclusiones: A pesar de la evidencia creciente de la importancia
del apoyo nutricional del paciente crítico, la falta de acceso enteral y la
posición prono continúan siendo las principales dificultades identificadas al
momento de brindar un SNE temprano y adecuado.
0176 GRADO DE AUTONOMÍA EN LAS
INTERVENCIONES DE ENFERMERÍA SEGÚN LOS CAMPOS DE LA TAXONOMÍA INTERNACIONAL
LE Goiris(1), E
Otto(1), C Blanco(2), J Abasto(2), L Dahmer(3), J Yesa(2), J Avalos(2), A
Lucero Dos Santos(4)
(1) Escuela Dr. R. Madariaga. (2) Escuela de
Enfermeria. (3) de Pediatria F. Barreyro. (4) Materno Neonatal
Introducción: Las actividades que realiza el enfermero
dirigidas a la atención de las respuestas humanas, son acciones para las cuales
está legalmente autorizado a realizar otorgando autonomía en su práctica
profesional.
Objetivo: Identificar los campos que el enfermero tiene
menor grado de autonomía para aplicar intervenciones independientes.
Métodos: Estudio con enfoque tipo cuantitativo, con
alcance descriptivo observacional. Las poblaciones estuvieron constituídas por
dos grupos para describir los resultados, el primero por 90 estudiantes de la
carrera licenciatura en enfermería, se realizó un muestreo de tipo aleatorio
simple, nivel de confianza 95 y margen de error 10% puntuación z 1.96 que nos
arroja un total de 46 en el tamaño muestra. El segundo grupo constituído por 23
enfermeros de la terapia intensiva del Hospital Dr. R. Madariaga, para el cual
se trabajó con una muestra de tipo aleatorio simple, nivel de confianza 95 y
margen de error 10% puntuación z 1.96 que nos arroja un total de 25 unidades de
análisis. Se ha operado con una sola variable y 7 campos o categorías y 27
indicadores para trabajar. El instrumento de recolección de datos ha sido una
encuesta estructurada y los datos fueron recogidos durante los meses de
julio-agosto del año 2021.
Resultados: Se ha identificado que en casi la totalidad
de las categorías los estudiantes afirman tener mayor autonomía que los
enfermeros competentes incluso en el campo fisiológico complejo que tiene lugar
a varias de las intervenciones independientes relacionadas a los cuidados de
pacientes en estado crítico pertenecientes a la especialidad.
Conclusiones: Los campos identificados con menos autonomía
han sido sistema sanitario 66% (área gestión), fisiológico complejo 76 %(intervenciones
del paciente crítico) y conductual 79 %.

0178 INJURIA RENAL AGUDA EN
PACIENTES CON TRASTORNOS HIPERTENSIVOS DEL EMBARAZO
R Giannoni(2), RO
Marañón(1), EAJ Abelleira(2), AM Anton(2), SDC Cantarutti(2), MG Arce(2), FF
Giannoni(2)
(1) Conicet.
(2) Regional Ramón Carrillo
Introducción: Los trastornos hipertensivos del embarazo
(THE) representan una de las principales causas de morbilidad y mortalidad
materno-fetal. Además, tendría una importante implicancia en el desarrollo de injuria
renal aguda (IRA) la que detectarse precozmente, favorecería la evolución. Sin
embargo, los mecanismos fisiopatológicos, todavía no son claros.
Objetivos: 1) Evaluar el desarrollo de insuficiencia
renal aguda precoz en pacientes con THE, 2) Determinar si existe asociación
independiente entre insuficiencia renal aguda y variables bioquímicas y
hemodinámicas al ingreso de la terapia intensiva.
Material y método: Se incluyeron 155 pacientes consecutivas con
THE (Preeclampsia Severa, Eclampsia, HELLP) durante las primeras 48 hs de la
admisión a unidad de terapia intensiva. Se definió IRA precoz como el
incremento de la creatinina sérica ≥0,3mg/dl con respecto al valor de ingreso
hasta las 48hs. Se registraron datos epidemiológicos, scores de gravedad, balances
y de laboratorio a la admisión (Ac Úrico, LDH, Proteinuria, etc). Se excluyeron
pacientes con insuficiencia renal crónica. Se realizó análisis univariado,
multivariado y un modelo de regresión logística para evaluar la asociación
independiente con IRA precoz.
Resultados: Del total de las pacientes que presentaron
THE, el 39% presentó IRA. Entre los diferentes parámetros analizados, se
destacan los niveles de LDH y de albumina, los que se mostraron elevados
significativamente en las pacientes con IRA precoz. Además, se observó
necesidad de ARM, vasopresores y mayor APACHE II (Tabla 2). Se confecciono un
modelo de regresion logistica que demsotro asociacion independiente con el
albumin al ingreso con el desarrollo de AKI precoz, Wald 6.44 p. 0.011.
Tabla 1: Características de los pacientes.
(ver archivo adjunto)
Tabla 2: Análisis de parámetros bioquímicos y
hemodinámicos relacionados a IRA precoz.
Conclusion: La IRA precoz, es frecuente en los THE, se
determinó una asociación independiente, entre otros parámetros, con los valores
iniciales de albumina yLDH lo que se correlacion con aki.


0180 BURNOUT Y SUICIDIO EN
PROFESIONALES DE UTI CON SINDROME DE BURNOUT LUEGO DE LA SEGUNDA OLA
L Tumino(1), L
Tumino(2), P Canavessi(3), C Balasini(4)
(1) San Martín. (2) San Martin-San Camilo.
(3) San Martín- Español. (4) San Martin. Pirovano
Introducción: Los profesionales de Terapia Intensiva
neonatal, adultos y niños con Burnout que estuvieron expuestos en la primera
línea en la pandemia por Covid-19, desarrollaron síntomas algunos leves y otros
severos.
Objetivo: Evaluar la prevalencia de síntomas y
enfermedades relacionadas con BURNOUTen profesionales de UTI luego de la
segunda ola de COVID-19
Materiales y métodos: Estudio trasversal, descriptivo realizado
mediante una encuesta por redes sociales y whatsapp. Se evaluaron variables
demográficas Se utilizó el cuestionario de Maslach Burnout Inventory (MBI) y
una sola dimensión que supere el punto de cohorte fue considerado Burnout. Los
datos se presentan como media, DS, Mediana, RI y %.
Resultado: Al final de la segunda ola 1469 profesionales
de 1509 presentaron Burnout. Edad 40±9, mayores de 60 años 15%, masculinos 31%.
Eran: médicos 37%, enfermeros 38%, kinesiólogos 17%, residentes 6% y otros 1%.
Los profesionales refieren que padecen: 1)
32% insomnio; 2) 32% cefaleas frecuentes; 3) Gastritis 24%; 4) 10% diagnóstico
de depresión; 5) 40% trastornos de la ansiedad; 6) 8% ataques de pánico; 7) 14%
Diagnóstico de Burnout.
Con respecto al suicidio: 1) 102 (7%) de los
profesionales pensaron en suicidarse; 2) El 6% tuvo ideas suicidas, pero nunca
lo intentó; 2) El 1% tuvo ideas suicidas e intentos de suicidio; 3) El 32%
hablo del problema con su familia, el 60% con su terapeuta y el 40% no se lo
contó a nadie.
Conclusiones: La sobrecarga laboral en los trabajadores del
área de la salud es uno de los principales factores que influyen en el
desencadenamiento del síndrome de Burnout y los síntomas leves como gastritis o
cefalea, pero también mayores como ataques de pánico, depresión, insomnio e
ideación e intento de suicidio.
La contención emocional de los profesionales
de UTI durante y después de la pandemia es imprescindible tanto para mejorarles
la calidad de vida, como así también salvarles la vida.
0182 Síndrome inflamatorio
multisistémico en niños, relacionado con COVID-19 en una unidad de cuidados
intensivos pediátricos
S Abalos(1), R
Burgos Pratx(2)
(1) Hospital Materno Infantil Dr Héctor
Quintana. (2) Hospital Materno Infantil Dr. Héctor Quintana
Introducción: El síndrome inflamatorio multisistémico en
niños temporalmente relacionado con COVID-19 (SIM-C) es una presentación
clínica de la infección por SARS-CoV-2. El SIM-C puede presentarse durante la
infección aguda, o como complicación pos infecciosa en las semanas siguientes a
la infección. De clínica variable, desde un cuadro febril hasta presentaciones
graves con compromiso hemodinámico y falla multiorganica. La incidencia en
pediatría es incierta, con mayor frecuencia en varones (59%), rango de edad de
7 a 10 años. Mortalidad cercana al 2 %, con alta incidencia de ingresos a
unidades de cuidados intensivos pediátricos (UCIP), El ministerio de salud de
la nación incluyó en Julio 2020 como definición de caso COVID-19 en pediatría.
Métodos: Estudio descriptivo observacional, población
bajo estudio conformada por pacientes internados en UCIP hospital Quintana de
Jujuy durante el periodo agosto 2020 - agosto 2021
Resultados: Se analizaron
14 pacientes, de 1 mes a 16 años, edad media 10.6, 64% adolescentes, 71%
varones, obesidad 50%, sin otras comorbilidades. El 100% presento fiebre, 11
pacientes con dolor abdominal, 4 niños posquirúrgica apendicetomía
profiláctica. El 85% con exantema. El 100% presentó Shock, 85% miocarditis, 50%
con disfunción ventricular izquierda severa requiriendo Levosimendan. 8
pacientes requirieron ARM. El 100% recibió Gammaglobulina y Corticoides, todos
recibieron antibióticos inicialmente, cultivos negativos. Serología +
SARS-CoV-2 85%, PCR + SARS-CoV-2 57%, ferritina y fibrinógeno elevados en todos
los pacientes. Complicaciones observadas: FOM 3, 1 paciente con Purpura
fulminans, evolución a gangrena seca, amputación dedos del pie, Miopatía severa
5, Síndrome de Abstinencia 3, Sin registro de mortalidad.
Conclusiones: La evolución de los pacientes descriptos
guarda relación con los reportes analizados, morbilidad significativa a corto
plazo, con necesidad de intervenciones de cuidados críticos, pero baja
mortalidad y evolución favorable. El tratamiento está supeditado al sostén de
los órganos comprometidos y al aporte de agentes inmunomoduladores
0183 UTILIZACIÓN DE LA
INSUFLACION TRAQUEAL DE GASES CONTINUA (TGIC) EN EL SÍNDROME DE DISTRES
RESPIRATRORIO AGUDO (SDRA) POR COVID-19
PG Insaurralde(1), F
Gonzales(1), J Leiria(1), I Garcia(2), B Conca(2), C Ardilez(1), O Aspitia(1),
T Nuria(3)
(1) Hospital Zonal Trelew. (2) Hopital Zonal
Trelew. (3) Hospital Zonal Trelew
Objetivo: Describir el efecto de la T.G.I.C. sobre la
disminución de la Pco2 y la Optimización del PH en pacientes a los cuales se
Ventiló bajo Estrategia de Ventilación de Protección Pulmonar y tolerancia de
la Hipercapnea Permisiva (H.P) en SDRA por COVID 19.
Material y Método: Estudio prospectivo, observacional en el que
se evaluaron desde el 01/08/2019 al 30/08/2020, pacientes portadores de SDRA de
acuerdo al C.E.A. que en el transcurso de su evolución se tolero la H.P hasta
un pH de 7.20.
Para confeccionar la T.G.I.C, se utilizó una
Sonda con un diámetro interno de 2.2 mm la que se introducía por dentro del
tubo endotraqueal (T.E.T) y que quedaba cercana a la carina por observación
radiológica. Una pieza en t se utilizó como intermediario entre el T.E.T y el
respirador. El flujo fue administado por un flowmeter requiriendo un flujo
promedio de 7 litros (rango 5 – 9). Se realizó muestra de gasometria Arterial
(G.A) previo y a la 1ra horas posteriores a la I.T.G.C.
Resultados: Ingresaron al estudio 5 pacientes con una
edad promedio de 69.4 (rango 62 – 81). Del análisis de G.A realizada antes y a
la 1ra hora de administrar la T.G.I.C se advierte una disminución promedio de
la Pco2 de 18 mmhg (rango 11-23) esto a su vez generó un incremento del pH en
0.16 puntos (rango 0.10-0.21).
Pco2 antes de TGIC pH antes deTGIC Pco2 1ra
hora después de TGIC ph 1ra hora después de TGIC
66 mmhg. 7.18 57 mmhg. 7.28
73 mmhg. 7.16 54 mmhg. 7.36
75 mmhg. 7.14 57 mmhg. 7.32
78 mmhg. 7.12 59 mmhg. 7.26
91 mmhg. 7.10 68 mmhg. 7.31
Conclusiones: Ventilar bajo la estrategia de protección
pulmonar, en pacientes portadores de SDRA por COVID-19, conlleva a un grupo de
ellos a tolerar la H.P, como resultado de esto se alcanza valores de pH por
debajo de 7.20. La T.G.I.C. en la muetra estudiada pareceria ser un método útil
para lavar el espacio muerto, generar el descenso de la Pco2 y corregir el pH,
sin la nesecidad de administrar bicarbonato de sodio para su correccion,
pudiendo continuar con los beneficios de la ventilacion protectora pulmonar.
0184 Detección precoz de
retención aguda de orina en personas con deterioro del nivel de conciencia. Los
nuevos desafíos para enfermería
JM Ortega(1), E
Taricura(2), V Dominguez(2), F Barrios(2), J Peña(2)
(1) Hosp. Cuenca Alta N. Kirchner (hcank). (2) Hcank
La retención aguda de orina (RAO) es la
urgencia urológica más frecuente.
Para aquellos pacientes sondados, la
presencia de RAO se asocia básicamente a la ubicación de algún objeto físico
intraluminal (fibrina, coágulos, pus, sedimento) dentro del sistema invasivo de
sondaje.
Todos los datos subjetivos del paciente
lúcido, desaparecen ante la presencia de pérdida de la conciencia. Debido a la
ausencia de una comunicación verbal efectiva entre persona – profesional, se
requieren datos de la valoración física que sean precisos y con alto nivel de
sensibilidad y certeza para determinar RAO. La ecografía abdominal es una forma
rápida, eficaz y no invasiva.
Hipótesis: La retención aguda de orina es un dato
subclínico que se evidencia sólo ante la presencia de complicaciones mayores
(alteración en los signos vitales, distensión y defensa abdominal,
insuficiencia renal post renal) en aquellos individuos con deterioro del nivel
de conciencia.
Método: Estudio descriptivo transversal que se
realizará durante el mes de Octubre 2021, en la UTI A del Hospital Cuenca Alta
Néstor Kirchner, en aquellos pacientes que se encuentren con:
• Glasgow menor a 13/15.
• Asistencia Respiratoria Mecánica.
• RASS – 2.
Se realiza la medición del volumen urinario
mediante el uso del ecógrafo. Se toma una muestra aleatoria diaria y se
exploran datos objetivos semiológicos de RAO:
• Signos vitales.
• CPOT.
• Oligoanuria / Anuria.
• Abdomen distendido y con defensa abdominal.
• Percusión abdominal.
Datos: Medición aleatoria de 20 pacientes en la UTI
A del Hospital Cuenca Alta Nestor Kichner. Cañuelas. 1ra quincena Octubre 2021
Conclusiones: Teniendo en cuenta los datos recolectados (n
= 20 pacientes) y la alta incidencia de RAO (50%), el 70% aproximadamente de
los pacientes presento signos asociados pero no patognomónicos o concluyentes,
tales como, oliguria (< 50 ml/h), distensión abdominal y sonido mate a la
percusión. A su vez, la mayoría de las sondas vesicales colocadas eran de
calibre chico (70%) y mediano (30%), predisponiendo a la oclusión del flujo
urinario intralumen, ante la presencia de sedimento, pus, coágulos, etc.
Por último, a los datos ya aportados y
sumando el estado de conciencia de los individuos internados y sondados, se
vuelve imprescindible y el gold standard la utilización del ecógrafo para la
detección precoz de las retenciones urinarias y evitar complicaciones mayores.


ÍNDICE DE AUTORES
|
Autor |
Resumen |
|
|
|
|
A |
|
|
182 |
|
|
148 |
|
|
142 |
|
|
125 |
|
|
156 |
|
|
101 |
|
|
132 |
|
|
79 |
|
|
7 |
|
|
|
|
|
B |
|
|
61 |
|
|
68 |
|
|
69 |
|
|
84 |
|
|
118 |
|
|
126 |
|
|
72 |
|
|
81 |
|
|
87 |
|
|
88 |
|
|
17 |
|
|
26 |
|
|
59 |
|
|
2 |
|
|
9 |
|
|
|
|
|
C |
|
|
138 |
|
|
159 |
|
|
70 |
|
|
170 |
|
|
64 |
|
|
57 |
|
|
113 |
|
|
16 |
|
|
53 |
|
|
67 |
|
|
134 |
|
|
124 |
|
|
42 |
|
|
11 |
|
|
1 |
|
|
166 |
|
|
|
|
|
D |
|
|
63 |
|
|
71 |
|
|
115 |
|
|
116 |
|
|
55 |
|
|
163 |
|
|
54 |
|
|
18 |
|
|
36 |
|
|
80 |
|
|
89 |
|
|
100 |
|
|
136 |
|
|
|
|
|
E |
|
|
106 |
|
|
|
|
|
F |
|
|
30 |
|
|
133 |
|
|
22 |
|
|
21 |
|
|
143 |
|
|
86 |
|
|
152 |
|
|
102 |
|
|
|
|
|
G |
|
|
131 |
|
|
93 |
|
|
4 |
|
|
165 |
|
|
178 |
|
|
176 |
|
|
149 |
|
|
119 |
|
|
|
|
|
H |
|
|
20 |
|
|
105 |
|
|
48 |
|
|
50 |
|
|
5 |
|
|
|
|
|
I |
|
|
157 |
|
|
183 |
|
|
|
|
|
J |
|
|
151 |
|
|
|
|
|
K |
|
|
145 |
|
|
|
|
|
L |
|
|
122 |
|
|
123 |
|
|
41 |
|
|
35 |
|
|
171 |
|
|
97 |
|
|
120 |
|
|
46 |
|
|
96 |
|
|
|
|
|
M |
|
|
94 |
|
|
95 |
|
|
98 |
|
|
99 |
|
|
51 |
|
|
39 |
|
|
44 |
|
|
77 |
|
|
47 |
|
|
154 |
|
|
52 |
|
|
153 |
|
|
137 |
|
|
|
|
|
N |
|
|
74 |
|
|
|
|
|
O |
|
|
183 |
|
|
|
|
|
P |
|
|
78 |
|
|
128 |
|
|
144 |
|
|
19 |
|
|
162 |
|
|
45 |
|
|
34 |
|
|
37 |
|
|
76 |
|
|
|
|
|
Q |
|
|
146 |
|
|
|
|
|
R |
|
|
28 |
|
|
29 |
|
|
92 |
|
|
117 |
|
|
174 |
|
|
130 |
|
|
|
|
|
S |
|
|
33 |
|
|
85 |
|
|
43 |
|
|
58 |
|
|
|
|
|
T |
|
|
31 |
|
|
32 |
|
|
158 |
|
|
169 |
|
|
60 |
|
|
164 |
|
|
167 |
|
|
180 |
|
|
|
|
|
U |
|
|
103 |
|
|
104 |
|
|
|
|
|
V |
|
|
13 |
|
|
150 |
|
|
40 |
|
|
127 |
|
|
121 |
|
|
140 |
|
|
168 |
|
|
3 |