Índices neutrófilo/linfocito y plaqueta/linfocito en pacientes con enfermedad cerebrovascular aguda. Evaluación de la utilidad para predecir transformación hemorrágica

[Neutrophil-to-lymphocyte and platelet-to-lymphocyte ratios in patients with acute ischemic stroke. Assessment of usefulness to predict hemorrhagic transformation]

Alfredo Aguirre-Enríquez,1 Jocelyn Cruz-Pérez,2 Graciela Cárdenas-Hernández3*

1 Servicio de Terapia Intensiva Neurológica (Fellow), Instituto Nacional de Neurología y Neurocirugía Manuel Velasco Suárez, Ciudad de México, México

2 Servicio de Terapia Intensiva Neurológica, Instituto Nacional de Neurología y Neurocirugía Manuel Velasco Suárez, Ciudad de México, México

3 Servicio de Neurología, Instituto Nacional de Neurología y Neurocirugía Manuel Velasco Suárez, Ciudad de México, México

* Correspondencia: gcardenas@innn.edu.mx

 

Los autores no declaran conflictos de intereses.

 

Resumen

Objetivo: Asociar los índices neutrófilo/linfocito y plaqueta/linfocito con la transformación hemorrágica en pacientes neurocríticos con enfermedad cerebrovascular isquémica aguda. Diseño: Estudio observacional retrospectivo, analítico, transversal. Ámbito: Unidad de Terapia Intensiva Neurológica del Instituto Nacional de Neurología y Neurocirugía Manuel Velasco Suárez, Ciudad de México, México. Pacientes: Adultos >18 años con ictusisquémico agudo, hospitalizados entre el1 de enero de 2021 y el 31 de diciembre de 2021, seleccionados por muestreo no probabilístico por conveniencia. Intervención: Identificación de la transformación hemorrágica en un estudio de neuroimagen, determinación del estado funcional y la mortalidad a los 30 y 90 días. El criterio de valoración primario fue la transformación hemorrágica relacionada con los índices neutrófilo/linfocitoy plaqueta/linfocito, y con la escala de Rankin modificada a 30 y 90 días. Resultados: Se incluyeron 188 pacientes. La prevalencia de transformación hemorrágica fue del 12,8%. La mortalidad en transformación hemorrágica a 30 días fue del 16,7%. El índice neutrófilo/linfocito promedio fue de 5,81 (DE ± 6,29) y un valor >4,67 predijo la transformación hemorrágica. El índice neutrófilo/linfocito >3,46 predijo un valor 5-6 en la escala de Rankin modificada a 90 días. El índice plaqueta/linfocito promedio fue de 192 (DE ± 150), sin alcanzar capacidad predictiva. La glucemia >140 mg/dl se asoció con transformación hemorrágica. Conclusiones: El índice neutrófilo/linfocito tuvo una asociación directamente proporcional con el incremento del riesgo de transformación hemorrágica y con peores resultados funcionales a 90 días. No se halló esta asociación con el índice plaqueta/linfocito.

Palabras clave: Infarto cerebral; hemorragia cerebral; daño por reperfusión; neutrófilo; linfocito; plaqueta.

 

Abstract

Objective: To associate the neutrophil-to-lymphocyte ratio and platelet-to-lymphocyte ratio with hemorrhagic transformation in neurocritical patients with acute ischemic stroke. Design: Retrospective, analytical, observational, cross-sectional study. Scope: Neurological Intensive Care Unit, National Neurological and Neurosurgical “Manuel Velasco Suarez” Institute, Mexico City, Mexico. Patients: Adults >18 years with acute ischemic stroke, hospitalized from January 1, 2021 to December 31, 2021, selected by non-probabilistic convenience sampling. Intervention: Identification of hemorrhagic transformation in a neuroimaging study, functional status and mortality evaluation at 30 and 90 days. The primary endpoint was hemorrhagic transformation related to neutrophil-to-lymphocyte ratio and platelet-to-lymphocyte ratio and with modified Rankin scale at 30 and 90 days. Results: 188 patients were included. The prevalence of hemorrhagic transformation was 12.8%. Mortality in hemorrhagic transformation at 30 days was 16.7%. The mean neutrophile-to-lymphocyte ratio was 5.81 (SD ± 6.29) and a value >4.67 predicted hemorrhagic transformation. Neutrophil-to-lymphocyte ratio >3.46 predicted a modified Rankin scale of 5-6 at 90 days. The mean platelet-to-lymphocyte ratio was 192 (SD ± 150), without predictive capacity. Glycemia>140 mg/dL was associated with hemorrhagic transformation. Conclusions: A directly proportional association was observed between neutrophil-to-lymphocyte ratio and increased risk of hemorrhagic transformation and worse functional results at 90 days. Platelet-to-lymphocyte ratio showed no association.

Keywords: Ischemic stroke; cerebral hemorrhage; reperfusion injury; neutrophil; lymphocyte; platelet.

Introducción

La enfermedad cerebrovascular (ECV) aguda de tipo isquémico es un importante problema de salud pública en el mundo, debido a las altas tasas de morbilidad y mortalidad asociadas.1,2 Representa aproximadamente el 85% de las causas dentro del espectro de la ECV,3,4 y se define como la pérdida o interrupción súbita del flujo sanguíneo en un territorio del sistema nervioso central (cerebro, médula espinal o retina) que ocasiona un infarto focal en la zona anatómica afectada y se manifiesta clínicamente como un déficit reciente en una función neurológica.5

En México, según el reporte del Boletín Epidemiológico Nacional, la frecuencia de ECV fue de 41.288 casos en 2021 y se incrementó a 52.181 en 2022.6 La complicación más grave del ictus isquémico es la transformación hemorrágica (TH), la cual puede ser inducida por la evolución natural de la enfermedad o presentarse como complicación de la terapia de reperfusión. La TH se presenta entre el 10-40% de los casos y condiciona un incremento de la mortalidad.4,7,8

Las dos principales clasificaciones utilizadas para evaluar la TH se basan en criterios clínicos y radiológicos. De acuerdo conlos criterios clínicos, la TH puede ser sintomática o asintomática. Para evitar sesgos en las definiciones, el European Cooperative Acute Stroke Study (ECASS II) requiere que, para que la TH sea considerada sintomática, además de la hemorragia, debe haber un deterioro neurológico concurrente de >4 puntos en la escala NIHSS (National Institutes of Health Stroke Scale).8 La clasificación radiológica más empleada es la del ECASS, la cual emplea la tomografía de cráneo simple y divide la gravedad de la TH en dos: Infarto Hemorrágico (IH) y Hemorragia Parenquimatosa (HP), cada una de las cuales se subdivide,a su vez, en dos categorías.8,9 Los grados más graves señalan peores resultados funcionales y un incremento de la mortalidad. De esta manera, la hemorragia parenquimatosa II se asocia con deterioro neurológico (cociente de probabilidades [odds ratio, OR] 32,3) e incremento de la mortalidad al tercer mes (OR 18).10 Otro sistema de clasificación desarrollado con el objetivo de incrementar el acuerdo intraobservadore interobservador es la clasificación de hemorragia de Heidelberg.4

Algunos de los principales factores de riesgo asociados con TH son: la edad, la crisis hipertensiva en el momento del ictus isquémico, la fibrilación auricular, la hiperglucemia, la fiebre, la gravedad del infarto, evaluada mediante la escala NIHSS. En este sentido, los puntajes de la NIHSS de entre 5 y 10 indican un riesgo del 1,6% de TH, mientras que el riesgo se incrementa hasta el 6,8% con valores >21.11 De igual forma, el puntaje ASPECTS (Alberta Stroke Program Early CT Score) <5 se relaciona con un aumento del riesgo de TH, lo mismo que una colateralidad vascular disminuida.7 Estas variables han sido incluidas en algunas escalas que permiten inferir el riesgo de TH con diferente poder predictivo.12

El proceso inflamatorio es fundamental en la patogenia y se relaciona con la rotura de la barrera hematoencefálica y el daño relacionado con la reperfusión.13 En este contexto, varios estudios clínicos han evaluado la utilidad de los marcadores inflamatorios, como los índices neutrófilo/linfocito (INL) y plaqueta/linfocito (IPL) en pacientes con ECV isquémica y TH, y en la mayoría de los estudios, se halló una correlación positiva, es decir, mientras más altos son el INL o el IPL, mayor es la probabilidad de TH.14-19 Para predecir la TH, el mejor valor predictivo reportado del INL varía entre ≥3,89 y ≥10,59, mientras que, para el IPL, es de 157 para el IH y de 146 para la HP, respectivamente, sobre la base de la clasificación del ECASS.14-19 En el estudio de Zhang et al, el INL alcanzó un OR de 1,53 (IC95% 1,21-1,92; p <0,05) para predecir la TH en pacientes con ictus isquémico, mientras que el OR fue de 1,10 (IC95% 1,05-1,15; p <0,05) para predecir el incremento de la mortalidad a los tres meses.19

Basados en los resultados de estas investigaciones que incluyeron principalmente a una población asiática, el objetivo de este estudio fue evaluar la utilidad del INL y el IPL medidos al ingreso, como factores predictivos de TH en una población adulta con ECV isquémica aguda,en una unidad de cuidados intensivos de un centro neurológico de referencia de la Ciudad de México. Además, se determinaron la prevalencia de TH y los valores promedios de INL e IPL, así como su relación con el resultado funcional.

Pacientes y Métodos

Diseño del estudio

Estudio observacional, analítico, retrospectivo, transversal, llevado a cabo en la Unidad de Cuidados Intensivos Neurocríticos del Instituto Nacional de Neurología y Neurocirugía. Se trata de un hospital de tercer nivel en la Ciudad de México que cuenta con 126 camas censables y tres principales áreas de hospitalización: Neurología, Neurocirugía y Psiquiatría. La Unidad de Cuidados Intensivos Neurocríticos tiene nueve camas que cuentan con equipos de monitoreo hemodinámico multiparamétrico, monitorización de la presión intracraneal invasiva y no invasiva, Doppler transcraneal, electroencefalograma continuo, monitorización de la saturación de oxígeno del bulbo yugular, monitorización de la oxigenación por espectroscopia (near-infrared spectroscopy, NIRS).

Población del estudio

Se incluyó a pacientes >18 años con ECV isquémica aguda, hospitalizados entre el 1 de enero de 2021 y el 31 de diciembre de 2021. Los criterios de inclusión fueron: a) citometría hemática al ingresar, b) estudio de neuroimágenes al ingresar, con registro del puntaje ASPECTS, c) estudio de neuroimagen (tomografía o resonancia magnética) en las siguientes 48 horas, d) registro de la condición funcionalmediante la escala de Rankin modificada (ERm) a los 30 y 90 días.

Se creó una base de datos a partir de las historias clínicas revisadas que incluyó información sociodemográfica, clínica, marcadores biométricos y diversas escalas pronósticas de pacientes neurocríticos [APACHE II, ASPECTS, NIHSS, ECASS]. Se calcularon el INL y el IPL sobre la base de los resultados de la primera biometría hemática obtenida al ingresar en la institución. Se indicó trombólisis, trombectomía mecánica o ningún tratamiento (manejo conservador).

Se definió TH a la presencia de sangre dentro del área del infarto registrada en los estudios de neuroimágenes. Se empleó la escala ECASS II para clasificar la TH mediante tomografía de cráneo. Esta escala se divide en: a) infarto hemorrágico 1: sangrado petequial pequeño, a lo largo de los márgenes del infarto; b) infarto hemorrágico  2: sangrado petequial confluente dentro del infarto; c) hemorragia parenquimatosa 1: hematoma en <30% del área del infarto; d) hemorragia parenquimatosa 2: hematoma en >30% del área del infarto.8 Se incluyeron todos los tipos de TH, independientemente de si era sintomática o asintomática.

El resultado funcional a los 30 o 90 días se informó mediante la ERm.

Análisis estadístico

Las variables cuantitativas se analizaron con la prueba de la t de Student, y sus equivalentes no paramétricos, con la prueba de Wilcoxon para muestras independientes. Las variables cualitativas se analizaron con las pruebas de la ji al cuadrado de Pearson (c2), cuando fue necesario se usó la prueba exacta de Fisher. Debido a que los valores del INL y el IPL presentaron una distribución no gaussiana, se realizó una conversión logarítmica para facilitar el análisis. Se emplearon métodos multivariados con regresión logística binaria para la estimación ajustada de riesgos y poder analizar las asociaciones establecidas en los objetivos primarios y secundarios, entre las variables de estudio. Estos se reportaron como razón de momios ajustada. Se construyeron curvas ROC (receiver operating characteristic curves) y el mejor punto de corte se estableció con el método de Youden; además, se reportó el área bajo la curva. Para todos los análisis se consideraron significativos los valores inferiores o iguales a un alfa del 5% (p ≤0,05). Todos los análisis y gráficos se realizaron con el programa R (R Foundation for Statistical Computing, RGUI), versión 4.2.2 (2022).

Consideraciones éticas

Este estudio fue aprobado por el comité de investigación y ética del Instituto Nacional de Neurología y Neurocirugía (protocolo número 77/22) y se llevó a cabo bajo los estándares de la Declaración de Helsinki de 1964 y todas las regulaciones mexicanas: Ley General de Salud en materia de investigación en salud (título V, capítulo único, arts. 96-103) y la Norma Oficial Mexicana NOM-012-SSA3-2012.

Resultados

Luego de aplicar los criterios de inclusión y exclusión, se incluyó a 188 pacientes con ECV isquémica. Las principales variables sociodemográficas y clínicas se describen a continuación y se resumen en la Tabla.

 

Tabla

Variables clínico-demográficas de los pacientes del estudio

 

Sin transformación hemorrágica

Con transformación hemorrágica

p

n = 163

n = 24

Edad, años (X ± DE)

64.6 ± 15.8

63.7 ± 16.6)

0,82

Sexo masculino, %

90 (55,2%)

13 (54,2%)

1

IMC, kg/m2(X ± DE)

27,4 ± 3,2

27,8 (± 2,8)

0,56

Normal

28 (20,6%)

2 (10%)

 

Sobrepeso

74 (54,4%)

14 (70%)

 

Obesidad

34 (25%)

4 (20%)

 

Comorbilidades

 

 

 

Hipertensión arterial

88 (54%)

14 (58,3%)

0,86

Diabetes mellitus

38 (23,3%)

7 (29,2%)

0,71

Etiología

 

 

0,88

Aterotrombótica

68 (42%)

11 (45,8%)

 

Cardioembólica

65 (40,1%)

11 (45,8%)

 

Disección arterial

15 (9,3%)

1 (4,2%)

 

Vasculitis

12 (8,6%)

1 (4,2%)

 

Territorio

 

 

0,48

ACA

6 (3,7%)

2 (8,3%)

 

ACM

133 (81,6%)

19 (79,2%)

 

Circulación posterior

24 (14,7%)

3 (12,5%)

 

Reperfusión

 

 

0,31

Trombectomía

6 (3,7%)

1 (4,2%)

 

Trombólisis

78 (47,9%)

15 (62,5%)

 

Ninguna

79 (48,5%)

8 (33,3%)

 

APACHE II (X ± DE)

10,3 ± 2,3

10,4 (± 2,2)

0,93

Presión arterial sistólica, mmHg(X ± DE)

136 ± 22,7

140 (± 19)

0,34

Presión arterial diastólica, mmHg(X ± DE)

78,6 ± 11,9

75,8 (± 12,3)

0,3

Presión arterial media, mmHg(X ± DE)

97,7 ± 13,7

97,2 (± 11,5)

0,85

Glucemia, mg/dl (X ± DE)

138 ± 36,9

152 (± 74,7)

0,77

INL (X ± DE)

5,59 ± 5,44

7,3 (± 10,4)

0,19

INL (M - RIC)

4,16 (2,39-7,02)

5,5 (3,53-6,76)

 

IPL (X ± DE)

182 ± 107

259 (± 313)

0,58

IPL (M - RIC)

159 (107-226)

159 (120-213)

 

ACA = arteria cerebral anterior; ACM = arteria cerebral media; APACHE II = Acute Physiology and Chronic Health Disease Classification System II; DE = desviación estándar; IMC = índice de masa corporal; INL = índice neutrófilo/linfocito; IPL = índice plaqueta/linfocito; M = mediana; RIC = rango intercuartílico; X = promedio.

Características generales

En la población incluida, había un ligero predominio del sexo masculino (55,1%, n=103), la edad promedio era de 64.4 ± 15.9 años. El índice de masa corporal promedio era de 27,5 ± 3,18 kg/m2. Más de la mitad de los pacientes tenía hipertensión arterial como principal comorbilidad (54,5%), mientras que una cuarta parte tenía antecedentes de diabetes mellitus (24,1%). La presión arterial sistólica promedio era de 136,4 ± 22,2 mmHg; la presión arterial diastólica, de 78,3 ± 12,0 mmHg; y la presión arterial media, 97,6 ±  13,4 mmHg, mientras que la glucemia promedio era de 140 ± 43,4 mg/dl.

Características de la ECV

El 81,3% (152 pacientes) tenía compromiso en el territorio de la arteria cerebral media, seguido de eventos de la circulación posterior (14,4%; n = 27) y de la arteria cerebral anterior 4,3% (n = 8).

Las principales etiologías eran aterotrombótica (42,5%) y cardioembólica (40,9%), mientras que la disección arterial (8,6%) y la vasculitis (8,1%) resultaron menos frecuentes.

El puntaje de la escala NIHSS al ingresar fue 13 (rango intercuartílico 9-18); sin embargo, hubo casos desde un mínimo de 2 puntos hasta un máximo de 31 puntos.

Se obtuvieron puntajes ASPECTS en todos los niveles, aunque predominaron aquellos >7; el más frecuente fue 8. Los puntajes ≤7 representaron el 39,8% (n = 74) en el grupo general.

En cuanto al tratamiento, casi la mitad fue sometida a trombólisis (49,7%, n = 93), al 3,7% (n = 7) se le realizó una trombectomía; y un 46,5% (n = 87) recibió tratamiento conservador.

La TH de la ECV fue del 12,8% (n = 24) en la población general. Al dividirla en subgrupos por tratamiento, las tasas fueron: 14,3% (n = 1/7) para trombectomía, 16,1% (n = 15/93) para trombólisis y 9,2% (n = 8/87) en el grupo que recibió solo tratamiento clínico; sin embargo, no hubo diferencias estadísticas entre estos (p = 0,31).

En conjunto, aproximadamente el 16% los pacientes sometidos a tratamiento activo (trombectomía + trombólisis, n = 100) tuvo TH comparado con el 9,2% de aquellos que recibieron un tratamiento conservador (p = 0,24).

INL e IPL como factores predictivos de TH

La distribución de los valores de ambos índices (INL e IPL) fue extremadamente asimétrica y con una amplia variabilidad entre los pacientes, por lo que se usaron análisis no paramétricos por esta condición. La transformación logarítmica de los valores corrigió el sesgo de distribución, pero añadió dificultades en la interpretación de los valores.

En el análisis bivariado, el INL en el grupo sin TH (n = 163) (X = 5,59; ± desviación estándar [DE] 5,44) versus el grupo con TH (n = 24) (X = 7,30; ± DE 10,4) no alcanzó una diferencia estadística (p= 0,19). Los hallazgos fueron similares para el IPL: grupo sin TH (X = 182; ± DE 107) versus grupo con TH (X = 259; ± DE 313), sin diferencias estadísticas (p= 0,58). Considerando que la TH es un fenómeno sobre el que pueden influir otros factores, se realizó un análisis multivariado donde no se observaron diferencias estadísticamente significativas entre ambos grupos. Se destaca la tendencia observada de los pacientes con hiperglucemia (mg/dl)  en quienes se observa por cada punto de incremento por sobre el promedio (140 mg/dl), el riesgo de TH aumenta aproximadamente 1% (p = 0,08). Otros factores que se evaluaron y mostraron tendencia a incrementar el riesgo de TH fueron el índice de masa corporal con sobrepeso y obesidad, la trombólisis, el puntaje ASPECTS <7, mientras que la ECV por disección arterial o vasculitis, el ictus en territorio de la arteria cerebral media y de circulación posterior mostraron una tendencia hacia un menor riesgo de TH. Además,el INL y algo menos consistente el IPL tuvieron una discreta tendencia hacia un mayor riesgo; sin embargo, ninguno de estos parámetros alcanzó significancia estadística.

TH y desenlace clínico funcional

La TH de la ECV tuvo una fuerte asociación con malos desenlaces (ERm 5-6) a los 30 días de hospitalización. El 13% deaquellos sin TH tuvo un mal desenlace (ERm 5-6)(n = 21/162; ERm 5 = 15; ERm 6 = 6), mientras el 45,8% de quienes sí tuvieron una TH presentaron un mal desenlace [n = 11/24; ERm 5 = 7, ERm 6 = 4, (p <0,001)] (Figura 1).

 

Figura 1. Distribución de los puntajes de la escala de Rankin modificada (modified Rankin scale, mRS) según la transformación hemorrágica a los 30 días.

 

Para el día 90, predominó el grupo con ERm 3 (24,7%) entre aquellos sin TH, seguido de ERm 4 (21%) y ERm 2 (20,4%). Mientras que, en el grupo con TH, predominaron aquellos con ERm 5 (25%), seguido de ERm 6, con un incremento importante en este subgrupo, llegó hasta el 20,8% y, en menor proporción,ERm 2 y ERm 3 con un 16,7% (Figura 2).

 

Figura 2. Distribución de los puntajes de la escala de Rankin modificada (modified Rankin scale, mRS) según la transformación hemorrágica-enfermedad cerebrovascular a los 90 días.

Predicción de la TH y desenlace clínico funcional

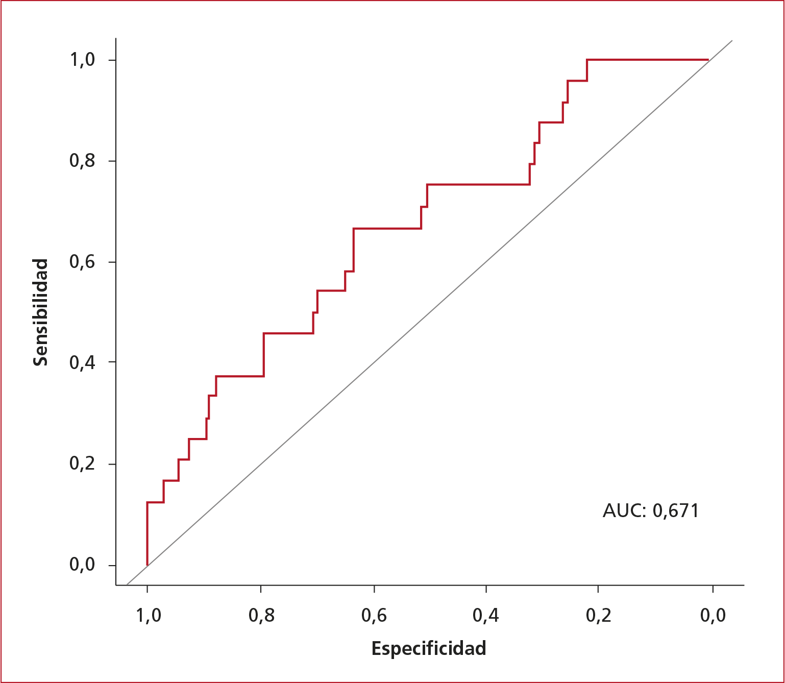
La capacidad predictiva del INL con el modelo multivariado alcanzó una especificidad del 63,2% (IC95% 55,8-71,2%); una sensibilidad del 66,7% (IC95% 45,8-83,3%), un área bajo la curva de 0,671. El valor del INL ≥4,67 se correspondió con el mejor punto de corte (sin ajuste) para predecir la TH (Figura 3).

 

Figura 3. Área bajo la curva (area under the curve, AUC) del índice neutrófilo/linfocito para predecir la transformación hemorrágica.

 

Además, el logINL tuvo una fuerte asociación con un mal desenlace a los 90 días (ERm5 y ERm6), con un OR de 2,45 (IC95% 1,45-4,32; p = 0,001). El área bajo la curva para esta predicción en el modelo ajustado, multivariado fue de 0,74, con una especificidad del 66,7% (IC95% 59-75%) y una sensibilidad del 75% (IC95% 59-88%). Los valores mayores a logINL de 1,24 (equivalentes a INL ≥3,46) fueron adecuados como puntos de corte para predecir malos resultados funcionales.

Por otro lado, el IPL no logró determinar la capacidad predictiva para la TH ni para predecir el desenlace funcional.

Finalmente, al analizar otros resultados, no se halló una correlación entre el tiempo de hospitalización (días) y los índices citométricos estudiados. Para el INL medido al ingresar, la correlación fue prácticamente nula (r = 0,08; p = 0,25), inclusive usando valores con transformación logarítmica, la prueba no paramétrica (Spearman) arrojó resultados similares (rho = 0,16; p = 0,03). Con respecto al IPL, el resultado fue análogo al encontrado para el INL, la correlación fue de r = 0,08 (p = 0,26) y de rho = 0,11 (p = 0,13).

Discusión

La ECV es una de las principales causas de morbilidad y muerte en el mundo, lo que genera un gran costo para todos los sistemas de salud y reduce la calidad de vida de los enfermos que la padecen.

A pesar de los avances en el tratamiento de la reperfusión de la ECV, las complicaciones que ocurren en el período agudo, como la TH, incrementan la mortalidad y condicionan peores resultados clínicos funcionales en los sobrevivientes.7 Esta premisa también se comprobó en este estudio, ya que los peores resultados funcionales y la muerte fueron más frecuentes en quienes desarrollaron TH comparados con los que no (45,8% vs. 13%) (p <0,001).

Las variables demográficas descritas en nuestro estudio son similares a las publicadas en otras investigaciones que analizaron la utilidad de los índices citométricos como factores predictivos en pacientes con ECV.14-19

La TH en la muestra general de este estudio fue del 12,8%, incluidos todos los subtipos (sintomáticos y asintomáticos). Aproximadamente el 46,5% de los enfermos llegó fuera de ventana terapéutica y,por lo tanto, no fueron candidatos para la terapia de reperfusión, mientras que únicamente el 3,7% fue sometido a trombectomía mecánica.

Estos valores son inferiores a los comunicados en el estudio de Honig et al, en el cual, la TH fue del 32% frente al 20% en los no trombolizados.8 Se sabe que la trombólisis incrementa el riesgo de TH del subtipo 2 de hemorragia parenquimatosa (OR 5,55; IC95% 4,01-7,70, p <0,0001) (6,8% vs. 1,3%).20

Este porcentaje más alto de TH observado en la población asiática se corresponde con la mayor proporción de TH asociada a trombólisis en la región este de Asia.21

Uno de los estudios más grandes que evaluó la utilidad del INL y el IPL como factores predictivos de TH fue el metanálisis de Zhang et al, con 3726 enfermos, en el que se estableció un OR de 1,53 para el INL como factor predictivo de TH.19

En el estudio de Yang et al que evaluó también ambos índices citométricos como factores predictivos de TH, el área bajo la curva del IPL fue de 0,72 (IC95% 0,64-0,80; p <0,001), mientras que, para el INL, fue de 0,67 (IC95% 0,58-0,76; p <0,001).17 Este último hallazgo para el INL es muy similar al obtenido en nuestro estudio. Además, en ese estudio, los autores informaron que el IPL se asoció con un incremento de la TH en todos los subtipos de ictus de etiología aterosclerótica (OR 1,699; IC95% 1,29-3,21; p <0,001), así como el incremento de la tasa de mortalidad intrahospitalaria por TH (OR 1,04; IC95% 1,006-1,007; p 0,02).17 Estos últimos hallazgos contrastan con los de nuestro estudio, donde el IPL no logró significancia estadística en ninguna categoría.

Con respecto al valor de corte para predecir la TH, en estudios previos, se han comunicado valores que varían entre ≥3,89 y ≥10,59 para el INL.14-19 En nuestro estudio, el valor promedio de INL fue de 5,59 ± 5,44 que, a pesar de estar dentro del rango de lo informado en los estudios descritos, no alcanzó una significancia estadística (p= 0,19).

Para el caso del IPL, el valor promedio en el grupo con TH fue de 259 ± 313 y tampoco alcanzó una significancia estadística (p= 0,58); sin embargo, fue ampliamente diferente del reportado por otros autores, cuyo valor de corte con capacidad predictiva para TH fue de 157.15,17

En este estudio, se evaluó la asociación entre el INL y el IPL con la TH en la ECV, y se logró establecer que los valores mayores de INL e IPL se relacionaban con un riesgo más alto de TH (pese a no alcanzar significancia estadística, se observó una tendencia directamente proporcional). La falta de significancia probablemente se deba a que la muestra fue insuficiente o muy heterogénea. Por otra parte, el INL sí se relacionó de manera importante y con buena capacidad para predecir un pobre resultado funcional (ERm 5-6) a los 90 días, pero el IPL no logró alcanzar esta capacidad predictiva.

Otro punto importante es que el INL y el IPL también se han empleado para predecir el éxito de las terapias de reperfusión. En un ensayo retrospectivo que incluyó a 282 enfermos sometidos a trombectomía mecánica, los valores de INL e IPL fueron más altos en aquellos que no lograron una reperfusión exitosa (TICI 0-2a). Para el INL el valor de corte fue de 6,2 y alcanzó un área bajo la curva de 0,63 (IC95% 0,54-0,72; p <0,001), mientras que, para IPL, el valor de corte fue de 103,6, con un área bajo la curva de 0,65 (IC95% 0,57-0,73; p <0,001).19 Estas variables no se analizaron en nuestro estudio, pero representan otras posibles utilidades de estos índices citométricos.

Las principales ventajas de nuestro estudio son la inclusión para el análisis de múltiples variables que podrían interferir con la asociación estadística. Además, se analizó la relación entre los índices citométricos con los resultados funcionales, y se logró hallar una asociación para el INL. Esto permite que las variables estudiadas, fáciles de obtener y no costosas, puedan ser evaluadas en otros estudios para confirmar los resultados o encontrar otras probables asociaciones.

Entre las desventajas, se destaca el tamaño pequeño y la heterogeneidad de la muestra. Esto limita la generalización de los resultados y su validez externa, por lo que, antes de implementar estos hallazgos en la práctica clínica, se requiere un análisis adicional con una muestra de mayor tamaño y con menor heterogeneidad. Además, su diseño retrospectivo también disminuye la calidad de la evidencia.

Conclusiones

Se observó que la prevalencia de TH en enfermos con ECV aguda es inferior a la comunicada en otras series internacionales; sin embargo, es mayor en el grupo de los sometidos a trombólisis. Además, el INL tiene una asociación directamente proporcional con el incremento del riesgo de TH y con un pobre resultado funcional a los 90 días. Por otra parte, no se logró demostrar la capacidad del IPL para predecir la TH ni los resultados funcionales. Otro factor de riesgo asociado con la TH fue la hiperglucemia.

En pro de reducir los sesgos estadísticos del estudio, se requiere replicar este análisis en una muestra de mayor tamaño para mejorar su validez externa.

Agradecimiento

A todos los profesionales que colaboraron con la ejecución de este estudio, al equipo de Terapia Intensiva Neurológica del Instituto Nacional de Neurología Manuel Velasco Suárez de la Ciudad de México.

Bibliografía

1.    Campbell BCV, Khatri P. Stroke. Lancet [Internet] 2020; 396(10244):129-142. Disponible en: https://linkinghub.elsevier.com/retrieve/pii/S014067362031179X

2.    Phipps MS, Cronin CA. Management of acute ischemic stroke. BMJ [Internet] 2020;368:l6983. Disponible en: https://www.bmj.com/lookup/doi/10.1136/bmj.l6983

3.    European Stroke Organization. Guidelines for management of ischaemic stroke and transient ischaemic attack. Cerebrovasc Dis 2008; 25: 457-507. https://doi.org/10.1159/000131083

4.    Powers WJ, Rabinstein AA, Ackerson T, et al. Guidelines for the early management of patients with acute ischemic stroke: 2019 update to the 2018 guidelines for the early management of acute ischemic stroke a guideline for healthcare professionals from the American Heart Association/American Stroke A. Stroke 2019; 50: 344-418. https://doi.org/10.1161/STR.0000000000000211

5.    Campbell BCV, De Silva DA, Macleod MR, et al. Ischaemic stroke.Nat Rev Dis Prim [Internet] 2019;5(1).Disponible en: http://dx.doi.org/10.1038/s41572-019-0118-8

6.    Sistema Nacional de Vigilancia Epidemiológica. Histórico Boletines epidemiológicos. México. Secretaría de Salud. Dirección Nacional de Epidemiología. 2021. Disponible en: https://www.gob.mx/salud/acciones-y-programas/historico-boletin-epidemiologico

7.    Hong JM, Kim DS, Kim M. Hemorrhagic transformation after ischemic stroke: Mechanisms and management. Front Neurol 2021;12:703258. https://doi.org/10.3389/fneur.2021.703258

8.    Honig A, Percy J, Sepehry AA, Gomez AG, Field TS, Benavente OR. Hemorrhagic transformation in acute ischemic stroke: A quantitative systematic review. J Clin Med 2022;11(5): 1162. https://doi.org/10.3390/jcm11051162

9.    MarcellLászló J, Hortobágyi T. Hemorrhagic transformation of ischemic stroke. Vasc Dis Therap 2017; 2:1-25. https://doi.org/10.15761/VDT.1000130

10.  Hacke W,Kaste M,Fieschi C, et al. Randomised double-blind placebo-controlled trial of thrombolytic therapy with intravenous alteplase in acute ischaemic stroke (ECASS II). Second European-Australasian Acute Stroke Study Investigators.Lancet 1998; 352: 1245-1251. https://doi.org/10.1016/s0140-6736(98)08020-9

11.  Yaghi S, Willey JZ, Cucchiara B, Goldstein JN, Gonzales NR, Khatri P, Kim LJ, Mayer SA, Sheth KN, Schwamm LH; American Heart Association Stroke Council; Council on Cardiovascular and Stroke Nursing; Council on Clinical Cardiology; and Council on Quality of Care and Outcomes Research. Treatment and Outcome of Hemorrhagic Transformation After Intravenous Alteplase in Acute Ischemic Stroke: A Scientific Statement for Healthcare Professionals From the American Heart Association/American Stroke Association. Stroke2017;48(12):e343-e361. https://doi.org/10.1161/STR.0000000000000152

12.  Marsh EB, Llinas RH, Schneider ALC, et al. Predicting hemorrhagic transformation of acute ischemic stroke: Prospective validation of the HeRS score. Medicine (Baltimore) 2016;95(2):1-8. https://doi.org/10.1097/MD.0000000000002430

13.  Spronk E, Sykes G, Falcione S, et al. Hemorrhagic transformation in ischemic stroke and the role of inflammation. Front Neurol 2021;12: 661955. https://doi.org/10.3389/fneur.2021.661955

14.  Song M, Graubard BI, Rabkin CS, Engels EA. Neutrophil-to-lymphocyte ratio and mortality in the United States general population.Sci Rep [Internet] 2021;11(1):1-9. Disponible en: https://doi.org/10.1038/s41598-020-79431-7

15.  Lee SH, UkJang M, Kim Y, et al. The neutrophil-to-lymphocyte and platelet-to-lymphocyte ratios predict reperfusion and prognosis after endovascular treatment of acute ischemic stroke. J Pers Med 2021;11(8): 696. https://doi.org/10.3390/jpm11080696

16.  Pikija S, Sztriha LK, Killer-Oberpfalzer M, et al. Neutrophil to lymphocyte ratio predicts intracranial hemorrhage after endovascular thrombectomy in acute ischemic stroke. J Neuroinflammation 2018;15(1): 319. https://doi.org/10.1186/s12974-018-1359-2

17.  Yang Y, Xie D, Zhang Y. Increased platelet-to-lymphocyte ratio is an independent predictor of hemorrhagic transformation and in-hospital mortality among acute ischemic stroke with large-artery atherosclerosis patients. Int J Gen Med 2021;14:7545–7555. https://doi.org/10.2147/IJGM.S329398

18.  Świtońska M, Piekuś-Słomka N, Słomka A, Sokal P, Zėkanowska E, Lattanzi S. Neutrophil-to-lymphocyte ratio and symptomatic hemorrhagic transformation in ischemic stroke patients undergoing revascularization. Brain Sci 2020;10(11):1-9. https://doi.org/10.3390/brainsci10110771

19.  Zhang R, Wu X, Hu W, et al. Neutrophil-to-lymphocyte ratio predicts hemorrhagic transformation in ischemic stroke: A meta-analysis. Brain Behav 2019;9(9):e01382. https://doi.org/10.1002/brb3.1382

20.  Emberson J, Lees KR,Lyden P, et al. Effect of treatment delay, age, and stroke severity on the effects of intravenous thrombolysis with alteplase for acute ischaemic stroke: A meta-analysis of individual patient data from randomised trials. Lancet 2014; 384: 1929-1935. https://doi.org/10.1016/S0140-6736(14)60584-5

21.  JiaW,Liao X, Pan Y, et al.Thrombolytic-related asymptomatic hemorrhagic transformation does not deteriorate clinical outcome: Data from TIMS in China. PLoSOne 2015; 10(11): e0142381. https://doi.org/10.1371/journal.pone.014238